Номер 34.34, страница 169 - гдз по алгебре 7-9 класс сборник задач Арефьева, Пирютко
Авторы: Арефьева И. Г., Пирютко О. Н.
Тип: Сборник задач
Издательство: Народная асвета
Год издания: 2020 - 2025
Цвет обложки: синий с графиками
Допущено Министерством образования Республики Беларусь
Популярные ГДЗ в 7 классе
9 класс. Параграф 34. Преобразования рациональных выражений - номер 34.34, страница 169.
№34.34 (с. 169)
Условие. №34.34 (с. 169)
скриншот условия
34.34. Упростите выражение, выполнив указанные действия:
а) $\left(\frac{4\sqrt{b}}{b-1} - \frac{\sqrt{b}+1}{\sqrt{b}(\sqrt{b}-1)}\right) : \frac{\sqrt{b}-1}{b+\sqrt{b}};$
б) $\left(\frac{8\sqrt{a}}{a-4} + \frac{\sqrt{a}-2}{\sqrt{a}+2}\right) : \frac{\sqrt{a}+2}{2\sqrt{a}-a};$
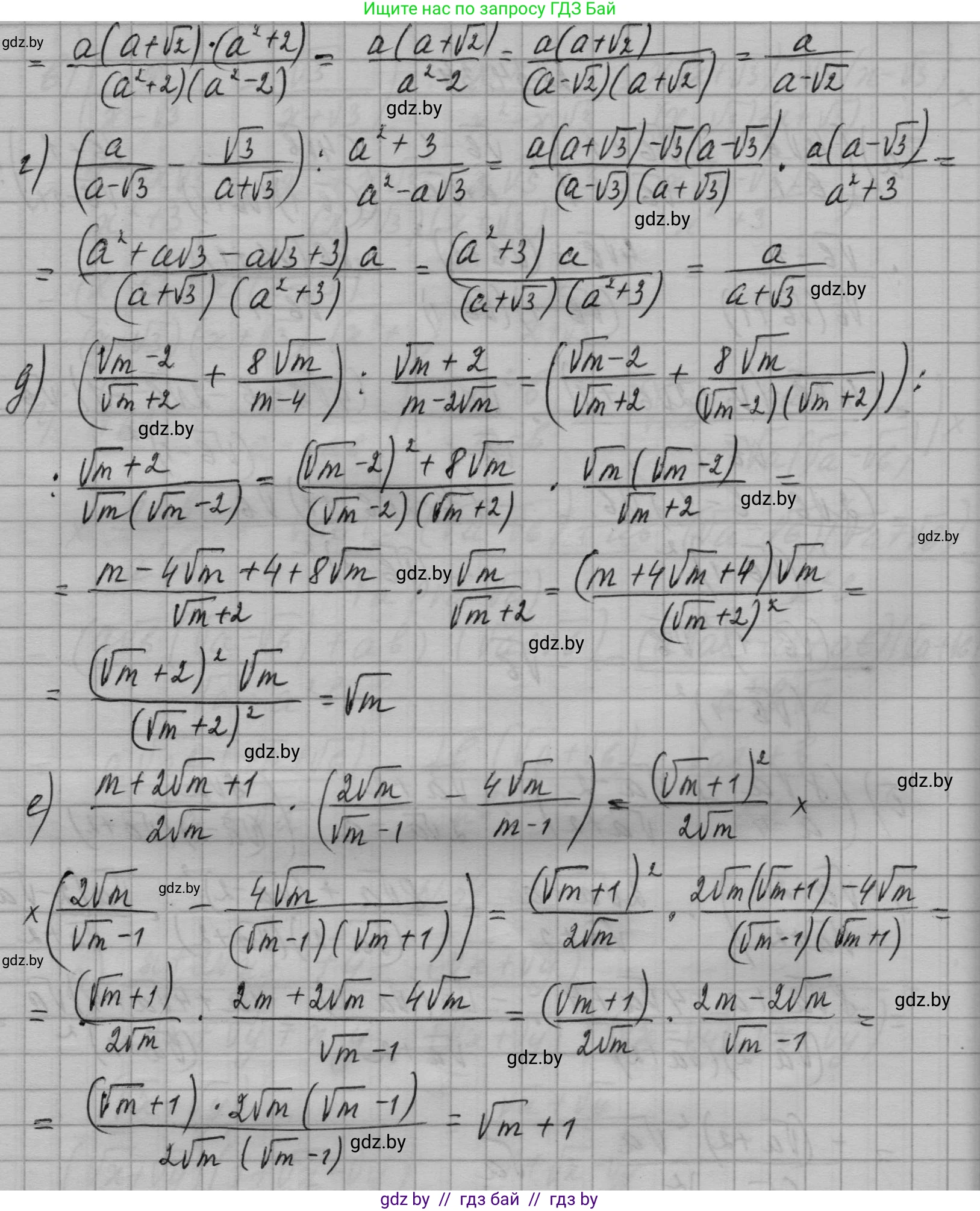
в) $\frac{a^2+a\sqrt{2}}{a^2+2} \cdot \left(\frac{a}{a-\sqrt{2}} - \frac{\sqrt{2}}{a+\sqrt{2}}\right);$
г) $\left(\frac{a}{a-\sqrt{3}} - \frac{\sqrt{3}}{a+\sqrt{3}}\right) : \frac{a^2+3}{a^2-a\sqrt{3}};$
д) $\left(\frac{\sqrt{m}-2}{\sqrt{m}+2} + \frac{8\sqrt{m}}{m-4}\right) : \frac{\sqrt{m}+2}{m-2\sqrt{m}};$
