Номер 3.151, страница 197 - гдз по алгебре 8 класс учебник Арефьева, Пирютко

Алгебра, 8 класс Учебник, авторы: Арефьева Ирина Глебовна, Пирютко Ольга Николаевна, издательство Адукацыя i выхаванне, Минск, 2024, бирюзового цвета

Авторы: Арефьева И. Г., Пирютко О. Н.

Тип: Учебник

Издательство: Адукацыя i выхаванне

Год издания: 2024 - 2025

Цвет обложки: бирюзовый с графиком

ISBN: ISBN 978-985-03-4081-8

Допущено Министерством образования Республики Беларусь

Популярные ГДЗ в 8 классе

Глава 3. Квадратичная функция. Параграф 15. Квадратные неравенства - номер 3.151, страница 197.

№3.151 (с. 197)
Условие. №3.151 (с. 197)
скриншот условия
Алгебра, 8 класс Учебник, авторы: Арефьева Ирина Глебовна, Пирютко Ольга Николаевна, издательство Адукацыя i выхаванне, Минск, 2024, бирюзового цвета, страница 197, номер 3.151, Условие

3.151. Решите неравенство:

а) $x^2 - 2x - 5 < 0;$

б) $-6x^2 \le x - 3;$

в) $2x^2 - 3 > 4x;$

г) $8x + 3 \ge x^2.$

Решение. №3.151 (с. 197)
Алгебра, 8 класс Учебник, авторы: Арефьева Ирина Глебовна, Пирютко Ольга Николаевна, издательство Адукацыя i выхаванне, Минск, 2024, бирюзового цвета, страница 197, номер 3.151, Решение Алгебра, 8 класс Учебник, авторы: Арефьева Ирина Глебовна, Пирютко Ольга Николаевна, издательство Адукацыя i выхаванне, Минск, 2024, бирюзового цвета, страница 197, номер 3.151, Решение (продолжение 2)
Решение 2. №3.151 (с. 197)

