Номер 1.353, страница 88 - гдз по алгебре 8 класс учебник Арефьева, Пирютко

Алгебра, 8 класс Учебник, авторы: Арефьева Ирина Глебовна, Пирютко Ольга Николаевна, издательство Адукацыя i выхаванне, Минск, 2024, бирюзового цвета

Авторы: Арефьева И. Г., Пирютко О. Н.

Тип: Учебник

Издательство: Адукацыя i выхаванне

Год издания: 2024 - 2025

Цвет обложки: бирюзовый с графиком

ISBN: ISBN 978-985-03-4081-8

Допущено Министерством образования Республики Беларусь

Популярные ГДЗ в 8 классе

Глава 1. Квадратные корни и их свойства. Действительные числа. Параграф 6. Системы и совокупности линейных неравенств с одной переменной. Решение двойных неравенств - номер 1.353, страница 88.

№1.353 (с. 88)
Условие. №1.353 (с. 88)
скриншот условия
Алгебра, 8 класс Учебник, авторы: Арефьева Ирина Глебовна, Пирютко Ольга Николаевна, издательство Адукацыя i выхаванне, Минск, 2024, бирюзового цвета, страница 88, номер 1.353, Условие

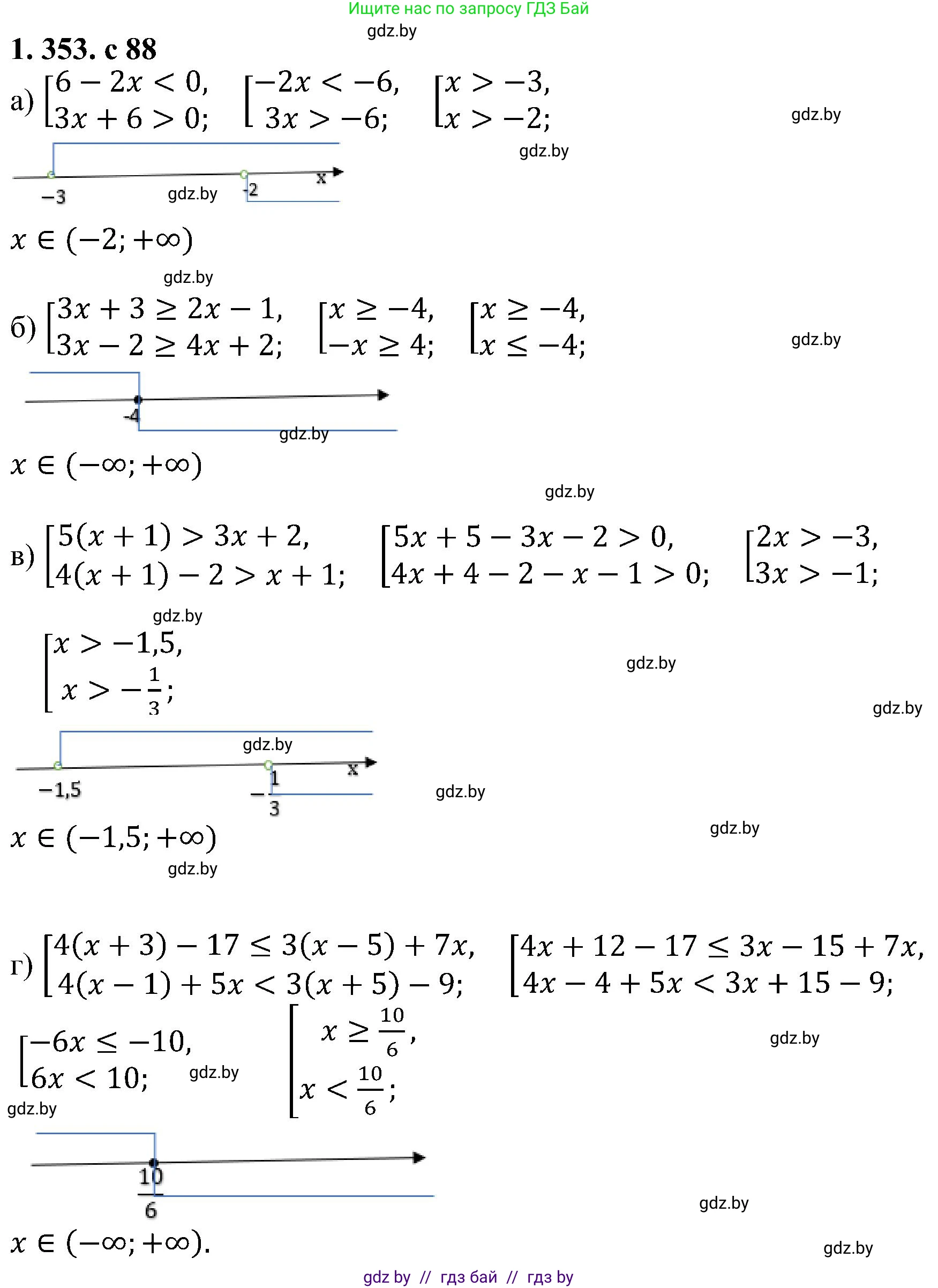
1.353. Решите совокупность неравенств, используя алгоритм:

