Номер 1.342, страница 86 - гдз по алгебре 8 класс учебник Арефьева, Пирютко

Алгебра, 8 класс Учебник, авторы: Арефьева Ирина Глебовна, Пирютко Ольга Николаевна, издательство Адукацыя i выхаванне, Минск, 2024, бирюзового цвета

Авторы: Арефьева И. Г., Пирютко О. Н.

Тип: Учебник

Издательство: Адукацыя i выхаванне

Год издания: 2024 - 2025

Цвет обложки: бирюзовый с графиком

ISBN: ISBN 978-985-03-4081-8

Допущено Министерством образования Республики Беларусь

Популярные ГДЗ в 8 классе

Глава 1. Квадратные корни и их свойства. Действительные числа. Параграф 6. Системы и совокупности линейных неравенств с одной переменной. Решение двойных неравенств - номер 1.342, страница 86.

№1.342 (с. 86)
Условие. №1.342 (с. 86)
скриншот условия
Алгебра, 8 класс Учебник, авторы: Арефьева Ирина Глебовна, Пирютко Ольга Николаевна, издательство Адукацыя i выхаванне, Минск, 2024, бирюзового цвета, страница 86, номер 1.342, Условие Алгебра, 8 класс Учебник, авторы: Арефьева Ирина Глебовна, Пирютко Ольга Николаевна, издательство Адукацыя i выхаванне, Минск, 2024, бирюзового цвета, страница 86, номер 1.342, Условие (продолжение 2)

1.342. Решите систему неравенств:

a) $$ \begin{cases} 5(x - 2)(x + 2) \le x(5x - 1), \\ 4x - 7 > 3 - 6x; \end{cases} $$

б) $$ \begin{cases} 5(x - 0,4) - 7 < 3x + 2, \\ (x - 4)^2 - x^2 \le 10 - 3x; \end{cases} $$

в) $$ \begin{cases} (2x - 1)(x + 2) > 2x^2, \\ (x - 3)^2 \ge (x + 6)(x - 1); \end{cases} $$

г) $$ \begin{cases} (x - 5)^2 + 50 \ge (x - 3)(x - 4) + 15, \\ (x - 1)(x - 2) > (x + 4)(x - 7); \end{cases} $$

д) $$ \begin{cases} (x + 3)(3 - x) > 11 - (x - 2)^2, \\ \frac{3 + x}{4} - \frac{2x - 1}{6} \ge 1; \end{cases} $$

е) $$ \begin{cases} 2x - \frac{x + 1}{3} \le \frac{x + 1}{2}, \\ (x - 3)(x + 5) \le (x - 6)^2 - 51. \end{cases} $$

Решение. №1.342 (с. 86)
Алгебра, 8 класс Учебник, авторы: Арефьева Ирина Глебовна, Пирютко Ольга Николаевна, издательство Адукацыя i выхаванне, Минск, 2024, бирюзового цвета, страница 86, номер 1.342, Решение Алгебра, 8 класс Учебник, авторы: Арефьева Ирина Глебовна, Пирютко Ольга Николаевна, издательство Адукацыя i выхаванне, Минск, 2024, бирюзового цвета, страница 86, номер 1.342, Решение (продолжение 2)
Решение 2. №1.342 (с. 86)

а) Решим систему неравенств:

$ \begin{cases} 5(x - 2)(x + 2) \le x(5x - 1), \\ 4x - 7 > 3 - 6x; \end{cases} $

1. Решим первое неравенство:

Используем формулу разности квадратов $(a-b)(a+b) = a^2 - b^2$ и раскроем скобки:

$5(x^2 - 4) \le 5x^2 - x$

$5x^2 - 20 \le 5x^2 - x$

Перенесем члены с переменной в одну сторону, а постоянные в другую:

$5x^2 - 5x^2 + x \le 20$

$x \le 20$

2. Решим второе неравенство:

$4x - 7 > 3 - 6x$

Перенесем члены с $x$ в левую часть, а постоянные в правую:

$4x + 6x > 3 + 7$

$10x > 10$

$x > 1$

3. Найдем пересечение решений обоих неравенств:

Получили $x \le 20$ и $x > 1$. Решением системы является интервал, удовлетворяющий обоим условиям:

$1 < x \le 20$

Ответ: $(1; 20]$.

б) Решим систему неравенств:

$ \begin{cases} 5(x - 0,4) - 7 < 3x + 2, \\ (x - 4)^2 - x^2 \le 10 - 3x; \end{cases} $

1. Решим первое неравенство:

$5x - 5 \cdot 0,4 - 7 < 3x + 2$

$5x - 2 - 7 < 3x + 2$

$5x - 9 < 3x + 2$

$5x - 3x < 2 + 9$

$2x < 11$

$x < \frac{11}{2}$

2. Решим второе неравенство:

Используем формулу квадрата разности $(a-b)^2 = a^2 - 2ab + b^2$:

$(x^2 - 8x + 16) - x^2 \le 10 - 3x$

$-8x + 16 \le 10 - 3x$

$16 - 10 \le 8x - 3x$

$6 \le 5x$

$x \ge \frac{6}{5}$

3. Найдем пересечение решений:

Получили $x < \frac{11}{2}$ и $x \ge \frac{6}{5}$. Решением системы будет интервал:

$\frac{6}{5} \le x < \frac{11}{2}$

Выделим целые части из неправильных дробей: $\frac{6}{5} = 1\frac{1}{5}$, $\frac{11}{2} = 5\frac{1}{2}$.