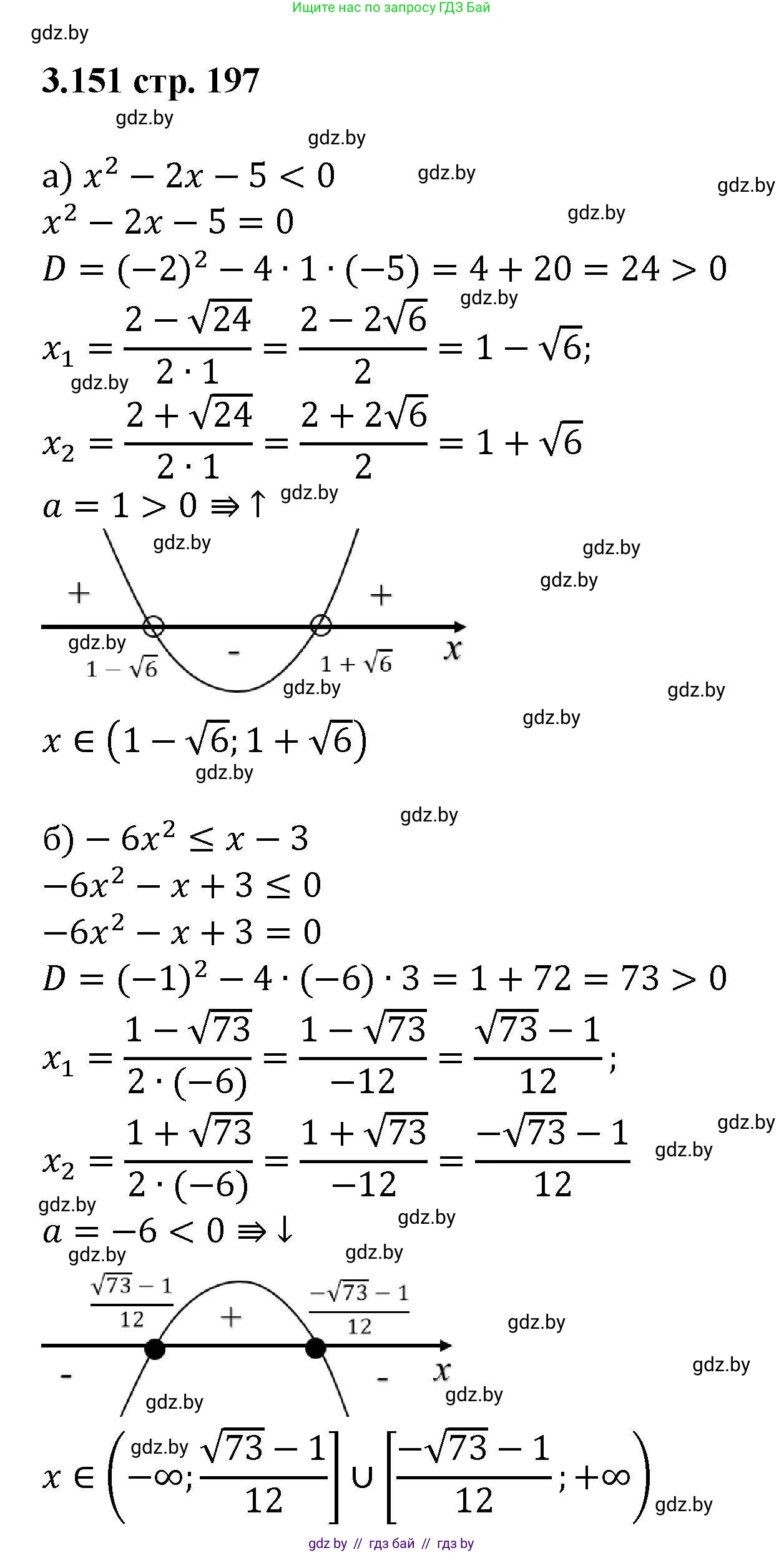
а) $x^2-2x-5 < 0$

Для решения квадратного неравенства сначала найдем корни соответствующего квадратного уравнения $x^2-2x-5 = 0$.

Это уравнение вида $ax^2+bx+c=0$, где $a=1$, $b=-2$, $c=-5$.

Вычислим дискриминант $D = b^2 - 4ac$:

$D = (-2)^2 - 4 \cdot 1 \cdot (-5) = 4 + 20 = 24$.

Так как $D > 0$, уравнение имеет два действительных корня.

Найдем корни по формуле $x_{1,2} = \frac{-b \pm \sqrt{D}}{2a}$:

$x_{1,2} = \frac{-(-2) \pm \sqrt{24}}{2 \cdot 1} = \frac{2 \pm \sqrt{4 \cdot 6}}{2} = \frac{2 \pm 2\sqrt{6}}{2} = 1 \pm \sqrt{6}$.

Корни уравнения: $x_1 = 1 - \sqrt{6}$ и $x_2 = 1 + \sqrt{6}$.

Графиком функции $y = x^2-2x-5$ является парабола, ветви которой направлены вверх (так как $a=1 > 0$). Неравенство $x^2-2x-5 < 0$ выполняется на интервале, где парабола находится ниже оси Ox, то есть между корнями.

Ответ: $x \in (1 - \sqrt{6}; 1 + \sqrt{6})$.

б) $-6x^2 \le x-3$

Перенесем все члены в одну часть, чтобы получить стандартный вид квадратного неравенства:

$0 \le 6x^2 + x - 3$, что эквивалентно $6x^2 + x - 3 \ge 0$.

Найдем корни уравнения $6x^2 + x - 3 = 0$.

Здесь $a=6$, $b=1$, $c=-3$.

Дискриминант $D = b^2 - 4ac = 1^2 - 4 \cdot 6 \cdot (-3) = 1 + 72 = 73$.

Корни уравнения: $x_{1,2} = \frac{-1 \pm \sqrt{73}}{2 \cdot 6} = \frac{-1 \pm \sqrt{73}}{12}$.