a) $\begin{cases} 6 - 2x < 0, \\ 3x + 6 > 0; \end{cases}$

б) $\begin{cases} 3x + 3 \ge 2x - 1, \\ 3x - 2 \ge 4x + 2; \end{cases}$

в) $\begin{cases} 5(x + 1) > 3x + 2, \\ 4(x + 1) - 2 > x + 1; \end{cases}$

г) $\begin{cases} 4(x + 3) - 17 \le 3(x - 5) + 7x, \\ 4(x - 1) + 5x < 3(x + 5) - 9. \end{cases}$

Решение. №1.353 (с. 88)
Алгебра, 8 класс Учебник, авторы: Арефьева Ирина Глебовна, Пирютко Ольга Николаевна, издательство Адукацыя i выхаванне, Минск, 2024, бирюзового цвета, страница 88, номер 1.353, Решение
Решение 2. №1.353 (с. 88)

а) Решим совокупность неравенств:

$\begin{cases} 6 - 2x < 0 \\ 3x + 6 > 0 \end{cases}$

Решение совокупности — это объединение решений каждого из неравенств.

1. Решим первое неравенство:

$6 - 2x < 0$

$-2x < -6$

При делении на отрицательное число знак неравенства меняется на противоположный:

$x > 3$

Решение этого неравенства: $x \in (3; +\infty)$.

2. Решим второе неравенство:

$3x + 6 > 0$

$3x > -6$

$x > -2$

Решение этого неравенства: $x \in (-2; +\infty)$.

3. Найдём объединение полученных решений: $(3; +\infty) \cup (-2; +\infty)$.

Поскольку все числа, большие 3, также являются и большими -2, объединением этих двух промежутков будет больший из них, то есть $(-2; +\infty)$.

Ответ: $x > -2$.

б) Решим совокупность неравенств:

$\begin{cases} 3x + 3 \ge 2x - 1 \\ 3x - 2 \ge 4x + 2 \end{cases}$

1. Решим первое неравенство:

$3x + 3 \ge 2x - 1$

$3x - 2x \ge -1 - 3$

$x \ge -4$

Решение этого неравенства: $x \in [-4; +\infty)$.

2. Решим второе неравенство:

$3x - 2 \ge 4x + 2$

$3x - 4x \ge 2 + 2$

$-x \ge 4$

При умножении на -1 знак неравенства меняется на противоположный:

$x \le -4$

Решение этого неравенства: $x \in (-\infty; -4]$.

3. Найдём объединение полученных решений: $[-4; +\infty) \cup (-\infty; -4]$.

