Номер 34.28, страница 168 - гдз по алгебре 7-9 класс сборник задач Арефьева, Пирютко

Алгебра, 7-9 класс Сборник задач, авторы: Арефьева Ирина Глебовна, Пирютко Ольга Николаевна, издательство Народная асвета, Минск, 2020

Авторы: Арефьева И. Г., Пирютко О. Н.

Тип: Сборник задач

Издательство: Народная асвета

Год издания: 2020 - 2025

Цвет обложки: синий с графиками

Допущено Министерством образования Республики Беларусь

Популярные ГДЗ в 7 классе

9 класс. Параграф 34. Преобразования рациональных выражений - номер 34.28, страница 168.

№34.28 (с. 168)
Условие. №34.28 (с. 168)
скриншот условия
Алгебра, 7-9 класс Сборник задач, авторы: Арефьева Ирина Глебовна, Пирютко Ольга Николаевна, издательство Народная асвета, Минск, 2020, страница 168, номер 34.28, Условие

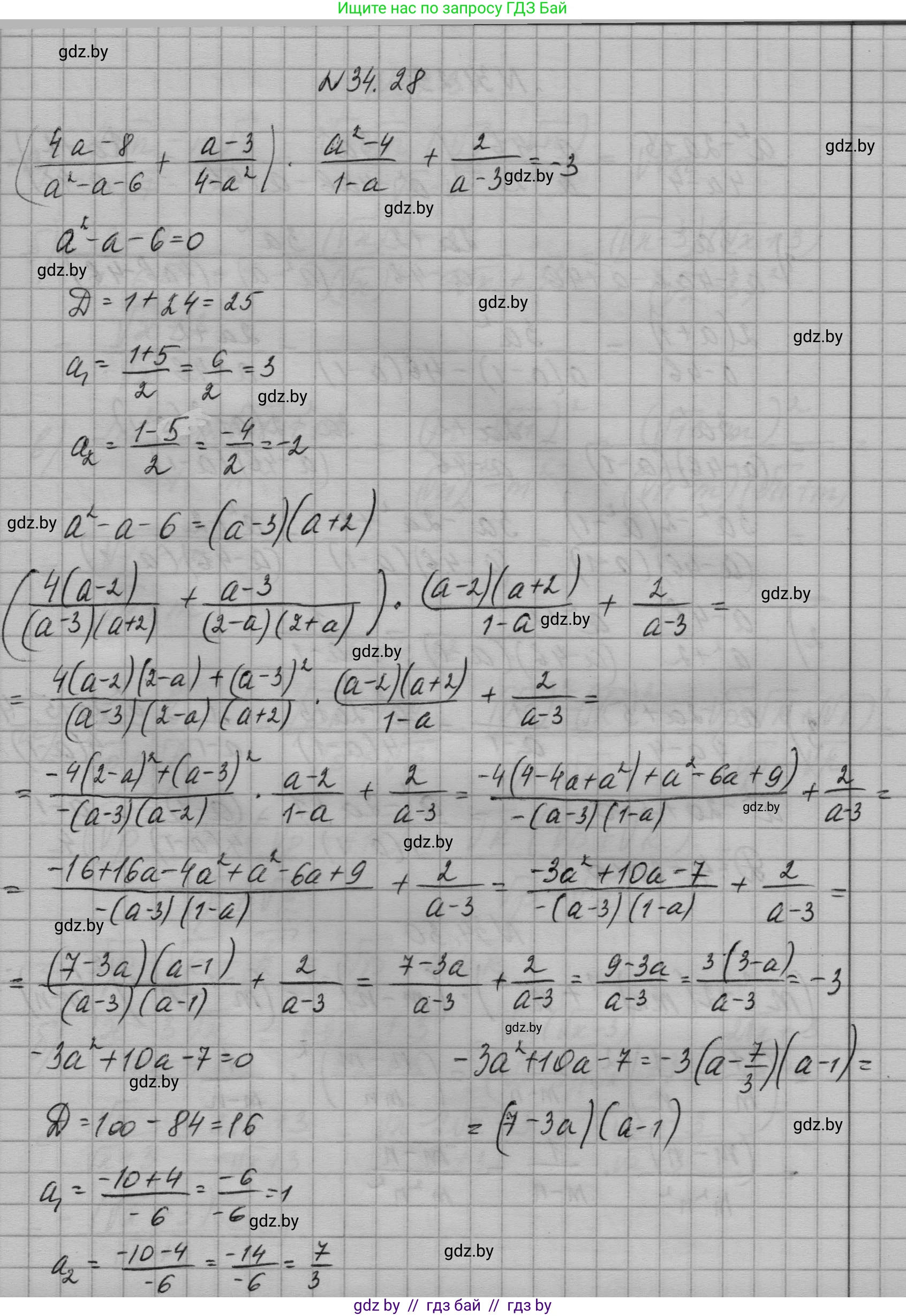
34.28. Докажите, что значение выражения

$\left(\frac{4a-8}{a^2-a-6} + \frac{a-3}{4-a^2}\right) \cdot \frac{a^2-4}{1-a} + \frac{2}{a-3}$

не зависит от $a$.

