Номер 6, страница 92 - гдз по алгебре 11 класс сборник задач Арефьева, Пирютко

Алгебра, 11 класс Сборник задач, авторы: Арефьева Ирина Глебовна, Пирютко Ольга Николаевна, издательство Народная асвета, Минск, 2020, белого цвета

Авторы: Арефьева И. Г., Пирютко О. Н.

Тип: Сборник задач

Издательство: Народная асвета

Год издания: 2020 - 2025

Уровень обучения: базовый и повышенный

Цвет обложки: белый с графиком

Допущено Министерством образования Республики Беларусь

Популярные ГДЗ в 11 классе

Глава 3. Логарифмическая функция. Параграф 10. Логарифмические неравенства - номер 6, страница 92.

№6 (с. 92)
Условие. №6 (с. 92)
скриншот условия
Алгебра, 11 класс Сборник задач, авторы: Арефьева Ирина Глебовна, Пирютко Ольга Николаевна, издательство Народная асвета, Минск, 2020, белого цвета, страница 92, номер 6, Условие

10.6. Решите неравенство:

а) $\log_{0,7} \frac{5x+1}{x-4} > \log_{0,7} 3;$

б) $\log_7 \frac{2x}{x-2} < 1;$

в) $\log_{\frac{1}{3}} \frac{2x-1}{x+2} > 1;$

г) $\log_{\frac{1}{3}} \frac{2-3x}{x} \ge -1;$

д) $\log_{\frac{1}{\sqrt{3}}} \frac{1}{x+4} < -2;$

е) $\log_3 \frac{x}{6-x} \le \log_{\frac{1}{3}} \frac{x-3}{6-x}.$

Решение. №6 (с. 92)
Алгебра, 11 класс Сборник задач, авторы: Арефьева Ирина Глебовна, Пирютко Ольга Николаевна, издательство Народная асвета, Минск, 2020, белого цвета, страница 92, номер 6, Решение Алгебра, 11 класс Сборник задач, авторы: Арефьева Ирина Глебовна, Пирютко Ольга Николаевна, издательство Народная асвета, Минск, 2020, белого цвета, страница 92, номер 6, Решение (продолжение 2)
Решение 2. №6 (с. 92)

а) Решим неравенство $\log_{0,7} \frac{5x+1}{x-4} > \log_{0,7} 3$.

1. Найдем область допустимых значений (ОДЗ). Аргумент логарифма должен быть строго больше нуля:
$\frac{5x+1}{x-4} > 0$
Методом интервалов находим нули числителя и знаменателя: $x = -1/5$ и $x = 4$.
Рассматривая знаки дроби на интервалах $(-\infty, -1/5)$, $(-1/5, 4)$, $(4, +\infty)$, получаем, что неравенство выполняется при $x \in (-\infty, -1/5) \cup (4, +\infty)$.

2. Решим само неравенство. Так как основание логарифма $0,7 < 1$, при переходе от логарифмов к их аргументам знак неравенства меняется на противоположный:
$\frac{5x+1}{x-4} < 3$
$\frac{5x+1}{x-4} - 3 < 0$
$\frac{5x+1 - 3(x-4)}{x-4} < 0$
$\frac{5x+1 - 3x + 12}{x-4} < 0$
$\frac{2x+13}{x-4} < 0$
Методом интервалов находим нули числителя и знаменателя: $x = -13/2 = -6,5$ и $x = 4$.
Неравенство выполняется при $x \in (-13/2, 4)$.

3. Найдем пересечение решения неравенства и ОДЗ:
$((-\infty, -1/5) \cup (4, +\infty)) \cap (-13/2, 4) = (-13/2, -1/5)$.
Ответ: $x \in (-6\frac{1}{2}; -1/5)$.


б) Решим неравенство $\log_7 \frac{2x}{x-2} < 1$.