Ответ: $[1\frac{1}{5}; 5\frac{1}{2})$.

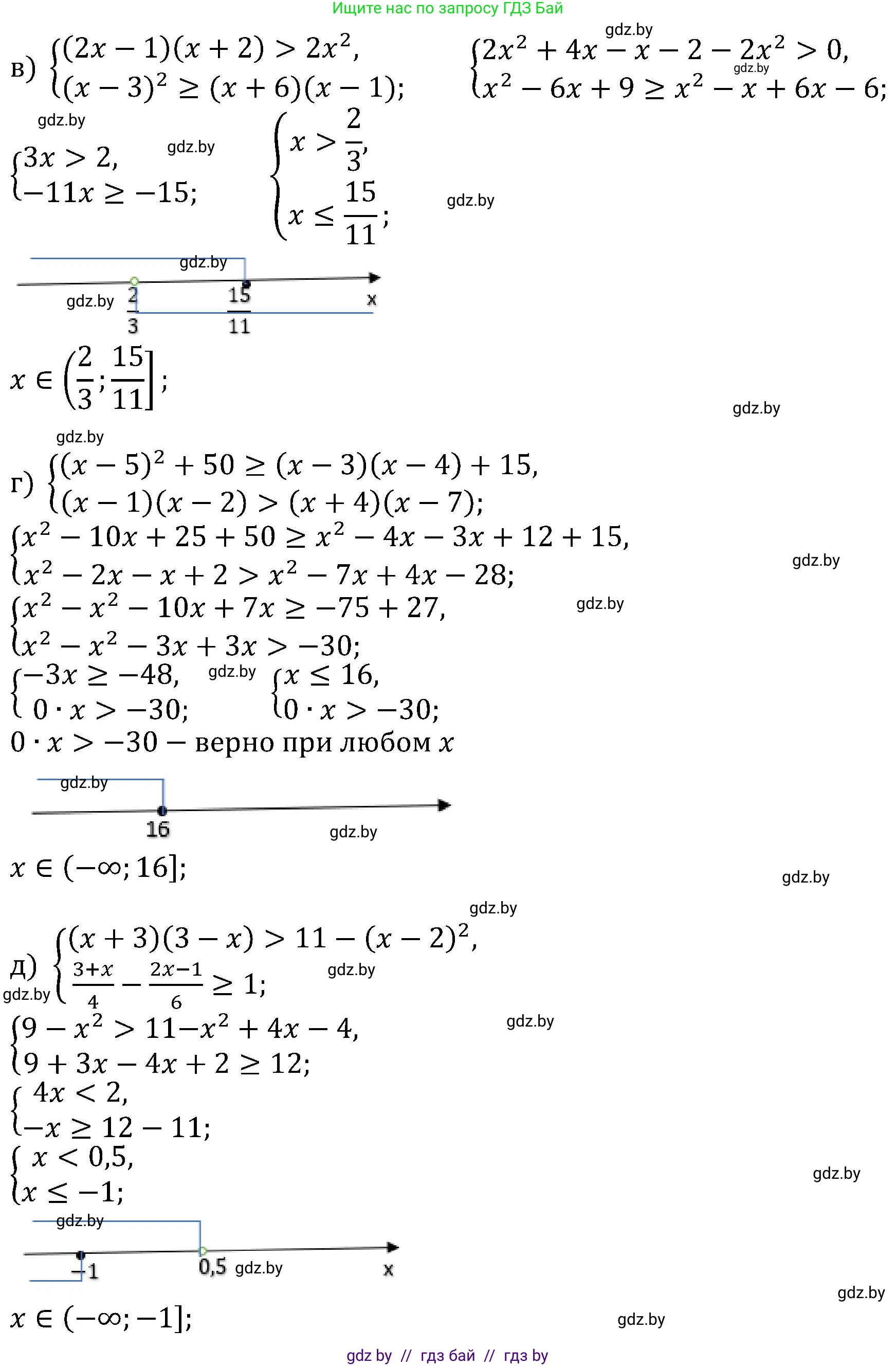
в) Решим систему неравенств:

$ \begin{cases} (2x - 1)(x + 2) > 2x^2, \\ (x - 3)^2 \ge (x + 6)(x - 1); \end{cases} $

1. Решим первое неравенство:

$2x^2 + 4x - x - 2 > 2x^2$

$2x^2 + 3x - 2 > 2x^2$

$3x - 2 > 0$

$3x > 2$

$x > \frac{2}{3}$

2. Решим второе неравенство:

$x^2 - 6x + 9 \ge x^2 - x + 6x - 6$

$x^2 - 6x + 9 \ge x^2 + 5x - 6$

$9 + 6 \ge 5x + 6x$

$15 \ge 11x$

$x \le \frac{15}{11}$

3. Найдем пересечение решений:

Получили $x > \frac{2}{3}$ и $x \le \frac{15}{11}$. Решением системы будет интервал:

$\frac{2}{3} < x \le \frac{15}{11}$

Выделим целую часть из неправильной дроби: $\frac{15}{11} = 1\frac{4}{11}$.

