Номер 34.33, страница 169 - гдз по алгебре 7-9 класс сборник задач Арефьева, Пирютко

Алгебра, 7-9 класс Сборник задач, авторы: Арефьева Ирина Глебовна, Пирютко Ольга Николаевна, издательство Народная асвета, Минск, 2020

Авторы: Арефьева И. Г., Пирютко О. Н.

Тип: Сборник задач

Издательство: Народная асвета

Год издания: 2020 - 2025

Цвет обложки: синий с графиками

Допущено Министерством образования Республики Беларусь

Популярные ГДЗ в 7 классе

9 класс. Параграф 34. Преобразования рациональных выражений - номер 34.33, страница 169.

№34.33 (с. 169)
Условие. №34.33 (с. 169)
скриншот условия
Алгебра, 7-9 класс Сборник задач, авторы: Арефьева Ирина Глебовна, Пирютко Ольга Николаевна, издательство Народная асвета, Минск, 2020, страница 169, номер 34.33, Условие

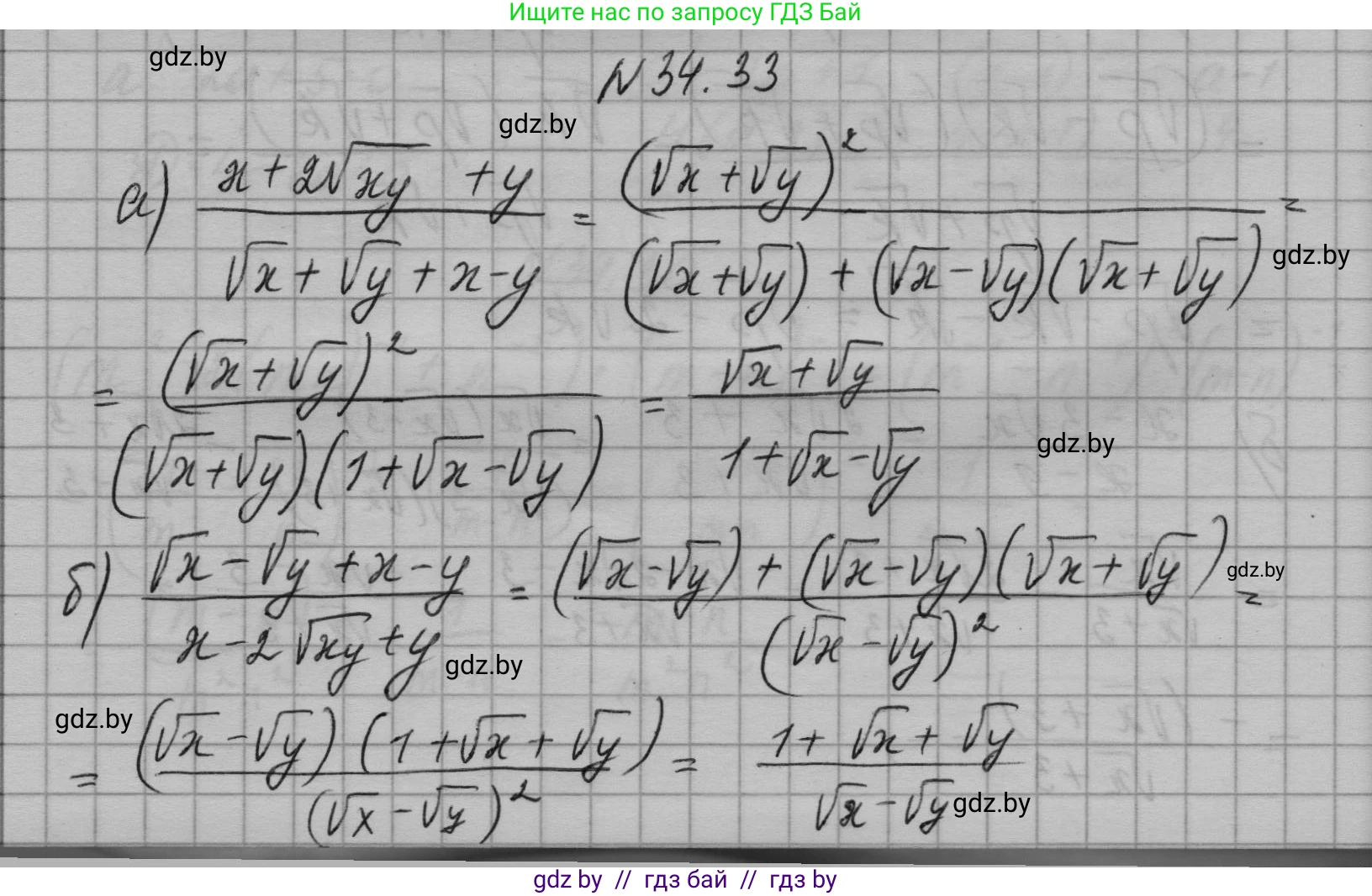
34.33. Сократите дробь:

a) $\frac{x + 2\sqrt{xy} + y}{\sqrt{x} + \sqrt{y} + x - y}$

б) $\frac{\sqrt{x} - \sqrt{y} + x - y}{x - 2\sqrt{xy} + y}$

Решение. №34.33 (с. 169)
Алгебра, 7-9 класс Сборник задач, авторы: Арефьева Ирина Глебовна, Пирютко Ольга Николаевна, издательство Народная асвета, Минск, 2020, страница 169, номер 34.33, Решение
Решение 2. №34.33 (с. 169)

а)

Для сокращения дроби $ \frac{x + 2\sqrt{xy} + y}{\sqrt{x} + \sqrt{y} + x - y} $ преобразуем её числитель и знаменатель. При этом необходимо учитывать, что подкоренные выражения должны быть неотрицательны, то есть $x \ge 0$ и $y \ge 0$.

