Номер 34.37, страница 170 - гдз по алгебре 7-9 класс сборник задач Арефьева, Пирютко

Алгебра, 7-9 класс Сборник задач, авторы: Арефьева Ирина Глебовна, Пирютко Ольга Николаевна, издательство Народная асвета, Минск, 2020

Авторы: Арефьева И. Г., Пирютко О. Н.

Тип: Сборник задач

Издательство: Народная асвета

Год издания: 2020 - 2025

Цвет обложки: синий с графиками

Допущено Министерством образования Республики Беларусь

Популярные ГДЗ в 7 классе

9 класс. Параграф 34. Преобразования рациональных выражений - номер 34.37, страница 170.

№34.37 (с. 170)
Условие. №34.37 (с. 170)
скриншот условия
Алгебра, 7-9 класс Сборник задач, авторы: Арефьева Ирина Глебовна, Пирютко Ольга Николаевна, издательство Народная асвета, Минск, 2020, страница 170, номер 34.37, Условие

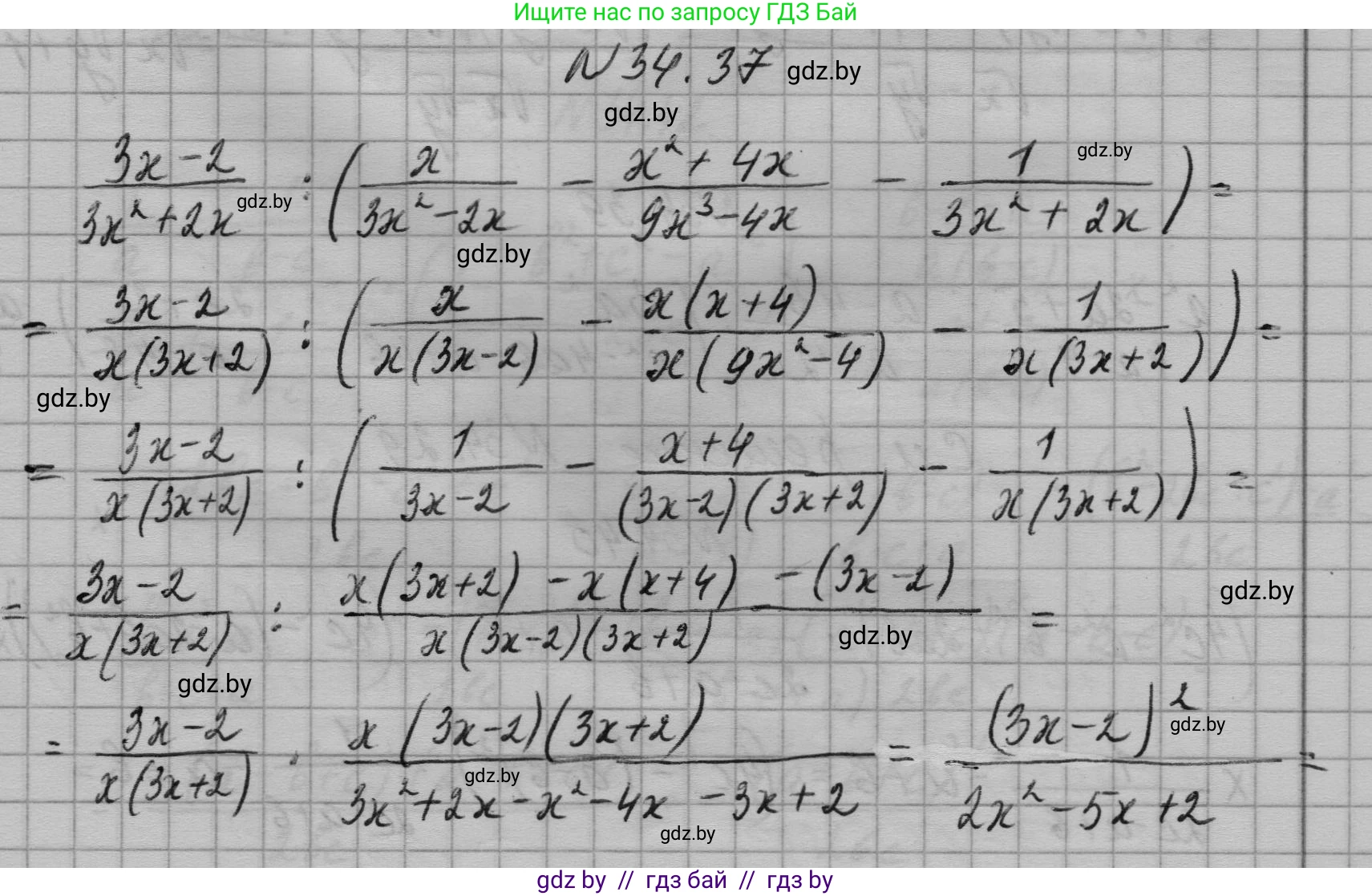
34.37*. Упростите выражение

$\frac{3x-2}{3x^2+2x} : \left( \frac{x}{3x^2-2x} - \frac{x^2+4x}{9x^3-4x} - \frac{1}{3x^2+2x} \right).$