е) $\frac{m+2\sqrt{m}+1}{2\sqrt{m}} \cdot \left(\frac{2\sqrt{m}}{\sqrt{m}-1} - \frac{4\sqrt{m}}{m-1}\right).$
Решение. №34.34 (с. 169)
Решение 2. №34.34 (с. 169)
а) Выполним действия по порядку.
1. Упростим выражение в скобках. Приведем дроби к общему знаменателю $b-1 = (\sqrt{b}-1)(\sqrt{b}+1)$:
$\frac{4\sqrt{b}}{b-1}-\frac{\sqrt{b}+1}{\sqrt{b}-1} = \frac{4\sqrt{b}}{(\sqrt{b}-1)(\sqrt{b}+1)} - \frac{(\sqrt{b}+1)(\sqrt{b}+1)}{(\sqrt{b}-1)(\sqrt{b}+1)} = \frac{4\sqrt{b} - (\sqrt{b}+1)^2}{b-1} = \frac{4\sqrt{b} - (b+2\sqrt{b}+1)}{b-1} = \frac{4\sqrt{b} - b - 2\sqrt{b} - 1}{b-1} = \frac{-b+2\sqrt{b}-1}{b-1} = \frac{-(b-2\sqrt{b}+1)}{b-1} = \frac{-(\sqrt{b}-1)^2}{(\sqrt{b}-1)(\sqrt{b}+1)} = -\frac{\sqrt{b}-1}{\sqrt{b}+1}$.
2. Упростим делитель, вынеся общий множитель в знаменателе:
$\frac{\sqrt{b}-1}{b+\sqrt{b}} = \frac{\sqrt{b}-1}{\sqrt{b}(\sqrt{b}+1)}$.
3. Выполним деление:
$\left(-\frac{\sqrt{b}-1}{\sqrt{b}+1}\right) : \frac{\sqrt{b}-1}{\sqrt{b}(\sqrt{b}+1)} = -\frac{\sqrt{b}-1}{\sqrt{b}+1} \cdot \frac{\sqrt{b}(\sqrt{b}+1)}{\sqrt{b}-1}$.
Сокращая одинаковые множители $(\sqrt{b}-1)$ и $(\sqrt{b}+1)$, получаем: $-\sqrt{b}$.
Ответ: $-\sqrt{b}$.
б) Выполним действия по порядку.
