Номер 4, страница 92 - гдз по алгебре 11 класс сборник задач Арефьева, Пирютко

Алгебра, 11 класс Сборник задач, авторы: Арефьева Ирина Глебовна, Пирютко Ольга Николаевна, издательство Народная асвета, Минск, 2020, белого цвета

Авторы: Арефьева И. Г., Пирютко О. Н.

Тип: Сборник задач

Издательство: Народная асвета

Год издания: 2020 - 2025

Уровень обучения: базовый и повышенный

Цвет обложки: белый с графиком

Допущено Министерством образования Республики Беларусь

Популярные ГДЗ в 11 классе

Глава 3. Логарифмическая функция. Параграф 10. Логарифмические неравенства - номер 4, страница 92.

№4 (с. 92)
Условие. №4 (с. 92)
скриншот условия
Алгебра, 11 класс Сборник задач, авторы: Арефьева Ирина Глебовна, Пирютко Ольга Николаевна, издательство Народная асвета, Минск, 2020, белого цвета, страница 92, номер 4, Условие

10.4. Решите неравенство:

a) $ \log_{0.9} (x^2 - 4x) > \log_{0.9} (4x + 1); $

б) $ \log_{0.5} (x^2 - 5x + 6) \ge -1; $

в) $ \log_3 (x^2 - 2x + 1) \le 2; $

г) $ \log_2 (x^2 - 6x + 9) \le 2; $

д) $ \log_2 (x^2 + 4x + 11) \ge \log_{0.5} 125; $

e) $ \log_{\sqrt{6} - \sqrt{2}} (x^2 + 4x + 11 - 4\sqrt{3}) < 2. $

Решение. №4 (с. 92)
Алгебра, 11 класс Сборник задач, авторы: Арефьева Ирина Глебовна, Пирютко Ольга Николаевна, издательство Народная асвета, Минск, 2020, белого цвета, страница 92, номер 4, Решение Алгебра, 11 класс Сборник задач, авторы: Арефьева Ирина Глебовна, Пирютко Ольга Николаевна, издательство Народная асвета, Минск, 2020, белого цвета, страница 92, номер 4, Решение (продолжение 2)
Решение 2. №4 (с. 92)

а) Исходное неравенство: $\log_{0,9}(x^2 - 4x) > \log_{0,9}(4x + 1)$.

1. Найдем область допустимых значений (ОДЗ). Аргумент логарифма должен быть строго больше нуля:

$\begin{cases} x^2 - 4x > 0 \\ 4x + 1 > 0 \end{cases}$

Решаем систему: $\begin{cases} x(x-4) > 0 \\ x > -1/4 \end{cases} \implies \begin{cases} x \in (-\infty, 0) \cup (4, \infty) \\ x > -1/4 \end{cases}$

Пересечение этих множеств дает ОДЗ: $x \in (-1/4, 0) \cup (4, \infty)$.

2. Решаем неравенство. Так как основание логарифма $0,9$ находится в интервале $(0, 1)$, логарифмическая функция является убывающей. При переходе к неравенству для аргументов знак неравенства меняется на противоположный:

$x^2 - 4x < 4x + 1$

$x^2 - 8x - 1 < 0$

Найдем корни соответствующего квадратного уравнения $x^2 - 8x - 1 = 0$ с помощью дискриминанта:

$D = (-8)^2 - 4 \cdot 1 \cdot (-1) = 64 + 4 = 68$

$x_{1,2} = \frac{8 \pm \sqrt{68}}{2} = \frac{8 \pm 2\sqrt{17}}{2} = 4 \pm \sqrt{17}$

Поскольку парабола $y=x^2 - 8x - 1$ направлена ветвями вверх, неравенство $x^2 - 8x - 1 < 0$ выполняется между корнями: $x \in (4 - \sqrt{17}, 4 + \sqrt{17})$.

3. Найдем пересечение полученного решения с ОДЗ.

Решение: $x \in (4 - \sqrt{17}, 4 + \sqrt{17})$.

ОДЗ: $x \in (-1/4, 0) \cup (4, \infty)$.

Итоговое решение является пересечением этих множеств: $x \in (4 - \sqrt{17}, 0) \cup (4, 4 + \sqrt{17})$.

Ответ: $(4 - \sqrt{17}, 0) \cup (4, 4 + \sqrt{17})$.


б) Исходное неравенство: $\log_{0,5}(x^2 - 5x + 6) \geq -1$.

1. Найдем ОДЗ: $x^2 - 5x + 6 > 0$.

Корни уравнения $x^2 - 5x + 6 = 0$ равны $x_1=2$ и $x_2=3$. Это парабола с ветвями вверх, значит, неравенство выполняется при $x \in (-\infty, 2) \cup (3, \infty)$.

