Номер 34.35, страница 169 - гдз по алгебре 7-9 класс сборник задач Арефьева, Пирютко

Алгебра, 7-9 класс Сборник задач, авторы: Арефьева Ирина Глебовна, Пирютко Ольга Николаевна, издательство Народная асвета, Минск, 2020

Авторы: Арефьева И. Г., Пирютко О. Н.

Тип: Сборник задач

Издательство: Народная асвета

Год издания: 2020 - 2025

Цвет обложки: синий с графиками

Допущено Министерством образования Республики Беларусь

Популярные ГДЗ в 7 классе

9 класс. Параграф 34. Преобразования рациональных выражений - номер 34.35, страница 169.

№34.35 (с. 169)
Условие. №34.35 (с. 169)
скриншот условия
Алгебра, 7-9 класс Сборник задач, авторы: Арефьева Ирина Глебовна, Пирютко Ольга Николаевна, издательство Народная асвета, Минск, 2020, страница 169, номер 34.35, Условие

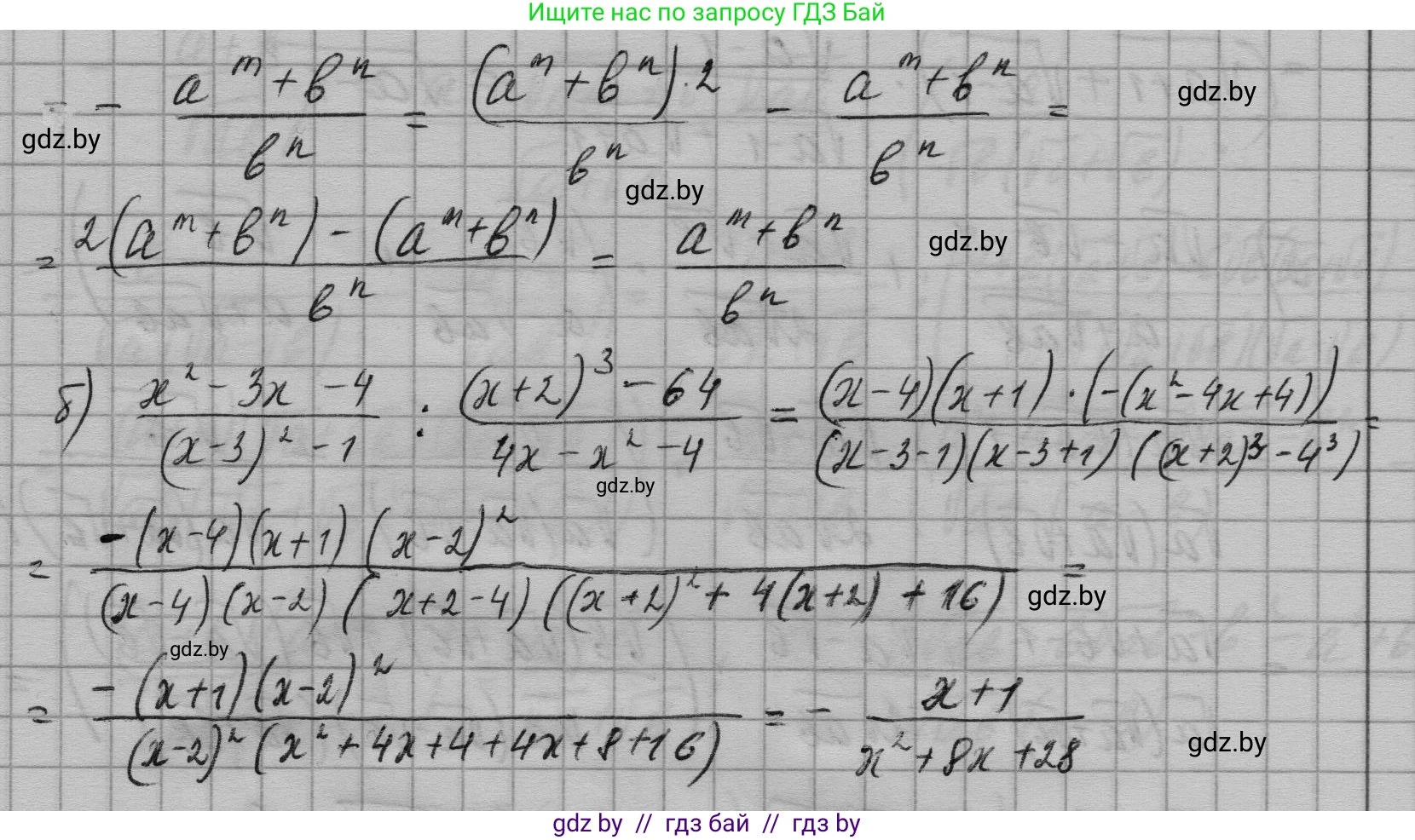
34.35*. Представьте выражение в виде дроби:

а) $\frac{a^m b^n + b^{2n}}{3} \cdot \frac{6}{b^{2n}} - \frac{a^m + b^n}{b^n};$

б) $\frac{x^2 - 3x - 4}{(x - 3)^2 - 1} : \frac{(x + 2)^3 - 64}{4x - x^2 - 4}.$

Решение. №34.35 (с. 169)
Алгебра, 7-9 класс Сборник задач, авторы: Арефьева Ирина Глебовна, Пирютко Ольга Николаевна, издательство Народная асвета, Минск, 2020, страница 169, номер 34.35, Решение Алгебра, 7-9 класс Сборник задач, авторы: Арефьева Ирина Глебовна, Пирютко Ольга Николаевна, издательство Народная асвета, Минск, 2020, страница 169, номер 34.35, Решение (продолжение 2)
Решение 2. №34.35 (с. 169)

а)

Чтобы представить выражение в виде дроби, выполним действия по порядку.

1. Первым действием выполним умножение дробей: $ \frac{a^m b^n + b^{2n}}{3} \cdot \frac{6}{b^{2n}} $

Вынесем общий множитель $b^n$ в числителе первой дроби: $ a^m b^n + b^{2n} = b^n(a^m + b^n) $.

Подставим это в произведение и выполним сокращение: $ \frac{b^n(a^m + b^n)}{3} \cdot \frac{6}{b^{2n}} = \frac{6 \cdot b^n(a^m + b^n)}{3 \cdot b^{2n}} = \frac{2(a^m + b^n)}{b^n} $.

2. Вторым действием выполним вычитание: $ \frac{2(a^m + b^n)}{b^n} - \frac{a^m + b^n}{b^n} $

Поскольку у дробей общий знаменатель $b^n$, вычтем их числители: $ \frac{2(a^m + b^n) - (a^m + b^n)}{b^n} = \frac{a^m + b^n}{b^n} $.

Ответ: $ \frac{a^m + b^n}{b^n} $

б)

Чтобы представить выражение в виде дроби, сначала заменим деление на умножение, перевернув вторую дробь, а затем упростим полученное выражение.

1. Замена деления на умножение: $ \frac{x^2 - 3x - 4}{(x-3)^2 - 1} : \frac{(x+2)^3 - 64}{4x - x^2 - 4} = \frac{x^2 - 3x - 4}{(x-3)^2 - 1} \cdot \frac{4x - x^2 - 4}{(x+2)^3 - 64} $.

2. Разложим на множители числители и знаменатели дробей.

  • $x^2 - 3x - 4$: корни квадратного трехчлена $x_1=4$ и $x_2=-1$, поэтому $x^2 - 3x - 4 = (x-4)(x+1)$.
  • $(x-3)^2 - 1$: по формуле разности квадратов $a^2 - b^2 = (a-b)(a+b)$, получаем $((x-3)-1)((x-3)+1) = (x-4)(x-2)$.
  • $4x - x^2 - 4$: выносим минус за скобку и применяем формулу квадрата разности $-(x^2 - 4x + 4) = -(x-2)^2$.
  • $(x+2)^3 - 64$: по формуле разности кубов $a^3 - b^3 = (a-b)(a^2+ab+b^2)$, получаем $(x+2)^3 - 4^3 = ((x+2)-4)((x+2)^2 + 4(x+2) + 4^2) = (x-2)(x^2+4x+4+4x+8+16) = (x-2)(x^2+8x+28)$.

3. Подставим разложенные выражения обратно: $ \frac{(x-4)(x+1)}{(x-4)(x-2)} \cdot \frac{-(x-2)^2}{(x-2)(x^2 + 8x + 28)} $.

4. Соберем все множители в одну дробь и проведем сокращение: $ \frac{(x-4)(x+1) \cdot (-(x-2)^2)}{(x-4)(x-2) \cdot (x-2)(x^2 + 8x + 28)} = \frac{-(x-4)(x+1)(x-2)^2}{(x-4)(x-2)^2(x^2 + 8x + 28)} $.

Сокращаем общие множители $(x-4)$ и $(x-2)^2$ (при условии, что $x \neq 4$ и $x \neq 2$), в результате чего получаем: $ -\frac{x+1}{x^2 + 8x + 28} $.

Ответ: $ -\frac{x+1}{x^2+8x+28} $

Помогло решение? Оставьте отзыв в комментариях ниже.

Присоединяйтесь к Телеграм-группе @gdz_by_belarus

Присоединиться

Мы подготовили для вас ответ c подробным объяснением домашего задания по алгебре за 7-9 класс, для упражнения номер 34.35 расположенного на странице 169 к сборнику задач 2020 года издания для учащихся школ и гимназий.

Теперь на нашем сайте ГДЗ.ТОП вы всегда легко и бесплатно найдёте условие с правильным ответом на вопрос «Как решить ДЗ» и «Как сделать» задание по алгебре к упражнению №34.35 (с. 169), авторов: Арефьева (Ирина Глебовна), Пирютко (Ольга Николаевна), учебного пособия издательства Народная асвета.