Первый промежуток включает все числа, большие или равные -4. Второй — все числа, меньшие или равные -4. Вместе они покрывают всю числовую прямую.

Объединение: $(-\infty; +\infty)$.

Ответ: $x$ - любое число.

в) Решим совокупность неравенств:

$\begin{cases} 5(x + 1) > 3x + 2 \\ 4(x + 1) - 2 > x + 1 \end{cases}$

1. Решим первое неравенство:

$5(x + 1) > 3x + 2$

$5x + 5 > 3x + 2$

$5x - 3x > 2 - 5$

$2x > -3$

$x > -\frac{3}{2}$

Решение этого неравенства: $x \in (-1.5; +\infty)$.

2. Решим второе неравенство:

$4(x + 1) - 2 > x + 1$

$4x + 4 - 2 > x + 1$

$4x + 2 > x + 1$

$3x > -1$

$x > -\frac{1}{3}$

Решение этого неравенства: $x \in (-\frac{1}{3}; +\infty)$.

3. Найдём объединение полученных решений: $(-\frac{3}{2}; +\infty) \cup (-\frac{1}{3}; +\infty)$.

Так как $-\frac{1}{3} > -\frac{3}{2}$, то промежуток $(-\frac{1}{3}; +\infty)$ является частью промежутка $(-\frac{3}{2}; +\infty)$. Их объединением будет больший промежуток.

Объединение: $(-\frac{3}{2}; +\infty)$.

Представим неправильную дробь в виде смешанного числа: $-\frac{3}{2} = -1\frac{1}{2}$.

Ответ: $x > -\textbf{1}\frac{1}{2}$.

г) Решим совокупность неравенств:

$\begin{cases} 4(x + 3) - 17 \le 3(x - 5) + 7x \\ 4(x - 1) + 5x < 3(x + 5) - 9 \end{cases}$

1. Решим первое неравенство:

$4(x + 3) - 17 \le 3(x - 5) + 7x$

$4x + 12 - 17 \le 3x - 15 + 7x$

$4x - 5 \le 10x - 15$

$-5 + 15 \le 10x - 4x$

$10 \le 6x$

$x \ge \frac{10}{6}$

$x \ge \frac{5}{3}$

Решение этого неравенства: $x \in [\frac{5}{3}; +\infty)$.

2. Решим второе неравенство:

$4(x - 1) + 5x < 3(x + 5) - 9$

$4x - 4 + 5x < 3x + 15 - 9$

$9x - 4 < 3x + 6$

$9x - 3x < 6 + 4$

$6x < 10$

$x < \frac{10}{6}$

$x < \frac{5}{3}$

Решение этого неравенства: $x \in (-\infty; \frac{5}{3})$.

3. Найдём объединение полученных решений: $[\frac{5}{3}; +\infty) \cup (-\infty; \frac{5}{3})$.

Первый промежуток включает все числа, большие или равные $\frac{5}{3}$. Второй — все числа, строго меньшие $\frac{5}{3}$. Вместе они покрывают всю числовую прямую.

Объединение: $(-\infty; +\infty)$.

Ответ: $x$ - любое число.

Помогло решение? Оставьте отзыв в комментариях ниже.

Присоединяйтесь к Телеграм-группе @gdz_by_belarus

Присоединиться

Мы подготовили для вас ответ c подробным объяснением домашего задания по алгебре за 8 класс, для упражнения номер 1.353 расположенного на странице 88 к учебнику 2024 года издания для учащихся школ и гимназий.

Теперь на нашем сайте ГДЗ.ТОП вы всегда легко и бесплатно найдёте условие с правильным ответом на вопрос «Как решить ДЗ» и «Как сделать» задание по алгебре к упражнению №1.353 (с. 88), авторов: Арефьева (Ирина Глебовна), Пирютко (Ольга Николаевна), учебного пособия издательства Адукацыя i выхаванне.