Ответ: $(\frac{2}{3}; 1\frac{4}{11}]$.

г) Решим систему неравенств:

$ \begin{cases} (x - 5)^2 + 50 \ge (x - 3)(x - 4) + 15, \\ (x - 1)(x - 2) > (x + 4)(x - 7); \end{cases} $

1. Решим первое неравенство:

$x^2 - 10x + 25 + 50 \ge x^2 - 4x - 3x + 12 + 15$

$x^2 - 10x + 75 \ge x^2 - 7x + 27$

$75 - 27 \ge 10x - 7x$

$48 \ge 3x$

$x \le 16$

2. Решим второе неравенство:

$x^2 - 2x - x + 2 > x^2 - 7x + 4x - 28$

$x^2 - 3x + 2 > x^2 - 3x - 28$

$2 > -28$

Это неравенство верно при любом значении $x$. То есть, $x \in (-\infty; +\infty)$.

3. Найдем пересечение решений:

Пересечением множеств $x \le 16$ и $x \in (-\infty; +\infty)$ является множество $x \le 16$.

Ответ: $(-\infty; 16]$.

д) Решим систему неравенств:

$ \begin{cases} (x + 3)(3 - x) > 11 - (x - 2)^2, \\ \frac{3 + x}{4} - \frac{2x - 1}{6} \ge 1; \end{cases} $

1. Решим первое неравенство:

Применим формулу разности квадратов $(a+b)(a-b) = a^2 - b^2$ слева и формулу квадрата разности справа:

$9 - x^2 > 11 - (x^2 - 4x + 4)$

$9 - x^2 > 11 - x^2 + 4x - 4$

$9 - x^2 > 7 - x^2 + 4x$

$9 > 7 + 4x$

$2 > 4x$

$x < \frac{2}{4}$

$x < \frac{1}{2}$

2. Решим второе неравенство:

$\frac{3 + x}{4} - \frac{2x - 1}{6} \ge 1$

Умножим обе части на наименьший общий знаменатель, равный 12:

$3(3 + x) - 2(2x - 1) \ge 12$

$9 + 3x - 4x + 2 \ge 12$

$11 - x \ge 12$

$-x \ge 1$

$x \le -1$

3. Найдем пересечение решений:

Получили $x < \frac{1}{2}$ и $x \le -1$. Пересечением этих двух условий является $x \le -1$.

Ответ: $(-\infty; -1]$.

е) Решим систему неравенств:

$ \begin{cases} 2x - \frac{x + 1}{3} \le \frac{x + 1}{2}, \\ (x - 3)(x + 5) \le (x - 6)^2 - 51. \end{cases} $

1. Решим первое неравенство:

$2x - \frac{x + 1}{3} \le \frac{x + 1}{2}$

Умножим обе части неравенства на 6:

$6 \cdot 2x - 6 \cdot \frac{x + 1}{3} \le 6 \cdot \frac{x + 1}{2}$

$12x - 2(x + 1) \le 3(x + 1)$

$12x - 2x - 2 \le 3x + 3$

$10x - 2 \le 3x + 3$

$7x \le 5$

$x \le \frac{5}{7}$

2. Решим второе неравенство:

$x^2 + 5x - 3x - 15 \le x^2 - 12x + 36 - 51$

$x^2 + 2x - 15 \le x^2 - 12x - 15$

$2x \le -12x$

$14x \le 0$

$x \le 0$

3. Найдем пересечение решений:

Получили $x \le \frac{5}{7}$ и $x \le 0$. Пересечением этих двух множеств является $x \le 0$.

Ответ: $(-\infty; 0]$.

Помогло решение? Оставьте отзыв в комментариях ниже.

Присоединяйтесь к Телеграм-группе @gdz_by_belarus

Присоединиться

Мы подготовили для вас ответ c подробным объяснением домашего задания по алгебре за 8 класс, для упражнения номер 1.342 расположенного на странице 86 к учебнику 2024 года издания для учащихся школ и гимназий.

Теперь на нашем сайте ГДЗ.ТОП вы всегда легко и бесплатно найдёте условие с правильным ответом на вопрос «Как решить ДЗ» и «Как сделать» задание по алгебре к упражнению №1.342 (с. 86), авторов: Арефьева (Ирина Глебовна), Пирютко (Ольга Николаевна), учебного пособия издательства Адукацыя i выхаванне.