Решение. №34.28 (с. 168)
Алгебра, 7-9 класс Сборник задач, авторы: Арефьева Ирина Глебовна, Пирютко Ольга Николаевна, издательство Народная асвета, Минск, 2020, страница 168, номер 34.28, Решение
Решение 2. №34.28 (с. 168)

Для того чтобы доказать, что значение выражения не зависит от переменной a, необходимо его упростить. Если в результате преобразований получится константа (число), то утверждение будет доказано.

Исходное выражение:

$$ \left( \frac{4a - 8}{a^2 - a - 6} + \frac{a - 3}{4 - a^2} \right) \cdot \frac{a^2 - 4}{1 - a} + \frac{2}{a - 3} $$

Прежде всего, определим область допустимых значений (ОДЗ) переменной a, при которых выражение имеет смысл. Для этого знаменатели дробей не должны равняться нулю:

  • $a^2 - a - 6 \neq 0 \implies (a-3)(a+2) \neq 0 \implies a \neq 3$ и $a \neq -2$
  • $4 - a^2 \neq 0 \implies (2-a)(2+a) \neq 0 \implies a \neq 2$ и $a \neq -2$
  • $1 - a \neq 0 \implies a \neq 1$
  • $a - 3 \neq 0 \implies a \neq 3$

Таким образом, ОДЗ: $a$ — любое действительное число, кроме $-2, 1, 2, 3$.

Упростим выражение по действиям.

1. Выполним действие в скобках

$$ \frac{4a - 8}{a^2 - a - 6} + \frac{a - 3}{4 - a^2} $$

Разложим числители и знаменатели на множители:

$$ \frac{4(a-2)}{(a-3)(a+2)} + \frac{a-3}{(2-a)(a+2)} = \frac{4(a-2)}{(a-3)(a+2)} - \frac{a-3}{(a-2)(a+2)} $$

Приведем дроби к общему знаменателю $(a-3)(a-2)(a+2)$:

$$ \frac{4(a-2)^2 - (a-3)^2}{(a-3)(a-2)(a+2)} = \frac{4(a^2-4a+4) - (a^2-6a+9)}{(a-3)(a-2)(a+2)} $$

Раскроем скобки в числителе и приведем подобные слагаемые:

$$ \frac{4a^2 - 16a + 16 - a^2 + 6a - 9}{(a-3)(a-2)(a+2)} = \frac{3a^2 - 10a + 7}{(a-3)(a-2)(a+2)} $$

Разложим числитель $3a^2 - 10a + 7$ на множители. Корни уравнения $3a^2 - 10a + 7=0$ равны $a_1 = 1$ и $a_2 = \frac{7}{3}$. Следовательно, $3a^2 - 10a + 7 = 3(a-1)(a-\frac{7}{3}) = (a-1)(3a-7)$.

Результат первого действия: $ \frac{(a-1)(3a-7)}{(a-3)(a-2)(a+2)} $.

2. Выполним умножение

$$ \frac{(a-1)(3a-7)}{(a-3)(a-2)(a+2)} \cdot \frac{a^2-4}{1-a} $$

Представим второй множитель в виде $ \frac{(a-2)(a+2)}{-(a-1)} $ и выполним сокращение:

$$ \frac{\cancel{(a-1)}(3a-7)}{(a-3)\cancel{(a-2)}\cancel{(a+2)}} \cdot \frac{\cancel{(a-2)}\cancel{(a+2)}}{-\cancel{(a-1)}} = \frac{3a-7}{a-3} \cdot (-1) = -\frac{3a-7}{a-3} = \frac{7-3a}{a-3} $$

3. Выполним конечное сложение

$$ \frac{7-3a}{a-3} + \frac{2}{a-3} = \frac{7-3a+2}{a-3} = \frac{9-3a}{a-3} $$

Вынесем в числителе общий множитель $-3$:

$$ \frac{-3(a-3)}{a-3} = -3 $$

Мы упростили выражение и получили в результате число -3. Это означает, что для любого значения a из области допустимых значений, значение выражения будет постоянным и равным -3. Следовательно, значение выражения не зависит от a, что и требовалось доказать.

Ответ: Утверждение доказано.

Помогло решение? Оставьте отзыв в комментариях ниже.

Присоединяйтесь к Телеграм-группе @gdz_by_belarus

Присоединиться

Мы подготовили для вас ответ c подробным объяснением домашего задания по алгебре за 7-9 класс, для упражнения номер 34.28 расположенного на странице 168 к сборнику задач 2020 года издания для учащихся школ и гимназий.

Теперь на нашем сайте ГДЗ.ТОП вы всегда легко и бесплатно найдёте условие с правильным ответом на вопрос «Как решить ДЗ» и «Как сделать» задание по алгебре к упражнению №34.28 (с. 168), авторов: Арефьева (Ирина Глебовна), Пирютко (Ольга Николаевна), учебного пособия издательства Народная асвета.