Номер 1, страница 91 - гдз по алгебре 11 класс сборник задач Арефьева, Пирютко

Алгебра, 11 класс Сборник задач, авторы: Арефьева Ирина Глебовна, Пирютко Ольга Николаевна, издательство Народная асвета, Минск, 2020, белого цвета

Авторы: Арефьева И. Г., Пирютко О. Н.

Тип: Сборник задач

Издательство: Народная асвета

Год издания: 2020 - 2025

Уровень обучения: базовый и повышенный

Цвет обложки: белый с графиком

Допущено Министерством образования Республики Беларусь

Популярные ГДЗ в 11 классе

Глава 3. Логарифмическая функция. Параграф 10. Логарифмические неравенства - номер 1, страница 91.

№1 (с. 91)
Условие. №1 (с. 91)
скриншот условия
Алгебра, 11 класс Сборник задач, авторы: Арефьева Ирина Глебовна, Пирютко Ольга Николаевна, издательство Народная асвета, Минск, 2020, белого цвета, страница 91, номер 1, Условие

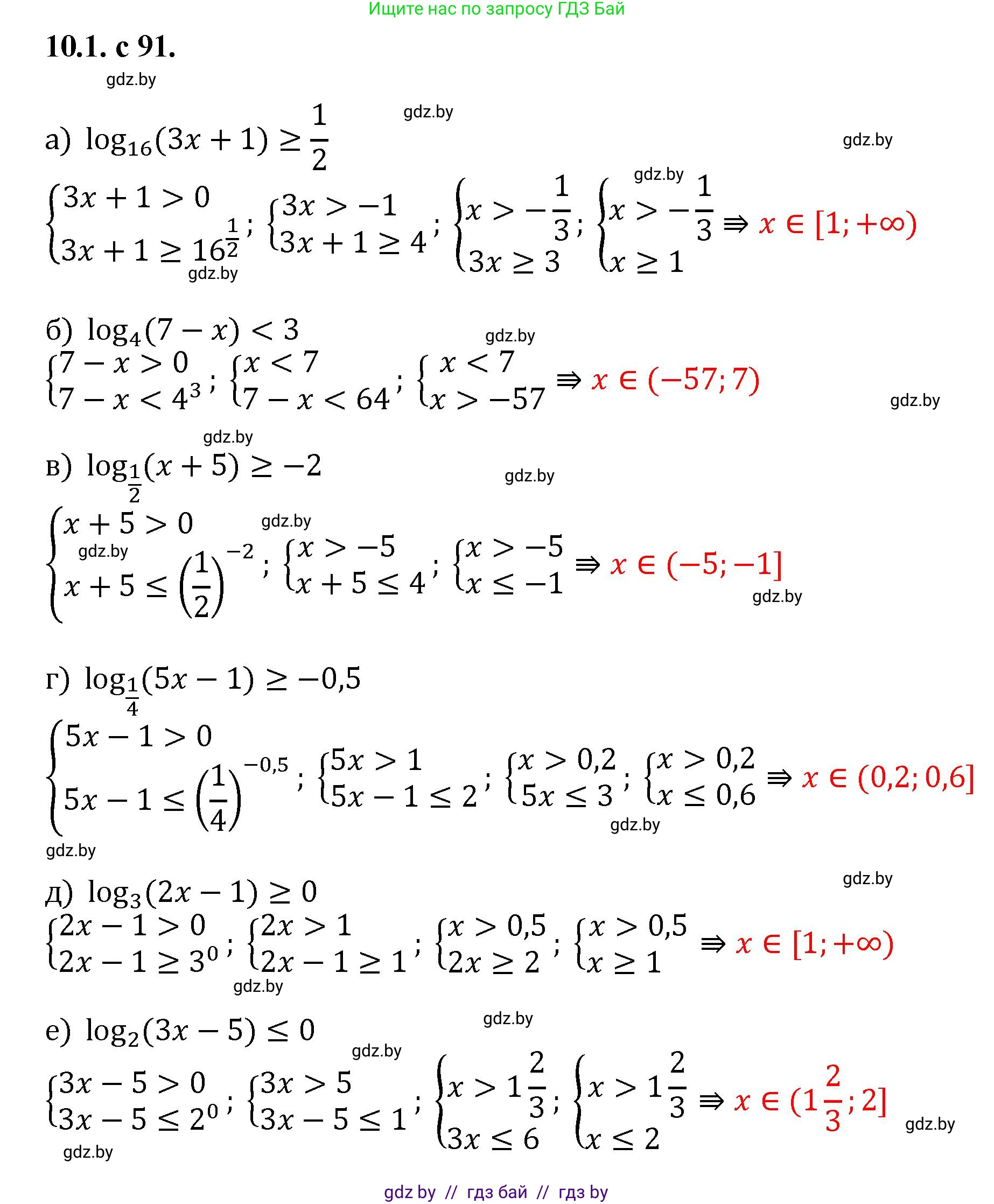
10.1. Решите неравенство:

a) $\log_{16} (3x + 1) \ge \frac{1}{2}$;

б) $\log_{4} (7 - x) < 3$;

в) $\log_{\frac{1}{2}} (x + 5) \ge -2$;

г) $\log_{\frac{1}{4}} (5x - 1) \ge -0.5$;

д) $\log_{3} (2x - 1) \ge 0$;

e) $\log_{2} (3x - 5) \le 0$.

Решение. №1 (с. 91)
Алгебра, 11 класс Сборник задач, авторы: Арефьева Ирина Глебовна, Пирютко Ольга Николаевна, издательство Народная асвета, Минск, 2020, белого цвета, страница 91, номер 1, Решение
Решение 2. №1 (с. 91)

а) Решим неравенство $ \log_{16}(3x+1) \geq \frac{1}{2} $.

1. Область допустимых значений (ОДЗ): Аргумент логарифма должен быть строго положительным.

$ 3x + 1 > 0 \implies 3x > -1 \implies x > -\frac{1}{3} $

2. Решение неравенства:

Представим правую часть неравенства как логарифм с основанием 16:

$ \frac{1}{2} = \log_{16}(16^{\frac{1}{2}}) = \log_{16}(\sqrt{16}) = \log_{16}(4) $

Теперь неравенство имеет вид:

$ \log_{16}(3x+1) \geq \log_{16}(4) $

Так как основание логарифма $ 16 > 1 $, логарифмическая функция является возрастающей. Поэтому при переходе от логарифмов к их аргументам знак неравенства сохраняется:

$ 3x+1 \geq 4 \implies 3x \geq 3 \implies x \geq 1 $

3. Итоговое решение:

Найдем пересечение полученного решения с ОДЗ:

$ \begin{cases} x \geq 1 \\ x > -\frac{1}{3} \end{cases} \implies x \geq 1 $

Ответ: $ x \in [1, +\infty) $.


б) Решим неравенство $ \log_{4}(7-x) < 3 $.

1. Область допустимых значений (ОДЗ):

$ 7-x > 0 \implies -x > -7 \implies x < 7 $

2. Решение неравенства:

Представим правую часть как логарифм с основанием 4:

$ 3 = \log_{4}(4^3) = \log_{4}(64) $

Неравенство принимает вид:

$ \log_{4}(7-x) < \log_{4}(64) $

Основание логарифма $ 4 > 1 $, функция возрастающая, знак неравенства сохраняется:

$ 7-x < 64 \implies -x < 57 \implies x > -57 $

3. Итоговое решение:

Совместим решение с ОДЗ:

$ \begin{cases} x < 7 \\ x > -57 \end{cases} \implies -57 < x < 7 $

Ответ: $ x \in (-57, 7) $.


в) Решим неравенство $ \log_{\frac{1}{2}}(x+5) \geq -2 $.

1. Область допустимых значений (ОДЗ):

$ x+5 > 0 \implies x > -5 $

2. Решение неравенства:

Представим правую часть как логарифм с основанием $ \frac{1}{2} $:

$ -2 = \log_{\frac{1}{2}}((\frac{1}{2})^{-2}) = \log_{\frac{1}{2}}(2^2) = \log_{\frac{1}{2}}(4) $

Неравенство принимает вид:

$ \log_{\frac{1}{2}}(x+5) \geq \log_{\frac{1}{2}}(4) $

Так как основание логарифма $ 0 < \frac{1}{2} < 1 $, логарифмическая функция является убывающей. Поэтому при переходе к аргументам знак неравенства меняется на противоположный:

$ x+5 \leq 4 \implies x \leq -1 $

3. Итоговое решение:

Совместим решение с ОДЗ:

$ \begin{cases} x \leq -1 \\ x > -5 \end{cases} \implies -5 < x \leq -1 $

Ответ: $ x \in (-5, -1] $.


