Номер 1.359, страница 89 - гдз по алгебре 8 класс учебник Арефьева, Пирютко

Алгебра, 8 класс Учебник, авторы: Арефьева Ирина Глебовна, Пирютко Ольга Николаевна, издательство Адукацыя i выхаванне, Минск, 2024, бирюзового цвета

Авторы: Арефьева И. Г., Пирютко О. Н.

Тип: Учебник

Издательство: Адукацыя i выхаванне

Год издания: 2024 - 2025

Цвет обложки: бирюзовый с графиком

ISBN: ISBN 978-985-03-4081-8

Допущено Министерством образования Республики Беларусь

Популярные ГДЗ в 8 классе

Глава 1. Квадратные корни и их свойства. Действительные числа. Параграф 6. Системы и совокупности линейных неравенств с одной переменной. Решение двойных неравенств - номер 1.359, страница 89.

№1.359 (с. 89)
Условие. №1.359 (с. 89)
скриншот условия
Алгебра, 8 класс Учебник, авторы: Арефьева Ирина Глебовна, Пирютко Ольга Николаевна, издательство Адукацыя i выхаванне, Минск, 2024, бирюзового цвета, страница 89, номер 1.359, Условие

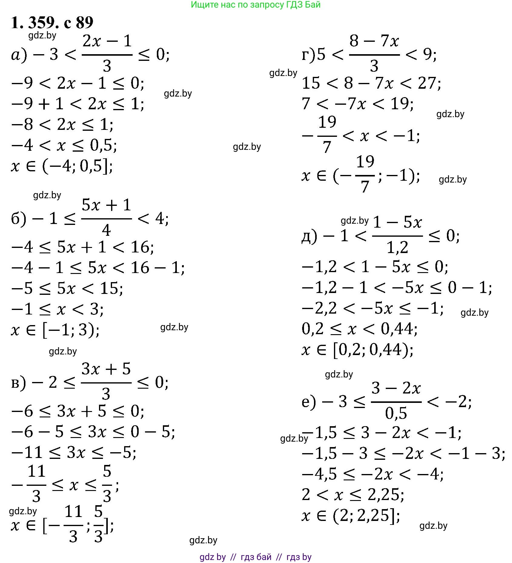
1.359. Решите двойное неравенство:

а) $-3 < \frac{2x-1}{3} \le 0;$

б) $-1 \le \frac{5x+1}{4} < 4;$

в) $-2 \le \frac{3x+5}{3} \le 0;$

г) $5 < \frac{8-7x}{3} < 9;$

д) $-1 < \frac{1-5x}{1,2} \le 0;$

е) $-3 \le \frac{3-2x}{0,5} < -2.$

Решение. №1.359 (с. 89)
Алгебра, 8 класс Учебник, авторы: Арефьева Ирина Глебовна, Пирютко Ольга Николаевна, издательство Адукацыя i выхаванне, Минск, 2024, бирюзового цвета, страница 89, номер 1.359, Решение
Решение 2. №1.359 (с. 89)

а) $-3 < \frac{2x - 1}{3} \le 0$

Чтобы решить двойное неравенство, выполним одинаковые операции со всеми его частями.

1. Умножим все три части неравенства на 3, чтобы избавиться от знаменателя:

$-3 \cdot 3 < \frac{2x - 1}{3} \cdot 3 \le 0 \cdot 3$

$-9 < 2x - 1 \le 0$

2. Прибавим 1 ко всем частям неравенства:

$-9 + 1 < 2x - 1 + 1 \le 0 + 1$

$-8 < 2x \le 1$

3. Разделим все части на 2:

$\frac{-8}{2} < \frac{2x}{2} \le \frac{1}{2}$

$-4 < x \le \frac{1}{2}$

Решением является промежуток $(-4; \frac{1}{2}] $.

Ответ: $-4 < x \le \frac{1}{2}$

б) $-1 \le \frac{5x + 1}{4} < 4$

1. Умножим все части неравенства на 4:

$-1 \cdot 4 \le 5x + 1 < 4 \cdot 4$

$-4 \le 5x + 1 < 16$

2. Вычтем 1 из всех частей:

$-4 - 1 \le 5x < 16 - 1$

$-5 \le 5x < 15$

3. Разделим все части на 5:

$\frac{-5}{5} \le x < \frac{15}{5}$

$-1 \le x < 3$

Решением является промежуток $[-1; 3)$.