1. Упростим выражение в скобках. Общий знаменатель $a-4 = (\sqrt{a}-2)(\sqrt{a}+2)$:
$\frac{8\sqrt{a}}{a-4}+\frac{\sqrt{a}-2}{\sqrt{a}+2} = \frac{8\sqrt{a}}{(\sqrt{a}-2)(\sqrt{a}+2)} + \frac{(\sqrt{a}-2)^2}{(\sqrt{a}-2)(\sqrt{a}+2)} = \frac{8\sqrt{a} + (a-4\sqrt{a}+4)}{a-4} = \frac{a+4\sqrt{a}+4}{a-4} = \frac{(\sqrt{a}+2)^2}{(\sqrt{a}-2)(\sqrt{a}+2)} = \frac{\sqrt{a}+2}{\sqrt{a}-2}$.
2. Упростим делитель:
$\frac{\sqrt{a}+2}{2\sqrt{a}-a} = \frac{\sqrt{a}+2}{\sqrt{a}(2-\sqrt{a})} = -\frac{\sqrt{a}+2}{\sqrt{a}(\sqrt{a}-2)}$.
3. Выполним деление:
$\frac{\sqrt{a}+2}{\sqrt{a}-2} : \left(-\frac{\sqrt{a}+2}{\sqrt{a}(\sqrt{a}-2)}\right) = \frac{\sqrt{a}+2}{\sqrt{a}-2} \cdot \left(-\frac{\sqrt{a}(\sqrt{a}-2)}{\sqrt{a}+2}\right)$.
Сокращая одинаковые множители $(\sqrt{a}+2)$ и $(\sqrt{a}-2)$, получаем: $-\sqrt{a}$.
Ответ: $-\sqrt{a}$.
в) Выполним действия по порядку.
1. Упростим выражение в скобках. Общий знаменатель $(a-\sqrt{2})(a+\sqrt{2}) = a^2-2$:
$\frac{a}{a-\sqrt{2}}-\frac{\sqrt{2}}{a+\sqrt{2}} = \frac{a(a+\sqrt{2})-\sqrt{2}(a-\sqrt{2})}{(a-\sqrt{2})(a+\sqrt{2})} = \frac{a^2+a\sqrt{2}-a\sqrt{2}+2}{a^2-2} = \frac{a^2+2}{a^2-2}$.
2. Выполним умножение:
$\frac{a^2+a\sqrt{2}}{a^2+2} \cdot \frac{a^2+2}{a^2-2} = \frac{a(a+\sqrt{2})}{a^2+2} \cdot \frac{a^2+2}{(a-\sqrt{2})(a+\sqrt{2})}$.
Сокращая одинаковые множители $(a^2+2)$ и $(a+\sqrt{2})$, получаем: $\frac{a}{a-\sqrt{2}}$.
Ответ: $\frac{a}{a-\sqrt{2}}$.
г) Выполним действия по порядку.
1. Упростим выражение в скобках. Общий знаменатель $(a-\sqrt{3})(a+\sqrt{3}) = a^2-3$:
$\frac{a}{a-\sqrt{3}}-\frac{\sqrt{3}}{a+\sqrt{3}} = \frac{a(a+\sqrt{3})-\sqrt{3}(a-\sqrt{3})}{(a-\sqrt{3})(a+\sqrt{3})} = \frac{a^2+a\sqrt{3}-a\sqrt{3}+3}{a^2-3} = \frac{a^2+3}{a^2-3}$.
2. Упростим делитель:
$\frac{a^2+3}{a^2-a\sqrt{3}} = \frac{a^2+3}{a(a-\sqrt{3})}$.
3. Выполним деление:
$\frac{a^2+3}{a^2-3} : \frac{a^2+3}{a(a-\sqrt{3})} = \frac{a^2+3}{(a-\sqrt{3})(a+\sqrt{3})} \cdot \frac{a(a-\sqrt{3})}{a^2+3}$.