г) Решим неравенство $ \log_{\frac{1}{4}}(5x-1) \geq -0,5 $.

1. Область допустимых значений (ОДЗ):

$ 5x-1 > 0 \implies 5x > 1 \implies x > \frac{1}{5} $

2. Решение неравенства:

Представим правую часть как логарифм с основанием $ \frac{1}{4} $:

$ -0,5 = -\frac{1}{2} = \log_{\frac{1}{4}}((\frac{1}{4})^{-\frac{1}{2}}) = \log_{\frac{1}{4}}(4^{\frac{1}{2}}) = \log_{\frac{1}{4}}(2) $

Неравенство принимает вид:

$ \log_{\frac{1}{4}}(5x-1) \geq \log_{\frac{1}{4}}(2) $

Основание логарифма $ 0 < \frac{1}{4} < 1 $, функция убывающая, знак неравенства меняется на противоположный:

$ 5x-1 \leq 2 \implies 5x \leq 3 \implies x \leq \frac{3}{5} $

3. Итоговое решение:

Совместим решение с ОДЗ:

$ \begin{cases} x \leq \frac{3}{5} \\ x > \frac{1}{5} \end{cases} \implies \frac{1}{5} < x \leq \frac{3}{5} $

Ответ: $ x \in (\frac{1}{5}, \frac{3}{5}] $.


д) Решим неравенство $ \log_{3}(2x-1) \geq 0 $.

1. Область допустимых значений (ОДЗ):

$ 2x-1 > 0 \implies 2x > 1 \implies x > \frac{1}{2} $

2. Решение неравенства:

Представим 0 как логарифм с основанием 3:

$ 0 = \log_{3}(3^0) = \log_{3}(1) $

Неравенство принимает вид:

$ \log_{3}(2x-1) \geq \log_{3}(1) $

Основание логарифма $ 3 > 1 $, функция возрастающая, знак неравенства сохраняется:

$ 2x-1 \geq 1 \implies 2x \geq 2 \implies x \geq 1 $

3. Итоговое решение:

Совместим решение с ОДЗ:

$ \begin{cases} x \geq 1 \\ x > \frac{1}{2} \end{cases} \implies x \geq 1 $

Ответ: $ x \in [1, +\infty) $.


е) Решим неравенство $ \log_{2}(3x-5) \leq 0 $.

1. Область допустимых значений (ОДЗ):

$ 3x-5 > 0 \implies 3x > 5 \implies x > \frac{5}{3} $

2. Решение неравенства:

Представим 0 как логарифм с основанием 2:

$ 0 = \log_{2}(2^0) = \log_{2}(1) $

Неравенство принимает вид:

$ \log_{2}(3x-5) \leq \log_{2}(1) $

Основание логарифма $ 2 > 1 $, функция возрастающая, знак неравенства сохраняется:

$ 3x-5 \leq 1 \implies 3x \leq 6 \implies x \leq 2 $

3. Итоговое решение:

Совместим решение с ОДЗ:

$ \begin{cases} x \leq 2 \\ x > \frac{5}{3} \end{cases} \implies \frac{5}{3} < x \leq 2 $

Интервал решения: $ (\frac{5}{3}, 2] $. Преобразуем неправильную дробь $ \frac{5}{3} $ в смешанное число, выделив целую часть: $ \frac{5}{3} = 1\frac{2}{3} $.

Ответ: $ x \in (\mathbf{1}\frac{2}{3}, 2] $.

Помогло решение? Оставьте отзыв в комментариях ниже.

Присоединяйтесь к Телеграм-группе @gdz_by_belarus

Присоединиться

Мы подготовили для вас ответ c подробным объяснением домашего задания по алгебре за 11 класс, для упражнения номер 1 расположенного на странице 91 к сборнику задач 2020 года издания для учащихся школ и гимназий.

Теперь на нашем сайте ГДЗ.ТОП вы всегда легко и бесплатно найдёте условие с правильным ответом на вопрос «Как решить ДЗ» и «Как сделать» задание по алгебре к упражнению №1 (с. 91), авторов: Арефьева (Ирина Глебовна), Пирютко (Ольга Николаевна), базовый и повышенный уровень обучения учебного пособия издательства Народная асвета.