1. Найдем ОДЗ:
$\frac{2x}{x-2} > 0$
Нули числителя и знаменателя: $x = 0$ и $x = 2$.
Методом интервалов получаем ОДЗ: $x \in (-\infty, 0) \cup (2, +\infty)$.

2. Решим неравенство. Представим 1 как логарифм по основанию 7: $1 = \log_7 7$.
$\log_7 \frac{2x}{x-2} < \log_7 7$
Так как основание логарифма $7 > 1$, знак неравенства сохраняется:
$\frac{2x}{x-2} < 7$
$\frac{2x}{x-2} - 7 < 0$
$\frac{2x - 7(x-2)}{x-2} < 0$
$\frac{2x - 7x + 14}{x-2} < 0$
$\frac{-5x+14}{x-2} < 0$
Умножим на -1, изменив знак неравенства:
$\frac{5x-14}{x-2} > 0$
Нули числителя и знаменателя: $x = 14/5 = 2,8$ и $x = 2$.
Решение: $x \in (-\infty, 2) \cup (14/5, +\infty)$.

3. Найдем пересечение решения и ОДЗ:
$((-\infty, 0) \cup (2, +\infty)) \cap ((-\infty, 2) \cup (14/5, +\infty)) = (-\infty, 0) \cup (14/5, +\infty)$.
Ответ: $x \in (-\infty; 0) \cup (2\frac{4}{5}; +\infty)$.


в) Решим неравенство $\log_{\frac{1}{3}} \frac{2x-1}{x+2} > 1$.

1. Найдем ОДЗ:
$\frac{2x-1}{x+2} > 0$
Нули: $x = 1/2$ и $x = -2$.
ОДЗ: $x \in (-\infty, -2) \cup (1/2, +\infty)$.

2. Решим неравенство. Представим 1 как $\log_{\frac{1}{3}} (\frac{1}{3})$.
$\log_{\frac{1}{3}} \frac{2x-1}{x+2} > \log_{\frac{1}{3}} \frac{1}{3}$
Так как основание $1/3 < 1$, знак неравенства меняется:
$\frac{2x-1}{x+2} < \frac{1}{3}$
$\frac{2x-1}{x+2} - \frac{1}{3} < 0$
$\frac{3(2x-1) - (x+2)}{3(x+2)} < 0$
$\frac{6x-3-x-2}{3(x+2)} < 0$
$\frac{5x-5}{3(x+2)} < 0 \implies \frac{x-1}{x+2} < 0$
Решение: $x \in (-2, 1)$.

3. Пересечение решения и ОДЗ:
$((-\infty, -2) \cup (1/2, +\infty)) \cap (-2, 1) = (1/2, 1)$.
Ответ: $x \in (1/2; 1)$.


г) Решим неравенство $\log_{\frac{1}{3}} \frac{2-3x}{x} \ge -1$.

1. Найдем ОДЗ:
$\frac{2-3x}{x} > 0$
Нули: $x = 2/3$ и $x = 0$.
ОДЗ: $x \in (0, 2/3)$.

2. Решим неравенство. Представим -1 как $\log_{\frac{1}{3}} ((\frac{1}{3})^{-1}) = \log_{\frac{1}{3}} 3$.
$\log_{\frac{1}{3}} \frac{2-3x}{x} \ge \log_{\frac{1}{3}} 3$
Так как основание $1/3 < 1$, знак неравенства меняется:
$\frac{2-3x}{x} \le 3$
$\frac{2-3x}{x} - 3 \le 0$
$\frac{2-3x-3x}{x} \le 0$
$\frac{2-6x}{x} \le 0$
Нули: $x = 1/3$ и $x = 0$.
Решение: $x \in (-\infty, 0) \cup [1/3, +\infty)$.

3. Пересечение решения и ОДЗ:
$(0, 2/3) \cap ((-\infty, 0) \cup [1/3, +\infty)) = [1/3, 2/3)$.
Ответ: $x \in [1/3; 2/3)$.