Сокращая одинаковые множители $(a^2+3)$ и $(a-\sqrt{3})$, получаем: $\frac{a}{a+\sqrt{3}}$.
Ответ: $\frac{a}{a+\sqrt{3}}$.
д) Выполним действия по порядку.
1. Упростим выражение в скобках. Общий знаменатель $m-4 = (\sqrt{m}-2)(\sqrt{m}+2)$:
$\frac{\sqrt{m}-2}{\sqrt{m}+2}+\frac{8\sqrt{m}}{m-4} = \frac{(\sqrt{m}-2)^2}{(\sqrt{m}-2)(\sqrt{m}+2)} + \frac{8\sqrt{m}}{m-4} = \frac{m-4\sqrt{m}+4+8\sqrt{m}}{m-4} = \frac{m+4\sqrt{m}+4}{m-4} = \frac{(\sqrt{m}+2)^2}{(\sqrt{m}-2)(\sqrt{m}+2)} = \frac{\sqrt{m}+2}{\sqrt{m}-2}$.
2. Упростим делитель:
$\frac{\sqrt{m}+2}{m-2\sqrt{m}} = \frac{\sqrt{m}+2}{\sqrt{m}(\sqrt{m}-2)}$.
3. Выполним деление:
$\frac{\sqrt{m}+2}{\sqrt{m}-2} : \frac{\sqrt{m}+2}{\sqrt{m}(\sqrt{m}-2)} = \frac{\sqrt{m}+2}{\sqrt{m}-2} \cdot \frac{\sqrt{m}(\sqrt{m}-2)}{\sqrt{m}+2}$.
Сокращая одинаковые множители $(\sqrt{m}+2)$ и $(\sqrt{m}-2)$, получаем: $\sqrt{m}$.
Ответ: $\sqrt{m}$.
е) Выполним действия по порядку.
1. Упростим выражение в скобках. Общий знаменатель $m-1 = (\sqrt{m}-1)(\sqrt{m}+1)$:
$\frac{2\sqrt{m}}{\sqrt{m}-1}-\frac{4\sqrt{m}}{m-1} = \frac{2\sqrt{m}(\sqrt{m}+1)}{(\sqrt{m}-1)(\sqrt{m}+1)} - \frac{4\sqrt{m}}{m-1} = \frac{2m+2\sqrt{m}-4\sqrt{m}}{m-1} = \frac{2m-2\sqrt{m}}{m-1} = \frac{2\sqrt{m}(\sqrt{m}-1)}{(\sqrt{m}-1)(\sqrt{m}+1)} = \frac{2\sqrt{m}}{\sqrt{m}+1}$.
2. Выполним умножение, предварительно заметив, что $m+2\sqrt{m}+1 = (\sqrt{m}+1)^2$:
$\frac{m+2\sqrt{m}+1}{2\sqrt{m}} \cdot \frac{2\sqrt{m}}{\sqrt{m}+1} = \frac{(\sqrt{m}+1)^2}{2\sqrt{m}} \cdot \frac{2\sqrt{m}}{\sqrt{m}+1}$.
Сокращая одинаковые множители $2\sqrt{m}$ и $(\sqrt{m}+1)$, получаем: $\sqrt{m}+1$.
Ответ: $\sqrt{m}+1$.
Другие задания:
Помогло решение? Оставьте отзыв в комментариях ниже.
Присоединяйтесь к Телеграм-группе @gdz_by_belarus
ПрисоединитьсяМы подготовили для вас ответ c подробным объяснением домашего задания по алгебре за 7-9 класс, для упражнения номер 34.34 расположенного на странице 169 к сборнику задач 2020 года издания для учащихся школ и гимназий.
Теперь на нашем сайте ГДЗ.ТОП вы всегда легко и бесплатно найдёте условие с правильным ответом на вопрос «Как решить ДЗ» и «Как сделать» задание по алгебре к упражнению №34.34 (с. 169), авторов: Арефьева (Ирина Глебовна), Пирютко (Ольга Николаевна), учебного пособия издательства Народная асвета.