Номер 1.354, страница 88 - гдз по алгебре 8 класс учебник Арефьева, Пирютко

Алгебра, 8 класс Учебник, авторы: Арефьева Ирина Глебовна, Пирютко Ольга Николаевна, издательство Адукацыя i выхаванне, Минск, 2024, бирюзового цвета

Авторы: Арефьева И. Г., Пирютко О. Н.

Тип: Учебник

Издательство: Адукацыя i выхаванне

Год издания: 2024 - 2025

Цвет обложки: бирюзовый с графиком

ISBN: ISBN 978-985-03-4081-8

Допущено Министерством образования Республики Беларусь

Популярные ГДЗ в 8 классе

Глава 1. Квадратные корни и их свойства. Действительные числа. Параграф 6. Системы и совокупности линейных неравенств с одной переменной. Решение двойных неравенств - номер 1.354, страница 88.

№1.354 (с. 88)
Условие. №1.354 (с. 88)
скриншот условия
Алгебра, 8 класс Учебник, авторы: Арефьева Ирина Глебовна, Пирютко Ольга Николаевна, издательство Адукацыя i выхаванне, Минск, 2024, бирюзового цвета, страница 88, номер 1.354, Условие

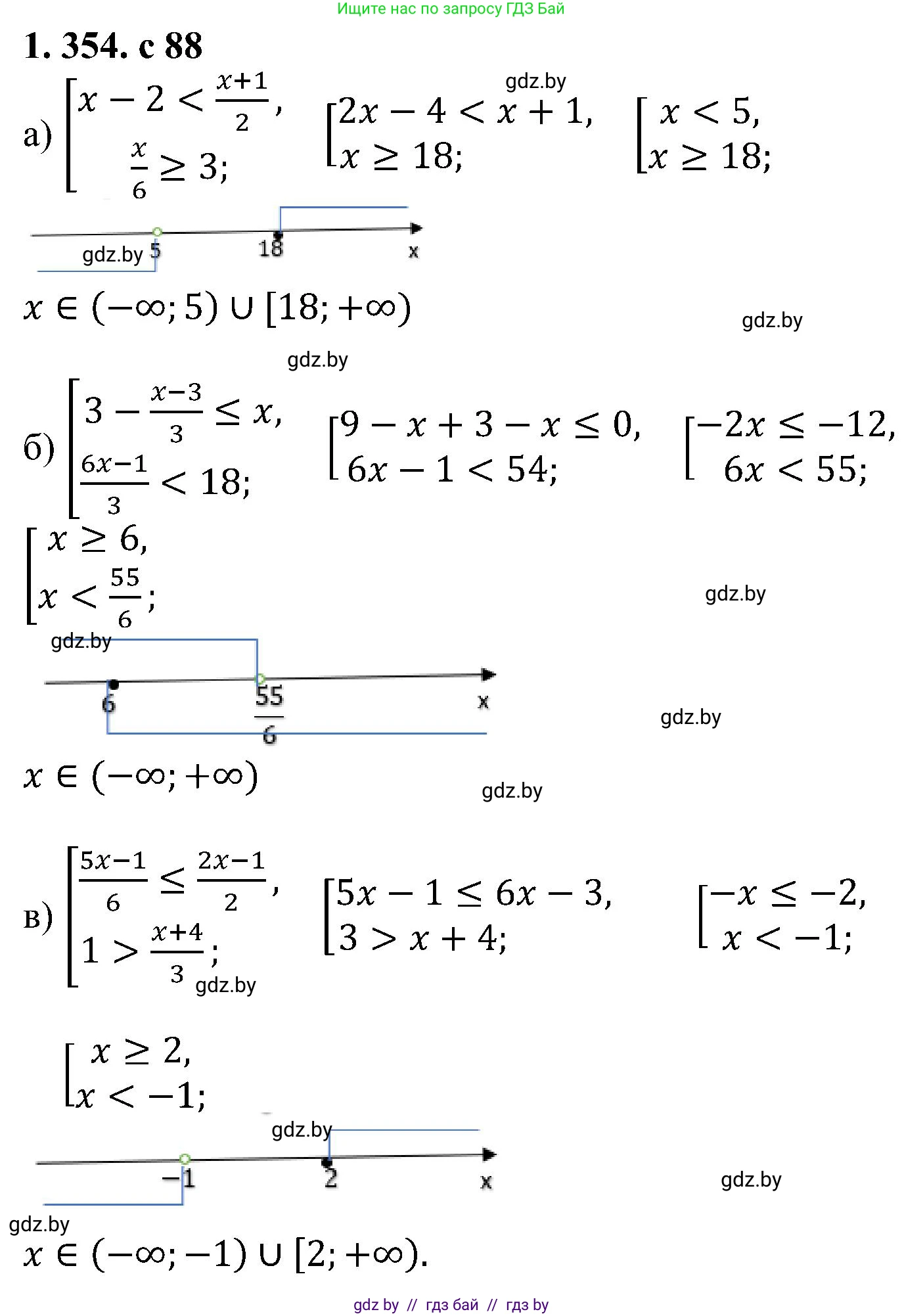
1.354. Решите совокупность неравенств:

а) $$\\begin{cases} x - 2 < \frac{x+1}{2}, \\ \frac{x}{6} \ge 3; \\end{cases}$$

б) $$\\begin{cases} 3 - \frac{x-3}{3} \le x, \\ \frac{6x-1}{3} < 18; \\end{cases}$$

в) $$\\begin{cases} \frac{5x-1}{6} \le \frac{2x-1}{2}, \\ 1 > \frac{x+4}{3}. \\end{cases}$$

Решение. №1.354 (с. 88)
Алгебра, 8 класс Учебник, авторы: Арефьева Ирина Глебовна, Пирютко Ольга Николаевна, издательство Адукацыя i выхаванне, Минск, 2024, бирюзового цвета, страница 88, номер 1.354, Решение
Решение 2. №1.354 (с. 88)

a) Решим первое неравенство совокупности:

$\begin{aligned} x - 2 &< \frac{x+1}{2} \\ 2(x - 2) &< x + 1 \\ 2x - 4 &< x + 1 \\ 2x - x &< 1 + 4 \\ x &< 5 \end{aligned}$

Решим второе неравенство совокупности:

$\begin{aligned} \frac{x}{6} &\ge 3 \\ x &\ge 18 \end{aligned}$

Решением совокупности является объединение решений этих неравенств: $x < 5$ или $x \ge 18$.

Ответ: $(-\infty, 5) \cup [18, +\infty)$.

б) Решим первое неравенство совокупности:

$\begin{aligned} 3 - \frac{x-3}{3} &\le x \\ 9 - (x-3) &\le 3x \\ 9 - x + 3 &\le 3x \\ 12 &\le 4x \\ 3 &\le x \end{aligned}$

Решим второе неравенство совокупности:

$\begin{aligned} \frac{6x-1}{3} &< 18 \\ 6x - 1 &< 54 \\ 6x &< 55 \\ x &< \frac{55}{6} \end{aligned}$

Преобразуем неправильную дробь в смешанное число: $\frac{55}{6} = 9\frac{1}{6}$. Таким образом, $x <$ 9$\frac{1}{6}$.

Объединяя решения $x \ge 3$ и $x <$ 9$\frac{1}{6}$, мы видим, что решение совокупности покрывает всю числовую прямую.

Ответ: $(-\infty, +\infty)$.

в) Решим первое неравенство совокупности:

$\begin{aligned} \frac{5x-1}{6} &\le \frac{2x-1}{2} \\ 5x - 1 &\le 3(2x-1) \\ 5x - 1 &\le 6x - 3 \\ 3 - 1 &\le 6x - 5x \\ 2 &\le x \end{aligned}$

Решим второе неравенство совокупности:

$\begin{aligned} 1 &> \frac{x+4}{3} \\ 3 &> x+4 \\ 3-4 &> x \\ -1 &> x \end{aligned}$

Решением совокупности является объединение решений $x \ge 2$ и $x < -1$.

Ответ: $(-\infty, -1) \cup [2, +\infty)$.

Помогло решение? Оставьте отзыв в комментариях ниже.

Присоединяйтесь к Телеграм-группе @gdz_by_belarus

Присоединиться

Мы подготовили для вас ответ c подробным объяснением домашего задания по алгебре за 8 класс, для упражнения номер 1.354 расположенного на странице 88 к учебнику 2024 года издания для учащихся школ и гимназий.

Теперь на нашем сайте ГДЗ.ТОП вы всегда легко и бесплатно найдёте условие с правильным ответом на вопрос «Как решить ДЗ» и «Как сделать» задание по алгебре к упражнению №1.354 (с. 88), авторов: Арефьева (Ирина Глебовна), Пирютко (Ольга Николаевна), учебного пособия издательства Адукацыя i выхаванне.