Решение. №34.37 (с. 170)
Алгебра, 7-9 класс Сборник задач, авторы: Арефьева Ирина Глебовна, Пирютко Ольга Николаевна, издательство Народная асвета, Минск, 2020, страница 170, номер 34.37, Решение Алгебра, 7-9 класс Сборник задач, авторы: Арефьева Ирина Глебовна, Пирютко Ольга Николаевна, издательство Народная асвета, Минск, 2020, страница 170, номер 34.37, Решение (продолжение 2)
Решение 2. №34.37 (с. 170)

Для упрощения данного выражения выполним действия по порядку. Сначала преобразуем выражение в скобках, приведя дроби к общему знаменателю.

1. Разложим на множители знаменатели каждой дроби внутри скобок:

  • $3x^2 - 2x = x(3x-2)$
  • $9x^3 - 4x = x(9x^2 - 4) = x(3x-2)(3x+2)$ (используя формулу разности квадратов $a^2-b^2=(a-b)(a+b)$)
  • $3x^2 + 2x = x(3x+2)$

2. Общим знаменателем для этих трех дробей является выражение $x(3x-2)(3x+2)$.

3. Приведем все дроби в скобках к общему знаменателю и выполним вычитание:

$\frac{x}{3x^2-2x} - \frac{x^2+4x}{9x^3-4x} - \frac{1}{3x^2+2x} = \frac{x(3x+2)}{x(3x-2)(3x+2)} - \frac{x^2+4x}{x(3x-2)(3x+2)} - \frac{1(3x-2)}{x(3x-2)(3x+2)}$

4. Запишем все под одной дробной чертой и упростим числитель:

$\frac{x(3x+2) - (x^2+4x) - (3x-2)}{x(3x-2)(3x+2)} = \frac{3x^2+2x - x^2-4x - 3x+2}{x(3x-2)(3x+2)} = \frac{(3x^2-x^2) + (2x-4x-3x) + 2}{x(3x-2)(3x+2)} = \frac{2x^2-5x+2}{x(3x-2)(3x+2)}$

5. Разложим получившийся числитель $2x^2-5x+2$ на множители. Для этого решим квадратное уравнение $2x^2-5x+2 = 0$.
Дискриминант $D = b^2 - 4ac = (-5)^2 - 4 \cdot 2 \cdot 2 = 25 - 16 = 9$.
Корни уравнения: $x_1 = \frac{5 + \sqrt{9}}{2 \cdot 2} = \frac{5+3}{4} = 2$ и $x_2 = \frac{5 - \sqrt{9}}{2 \cdot 2} = \frac{5-3}{4} = \frac{1}{2}$.
Следовательно, $2x^2-5x+2 = 2(x-2)(x-\frac{1}{2}) = (2x-1)(x-2)$.

6. Таким образом, выражение в скобках равно:

$\frac{(2x-1)(x-2)}{x(3x-2)(3x+2)}$

7. Теперь выполним деление. Заменим знак деления на умножение, перевернув вторую дробь. Также разложим на множители знаменатель первой дроби: $3x^2+2x = x(3x+2)$.

$\frac{3x-2}{3x^2+2x} : \left( \frac{(2x-1)(x-2)}{x(3x-2)(3x+2)} \right) = \frac{3x-2}{x(3x+2)} \cdot \frac{x(3x-2)(3x+2)}{(2x-1)(x-2)}$

8. Сократим общие множители в числителе и знаменателе, а именно $x$ и $(3x+2)$:

$\frac{3x-2}{\cancel{x}(\cancel{3x+2})} \cdot \frac{\cancel{x}(3x-2)(\cancel{3x+2})}{(2x-1)(x-2)} = \frac{(3x-2)(3x-2)}{(2x-1)(x-2)} = \frac{(3x-2)^2}{(2x-1)(x-2)}$

Ответ: $\frac{(3x-2)^2}{(2x-1)(x-2)}$

Помогло решение? Оставьте отзыв в комментариях ниже.

Присоединяйтесь к Телеграм-группе @gdz_by_belarus

Присоединиться

Мы подготовили для вас ответ c подробным объяснением домашего задания по алгебре за 7-9 класс, для упражнения номер 34.37 расположенного на странице 170 к сборнику задач 2020 года издания для учащихся школ и гимназий.

Теперь на нашем сайте ГДЗ.ТОП вы всегда легко и бесплатно найдёте условие с правильным ответом на вопрос «Как решить ДЗ» и «Как сделать» задание по алгебре к упражнению №34.37 (с. 170), авторов: Арефьева (Ирина Глебовна), Пирютко (Ольга Николаевна), учебного пособия издательства Народная асвета.