2. Решаем неравенство. Представим правую часть в виде логарифма с основанием $0,5$: $-1 = \log_{0,5}((0,5)^{-1}) = \log_{0,5}(2)$.

$\log_{0,5}(x^2 - 5x + 6) \geq \log_{0,5}(2)$

Так как основание $0,5 < 1$, функция убывающая, поэтому знак неравенства меняется:

$x^2 - 5x + 6 \leq 2$

$x^2 - 5x + 4 \leq 0$

Корни уравнения $x^2 - 5x + 4 = 0$ равны $x_1=1$ и $x_2=4$. Неравенство выполняется между корнями (включая их): $x \in [1, 4]$.

3. Найдем пересечение решения с ОДЗ:

Решение: $x \in [1, 4]$.

ОДЗ: $x \in (-\infty, 2) \cup (3, \infty)$.

Пересечение: $x \in [1, 2) \cup (3, 4]$.

Ответ: $[1, 2) \cup (3, 4]$.


в) Исходное неравенство: $\log_{3}(x^2 - 2x + 1) \leq 2$.

1. Найдем ОДЗ: $x^2 - 2x + 1 > 0$.

Выражение является полным квадратом: $(x-1)^2 > 0$. Это неравенство верно для всех $x$, кроме $x=1$. ОДЗ: $x \in (-\infty, 1) \cup (1, \infty)$.

2. Решаем неравенство. Представим правую часть: $2 = \log_3(3^2) = \log_3(9)$.

$\log_{3}((x-1)^2) \leq \log_3(9)$

Так как основание $3 > 1$, функция возрастающая, знак неравенства сохраняется:

$(x-1)^2 \leq 9$

$x^2 - 2x + 1 \leq 9$

$x^2 - 2x - 8 \leq 0$

Корни уравнения $x^2 - 2x - 8 = 0$ равны $x_1=-2$ и $x_2=4$. Неравенство выполняется между корнями: $x \in [-2, 4]$.

3. Учтем ОДЗ, исключив точку $x=1$ из полученного отрезка.

Ответ: $[-2, 1) \cup (1, 4]$.


г) Исходное неравенство: $\log_{2}(x^2 - 6x + 9) \leq 2$.

1. Найдем ОДЗ: $x^2 - 6x + 9 > 0$.

Выражение является полным квадратом: $(x-3)^2 > 0$. Неравенство верно для всех $x$, кроме $x=3$. ОДЗ: $x \in (-\infty, 3) \cup (3, \infty)$.

2. Решаем неравенство. Представим правую часть: $2 = \log_2(2^2) = \log_2(4)$.

$\log_{2}((x-3)^2) \leq \log_2(4)$

Так как основание $2 > 1$, функция возрастающая, знак неравенства сохраняется:

$(x-3)^2 \leq 4$

$x^2 - 6x + 9 \leq 4$

$x^2 - 6x + 5 \leq 0$

Корни уравнения $x^2 - 6x + 5 = 0$ равны $x_1=1$ и $x_2=5$. Неравенство выполняется между корнями: $x \in [1, 5]$.

3. Учтем ОДЗ, исключив точку $x=3$ из полученного отрезка.

Ответ: $[1, 3) \cup (3, 5]$.


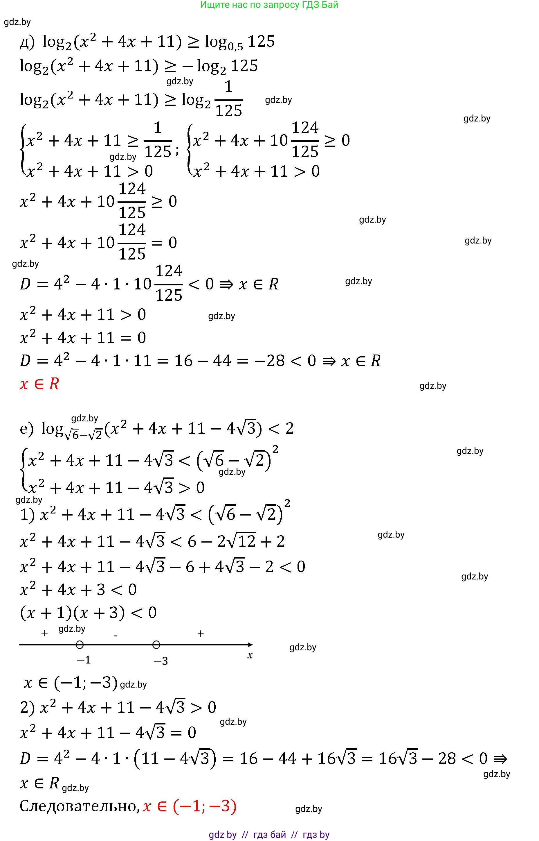
д) Исходное неравенство: $\log_{2}(x^2 + 4x + 11) \geq \log_{0,5}125$.