Числитель $x + 2\sqrt{xy} + y$ является полным квадратом суммы. Действительно, по формуле $(a+b)^2 = a^2 + 2ab + b^2$, если взять $a = \sqrt{x}$ и $b = \sqrt{y}$, получим:

$(\sqrt{x})^2 + 2\sqrt{x}\sqrt{y} + (\sqrt{y})^2 = x + 2\sqrt{xy} + y$.

Таким образом, числитель равен $(\sqrt{x} + \sqrt{y})^2$.

Знаменатель $ \sqrt{x} + \sqrt{y} + x - y $ преобразуем, разложив выражение $x-y$ по формуле разности квадратов $a^2-b^2 = (a-b)(a+b)$:

$x - y = (\sqrt{x})^2 - (\sqrt{y})^2 = (\sqrt{x} - \sqrt{y})(\sqrt{x} + \sqrt{y})$.

Тогда знаменатель примет вид:

$\sqrt{x} + \sqrt{y} + (\sqrt{x} - \sqrt{y})(\sqrt{x} + \sqrt{y})$.

Вынесем общий множитель $(\sqrt{x} + \sqrt{y})$ за скобки:

$(\sqrt{x} + \sqrt{y})(1 + (\sqrt{x} - \sqrt{y})) = (\sqrt{x} + \sqrt{y})(1 + \sqrt{x} - \sqrt{y})$.

Теперь подставим преобразованные выражения в исходную дробь:

$ \frac{(\sqrt{x} + \sqrt{y})^2}{(\sqrt{x} + \sqrt{y})(1 + \sqrt{x} - \sqrt{y})} $

Сократим дробь на общий множитель $(\sqrt{x} + \sqrt{y})$. Так как $x \ge 0$ и $y \ge 0$, то $\sqrt{x} + \sqrt{y}$ равен нулю только при $x=0$ и $y=0$, но в этом случае исходное выражение неопределено. Поэтому можем считать, что $(\sqrt{x} + \sqrt{y}) \neq 0$.

$ \frac{\sqrt{x} + \sqrt{y}}{1 + \sqrt{x} - \sqrt{y}} $

Ответ: $ \frac{\sqrt{x} + \sqrt{y}}{1 + \sqrt{x} - \sqrt{y}} $

б)

Рассмотрим дробь $ \frac{\sqrt{x} - \sqrt{y} + x - y}{x - 2\sqrt{xy} + y} $. Область допустимых значений: $x \ge 0, y \ge 0$.

Преобразуем числитель. Разложим слагаемое $x-y$ как разность квадратов:

$\sqrt{x} - \sqrt{y} + x - y = (\sqrt{x} - \sqrt{y}) + ((\sqrt{x})^2 - (\sqrt{y})^2) = (\sqrt{x} - \sqrt{y}) + (\sqrt{x} - \sqrt{y})(\sqrt{x} + \sqrt{y})$.

Вынесем общий множитель $(\sqrt{x} - \sqrt{y})$ за скобки:

$(\sqrt{x} - \sqrt{y})(1 + (\sqrt{x} + \sqrt{y})) = (\sqrt{x} - \sqrt{y})(1 + \sqrt{x} + \sqrt{y})$.

Знаменатель $x - 2\sqrt{xy} + y$ является полным квадратом разности. По формуле $(a-b)^2 = a^2 - 2ab + b^2$, если взять $a = \sqrt{x}$ и $b = \sqrt{y}$, получим:

$(\sqrt{x})^2 - 2\sqrt{x}\sqrt{y} + (\sqrt{y})^2 = x - 2\sqrt{xy} + y$.

Таким образом, знаменатель равен $(\sqrt{x} - \sqrt{y})^2$.

Знаменатель не должен быть равен нулю, то есть $(\sqrt{x} - \sqrt{y})^2 \neq 0$, что означает $\sqrt{x} \neq \sqrt{y}$ и, следовательно, $x \neq y$.

Подставим преобразованные выражения в исходную дробь:

$ \frac{(\sqrt{x} - \sqrt{y})(1 + \sqrt{x} + \sqrt{y})}{(\sqrt{x} - \sqrt{y})^2} $

Сократим дробь на общий множитель $(\sqrt{x} - \sqrt{y})$, так как $x \neq y$:

$ \frac{1 + \sqrt{x} + \sqrt{y}}{\sqrt{x} - \sqrt{y}} $

Ответ: $ \frac{1 + \sqrt{x} + \sqrt{y}}{\sqrt{x} - \sqrt{y}} $

Помогло решение? Оставьте отзыв в комментариях ниже.

Присоединяйтесь к Телеграм-группе @gdz_by_belarus

Присоединиться

Мы подготовили для вас ответ c подробным объяснением домашего задания по алгебре за 7-9 класс, для упражнения номер 34.33 расположенного на странице 169 к сборнику задач 2020 года издания для учащихся школ и гимназий.

Теперь на нашем сайте ГДЗ.ТОП вы всегда легко и бесплатно найдёте условие с правильным ответом на вопрос «Как решить ДЗ» и «Как сделать» задание по алгебре к упражнению №34.33 (с. 169), авторов: Арефьева (Ирина Глебовна), Пирютко (Ольга Николаевна), учебного пособия издательства Народная асвета.