Корни: $x_1 = \frac{-1 - \sqrt{73}}{12}$ и $x_2 = \frac{-1 + \sqrt{73}}{12}$.

Парабола $y = 6x^2 + x - 3$ имеет ветви, направленные вверх ($a=6 > 0$). Неравенство $6x^2 + x - 3 \ge 0$ выполняется там, где парабола находится на оси Ox или выше нее. Это происходит на двух промежутках: левее меньшего корня и правее большего корня, включая сами корни.

Ответ: $x \in (-\infty; \frac{-1 - \sqrt{73}}{12}] \cup [\frac{-1 + \sqrt{73}}{12}; +\infty)$.

в) $2x^2-3 > 4x$

Приведем неравенство к стандартному виду:

$2x^2 - 4x - 3 > 0$.

Найдем корни уравнения $2x^2 - 4x - 3 = 0$.

Здесь $a=2$, $b=-4$, $c=-3$.

Дискриминант $D = b^2 - 4ac = (-4)^2 - 4 \cdot 2 \cdot (-3) = 16 + 24 = 40$.

Корни уравнения: $x_{1,2} = \frac{-(-4) \pm \sqrt{40}}{2 \cdot 2} = \frac{4 \pm \sqrt{4 \cdot 10}}{4} = \frac{4 \pm 2\sqrt{10}}{4} = \frac{2 \pm \sqrt{10}}{2}$.

Корни: $x_1 = \frac{2 - \sqrt{10}}{2}$ и $x_2 = \frac{2 + \sqrt{10}}{2}$.

Парабола $y = 2x^2 - 4x - 3$ имеет ветви, направленные вверх ($a=2 > 0$). Неравенство $2x^2 - 4x - 3 > 0$ выполняется там, где парабола находится выше оси Ox. Это происходит левее меньшего корня и правее большего корня.

Ответ: $x \in (-\infty; \frac{2 - \sqrt{10}}{2}) \cup (\frac{2 + \sqrt{10}}{2}; +\infty)$.

г) $8x+3 \ge x^2$

Перенесем все члены в одну часть:

$0 \ge x^2 - 8x - 3$, что равносильно $x^2 - 8x - 3 \le 0$.

Найдем корни уравнения $x^2 - 8x - 3 = 0$.

Здесь $a=1$, $b=-8$, $c=-3$.

Дискриминант $D = b^2 - 4ac = (-8)^2 - 4 \cdot 1 \cdot (-3) = 64 + 12 = 76$.

Корни уравнения: $x_{1,2} = \frac{-(-8) \pm \sqrt{76}}{2 \cdot 1} = \frac{8 \pm \sqrt{4 \cdot 19}}{2} = \frac{8 \pm 2\sqrt{19}}{2} = 4 \pm \sqrt{19}$.

Корни: $x_1 = 4 - \sqrt{19}$ и $x_2 = 4 + \sqrt{19}$.

Парабола $y = x^2 - 8x - 3$ имеет ветви, направленные вверх ($a=1 > 0$). Неравенство $x^2 - 8x - 3 \le 0$ выполняется там, где парабола находится на оси Ox или ниже нее, то есть между корнями, включая сами корни.

Ответ: $x \in [4 - \sqrt{19}; 4 + \sqrt{19}]$.

Помогло решение? Оставьте отзыв в комментариях ниже.

Присоединяйтесь к Телеграм-группе @gdz_by_belarus

Присоединиться

Мы подготовили для вас ответ c подробным объяснением домашего задания по алгебре за 8 класс, для упражнения номер 3.151 расположенного на странице 197 к учебнику 2024 года издания для учащихся школ и гимназий.

Теперь на нашем сайте ГДЗ.ТОП вы всегда легко и бесплатно найдёте условие с правильным ответом на вопрос «Как решить ДЗ» и «Как сделать» задание по алгебре к упражнению №3.151 (с. 197), авторов: Арефьева (Ирина Глебовна), Пирютко (Ольга Николаевна), учебного пособия издательства Адукацыя i выхаванне.