1. Приведем логарифмы к одному основанию $2$. Используем свойство $\log_{a^k} b = \frac{1}{k}\log_a b$:

$\log_{0,5}125 = \log_{2^{-1}}125 = -1 \cdot \log_{2}125 = \log_{2}(125^{-1}) = \log_{2}\frac{1}{125}$.

Неравенство принимает вид: $\log_{2}(x^2 + 4x + 11) \geq \log_{2}\frac{1}{125}$.

2. Найдем ОДЗ: $x^2 + 4x + 11 > 0$.

Дискриминант квадратного трехчлена $D = 4^2 - 4 \cdot 1 \cdot 11 = 16 - 44 = -28$. Так как $D < 0$ и старший коэффициент $1 > 0$, трехчлен положителен при любых $x$. ОДЗ: $x \in (-\infty, \infty)$.

3. Решаем неравенство. Так как основание $2 > 1$, знак неравенства сохраняется:

$x^2 + 4x + 11 \geq \frac{1}{125}$

Выделим полный квадрат в левой части: $x^2 + 4x + 11 = (x^2 + 4x + 4) + 7 = (x+2)^2 + 7$.

Минимальное значение выражения $(x+2)^2$ равно $0$ (при $x=-2$), следовательно, минимальное значение левой части равно $7$.

Так как $7 > \frac{1}{125}$, неравенство $(x+2)^2 + 7 \geq \frac{1}{125}$ выполняется для всех действительных чисел $x$.

Ответ: $(-\infty, \infty)$.


е) Исходное неравенство: $\log_{\sqrt{6}-\sqrt{2}}(x^2+4x+11-4\sqrt{3}) < 2$.

1. Определим основание логарифма $a = \sqrt{6}-\sqrt{2}$. Сравним его с 1:

$\sqrt{6}-\sqrt{2} > 1 \iff \sqrt{6} > 1 + \sqrt{2}$.

Так как обе части положительны, возведем в квадрат: $6 > (1+\sqrt{2})^2 \iff 6 > 1 + 2\sqrt{2} + 2 \iff 3 > 2\sqrt{2}$.

Еще раз возведем в квадрат: $9 > (2\sqrt{2})^2 \iff 9 > 8$. Это верно. Значит, основание $a = \sqrt{6}-\sqrt{2} > 1$, и логарифмическая функция является возрастающей.

2. Найдем ОДЗ: $x^2+4x+11-4\sqrt{3} > 0$.

Выделим полный квадрат: $(x^2+4x+4) + 7 - 4\sqrt{3} = (x+2)^2 + 7-4\sqrt{3}$.

Минимальное значение выражения равно $7-4\sqrt{3}$. Сравним с нулем: $7 > 4\sqrt{3} \iff 49 > 16 \cdot 3 \iff 49 > 48$. Это верно. Значит, $7-4\sqrt{3}>0$, и аргумент логарифма всегда положителен. ОДЗ: $x \in (-\infty, \infty)$.

3. Решаем неравенство. Представим правую часть в виде логарифма по тому же основанию:

$2 = \log_{\sqrt{6}-\sqrt{2}}((\sqrt{6}-\sqrt{2})^2)$

$(\sqrt{6}-\sqrt{2})^2 = 6 - 2\sqrt{12} + 2 = 8 - 4\sqrt{3}$.

Так как основание больше 1, знак неравенства сохраняется:

$x^2+4x+11-4\sqrt{3} < 8-4\sqrt{3}$

$x^2+4x+11 < 8$

$x^2+4x+3 < 0$

Корни уравнения $x^2+4x+3 = 0$ равны $x_1=-3$ и $x_2=-1$. Неравенство выполняется между корнями: $x \in (-3, -1)$.

Ответ: $(-3, -1)$.

Помогло решение? Оставьте отзыв в комментариях ниже.

Присоединяйтесь к Телеграм-группе @gdz_by_belarus

Присоединиться

Мы подготовили для вас ответ c подробным объяснением домашего задания по алгебре за 11 класс, для упражнения номер 4 расположенного на странице 92 к сборнику задач 2020 года издания для учащихся школ и гимназий.

Теперь на нашем сайте ГДЗ.ТОП вы всегда легко и бесплатно найдёте условие с правильным ответом на вопрос «Как решить ДЗ» и «Как сделать» задание по алгебре к упражнению №4 (с. 92), авторов: Арефьева (Ирина Глебовна), Пирютко (Ольга Николаевна), базовый и повышенный уровень обучения учебного пособия издательства Народная асвета.