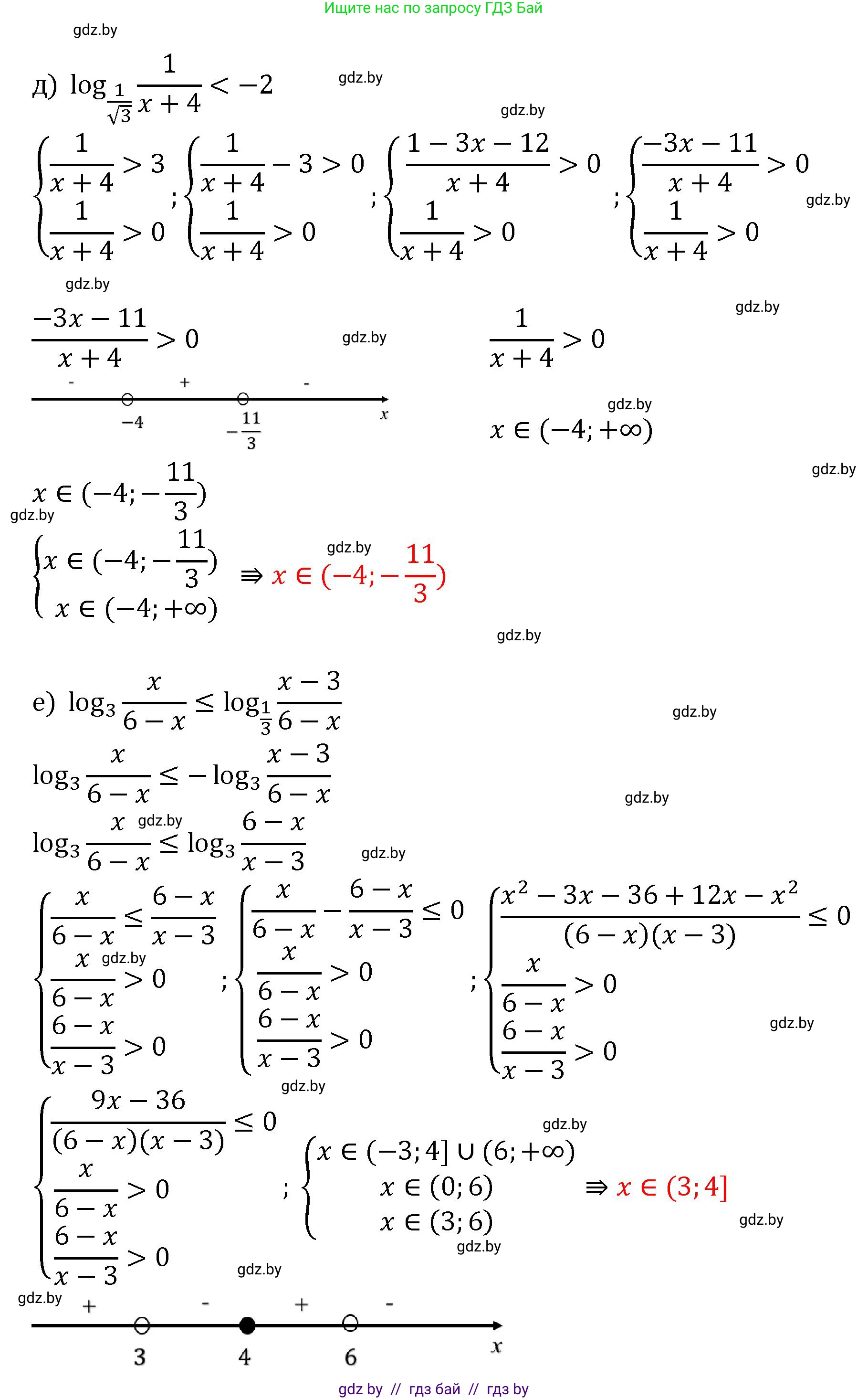
д) Решим неравенство $\log_{\frac{1}{\sqrt{3}}} \frac{1}{x+4} < -2$.