Ответ: $-1 \le x < 3$

в) $-2 \le \frac{3x + 5}{3} \le 0$

1. Умножим все части на 3:

$-2 \cdot 3 \le 3x + 5 \le 0 \cdot 3$

$-6 \le 3x + 5 \le 0$

2. Вычтем 5 из всех частей:

$-6 - 5 \le 3x \le 0 - 5$

$-11 \le 3x \le -5$

3. Разделим все части на 3:

$-\frac{11}{3} \le x \le -\frac{5}{3}$

4. Выделим целую часть из неправильных дробей:

$-\frac{11}{3} = -3\frac{2}{3}$

$-\frac{5}{3} = -1\frac{2}{3}$

Таким образом, $-3\frac{2}{3} \le x \le -1\frac{2}{3}$.

Ответ: $-3\frac{2}{3} \le x \le -1\frac{2}{3}$

г) $5 < \frac{8 - 7x}{3} < 9$

1. Умножим все части на 3:

$5 \cdot 3 < 8 - 7x < 9 \cdot 3$

$15 < 8 - 7x < 27$

2. Вычтем 8 из всех частей:

$15 - 8 < -7x < 27 - 8$

$7 < -7x < 19$

3. Разделим все части на -7. При делении на отрицательное число знаки неравенства меняются на противоположные:

$\frac{7}{-7} > x > \frac{19}{-7}$

$-1 > x > -\frac{19}{7}$

4. Запишем неравенство в привычном порядке (от меньшего к большему) и выделим целую часть:

$-\frac{19}{7} = -2\frac{5}{7}$

$-2\frac{5}{7} < x < -1$

Ответ: $-2\frac{5}{7} < x < -1$

д) $-1 < \frac{1 - 5x}{1,2} \le 0$

1. Умножим все части на 1,2:

$-1 \cdot 1,2 < 1 - 5x \le 0 \cdot 1,2$

$-1,2 < 1 - 5x \le 0$

2. Вычтем 1 из всех частей:

$-1,2 - 1 < -5x \le 0 - 1$

$-2,2 < -5x \le -1$

3. Разделим все части на -5, меняя знаки неравенства на противоположные:

$\frac{-2,2}{-5} > x \ge \frac{-1}{-5}$

$0,44 > x \ge 0,2$

4. Запишем неравенство в стандартном виде:

$0,2 \le x < 0,44$

Ответ: $0,2 \le x < 0,44$

е) $-3 \le \frac{3 - 2x}{0,5} < -2$

1. Умножим все части на 0,5:

$-3 \cdot 0,5 \le 3 - 2x < -2 \cdot 0,5$

$-1,5 \le 3 - 2x < -1$

2. Вычтем 3 из всех частей:

$-1,5 - 3 \le -2x < -1 - 3$

$-4,5 \le -2x < -4$

3. Разделим все части на -2, меняя знаки неравенства на противоположные:

$\frac{-4,5}{-2} \ge x > \frac{-4}{-2}$

$2,25 \ge x > 2$

4. Запишем неравенство в стандартном виде и преобразуем десятичную дробь в смешанное число:

$2 < x \le 2,25$

$2,25 = 2\frac{1}{4}$

$2 < x \le 2\frac{1}{4}$

Ответ: $2 < x \le 2\frac{1}{4}$

Помогло решение? Оставьте отзыв в комментариях ниже.

Присоединяйтесь к Телеграм-группе @gdz_by_belarus

Присоединиться

Мы подготовили для вас ответ c подробным объяснением домашего задания по алгебре за 8 класс, для упражнения номер 1.359 расположенного на странице 89 к учебнику 2024 года издания для учащихся школ и гимназий.

Теперь на нашем сайте ГДЗ.ТОП вы всегда легко и бесплатно найдёте условие с правильным ответом на вопрос «Как решить ДЗ» и «Как сделать» задание по алгебре к упражнению №1.359 (с. 89), авторов: Арефьева (Ирина Глебовна), Пирютко (Ольга Николаевна), учебного пособия издательства Адукацыя i выхаванне.