1. Найдем ОДЗ:
$\frac{1}{x+4} > 0 \implies x+4 > 0 \implies x > -4$.
ОДЗ: $x \in (-4, +\infty)$.

2. Решим неравенство. Представим -2 как $\log_{\frac{1}{\sqrt{3}}} ((\frac{1}{\sqrt{3}})^{-2}) = \log_{\frac{1}{\sqrt{3}}} 3$.
$\log_{\frac{1}{\sqrt{3}}} \frac{1}{x+4} < \log_{\frac{1}{\sqrt{3}}} 3$
Так как основание $1/\sqrt{3} < 1$, знак неравенства меняется:
$\frac{1}{x+4} > 3$
$\frac{1}{x+4} - 3 > 0$
$\frac{1 - 3(x+4)}{x+4} > 0$
$\frac{1 - 3x - 12}{x+4} > 0$
$\frac{-3x - 11}{x+4} > 0 \implies \frac{3x+11}{x+4} < 0$
Нули: $x = -11/3$ и $x = -4$.
Решение: $x \in (-4, -11/3)$.

3. Пересечение решения и ОДЗ:
$(-4, +\infty) \cap (-4, -11/3) = (-4, -11/3)$.
Ответ: $x \in (-4; -3\frac{2}{3})$.


е) Решим неравенство $\log_3 \frac{x}{6-x} \le \log_{\frac{1}{3}} \frac{x-3}{6-x}$.

1. Найдем ОДЗ. Оба аргумента логарифмов должны быть положительны:
$\begin{cases} \frac{x}{6-x} > 0 \\ \frac{x-3}{6-x} > 0 \end{cases}$
Первое неравенство дает $x \in (0, 6)$.
Второе неравенство дает $x \in (3, 6)$.
Пересечение этих множеств дает ОДЗ: $x \in (3, 6)$.

2. Преобразуем неравенство к одному основанию. Используем свойство $\log_{\frac{1}{a}} b = -\log_a b$:
$\log_3 \frac{x}{6-x} \le -\log_3 \frac{x-3}{6-x}$
$\log_3 \frac{x}{6-x} + \log_3 \frac{x-3}{6-x} \le 0$
$\log_3 \left(\frac{x}{6-x} \cdot \frac{x-3}{6-x}\right) \le 0$
$\log_3 \frac{x(x-3)}{(6-x)^2} \le 0$
Представим 0 как $\log_3 1$. Так как основание $3 > 1$, знак не меняется:
$\frac{x(x-3)}{(6-x)^2} \le 1$
На ОДЗ $(3, 6)$ знаменатель $(6-x)^2$ всегда положителен, поэтому можно на него умножить:
$x(x-3) \le (6-x)^2$
$x^2 - 3x \le 36 - 12x + x^2$
$9x \le 36$
$x \le 4$

3. Пересечение решения $x \le 4$ и ОДЗ $x \in (3, 6)$:
$(-\infty, 4] \cap (3, 6) = (3, 4]$.
Ответ: $x \in (3; 4]$.

Помогло решение? Оставьте отзыв в комментариях ниже.

Присоединяйтесь к Телеграм-группе @gdz_by_belarus

Присоединиться

Мы подготовили для вас ответ c подробным объяснением домашего задания по алгебре за 11 класс, для упражнения номер 6 расположенного на странице 92 к сборнику задач 2020 года издания для учащихся школ и гимназий.

Теперь на нашем сайте ГДЗ.ТОП вы всегда легко и бесплатно найдёте условие с правильным ответом на вопрос «Как решить ДЗ» и «Как сделать» задание по алгебре к упражнению №6 (с. 92), авторов: Арефьева (Ирина Глебовна), Пирютко (Ольга Николаевна), базовый и повышенный уровень обучения учебного пособия издательства Народная асвета.