Номер 3.158, страница 198 - гдз по алгебре 8 класс учебник Арефьева, Пирютко

Алгебра, 8 класс Учебник, авторы: Арефьева Ирина Глебовна, Пирютко Ольга Николаевна, издательство Адукацыя i выхаванне, Минск, 2024, бирюзового цвета

Авторы: Арефьева И. Г., Пирютко О. Н.

Тип: Учебник

Издательство: Адукацыя i выхаванне

Год издания: 2024 - 2025

Цвет обложки: бирюзовый с графиком

ISBN: ISBN 978-985-03-4081-8

Допущено Министерством образования Республики Беларусь

Популярные ГДЗ в 8 классе

Глава 3. Квадратичная функция. Параграф 15. Квадратные неравенства - номер 3.158, страница 198.

№3.158 (с. 198)
Условие. №3.158 (с. 198)
скриншот условия
Алгебра, 8 класс Учебник, авторы: Арефьева Ирина Глебовна, Пирютко Ольга Николаевна, издательство Адукацыя i выхаванне, Минск, 2024, бирюзового цвета, страница 198, номер 3.158, Условие

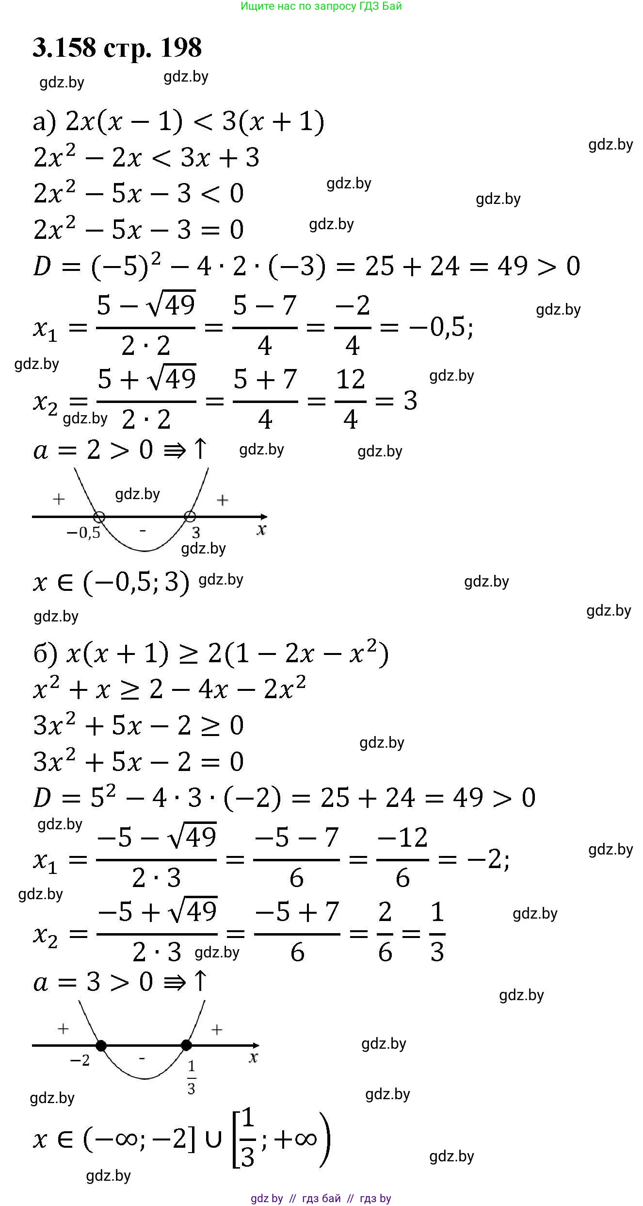
3.158. Выполните необходимые тождественные преобразования и решите неравенство:

a) $2x(x - 1) < 3(x + 1)$;

б) $x(x + 1) \ge 2(1 - 2x - x^2)$;

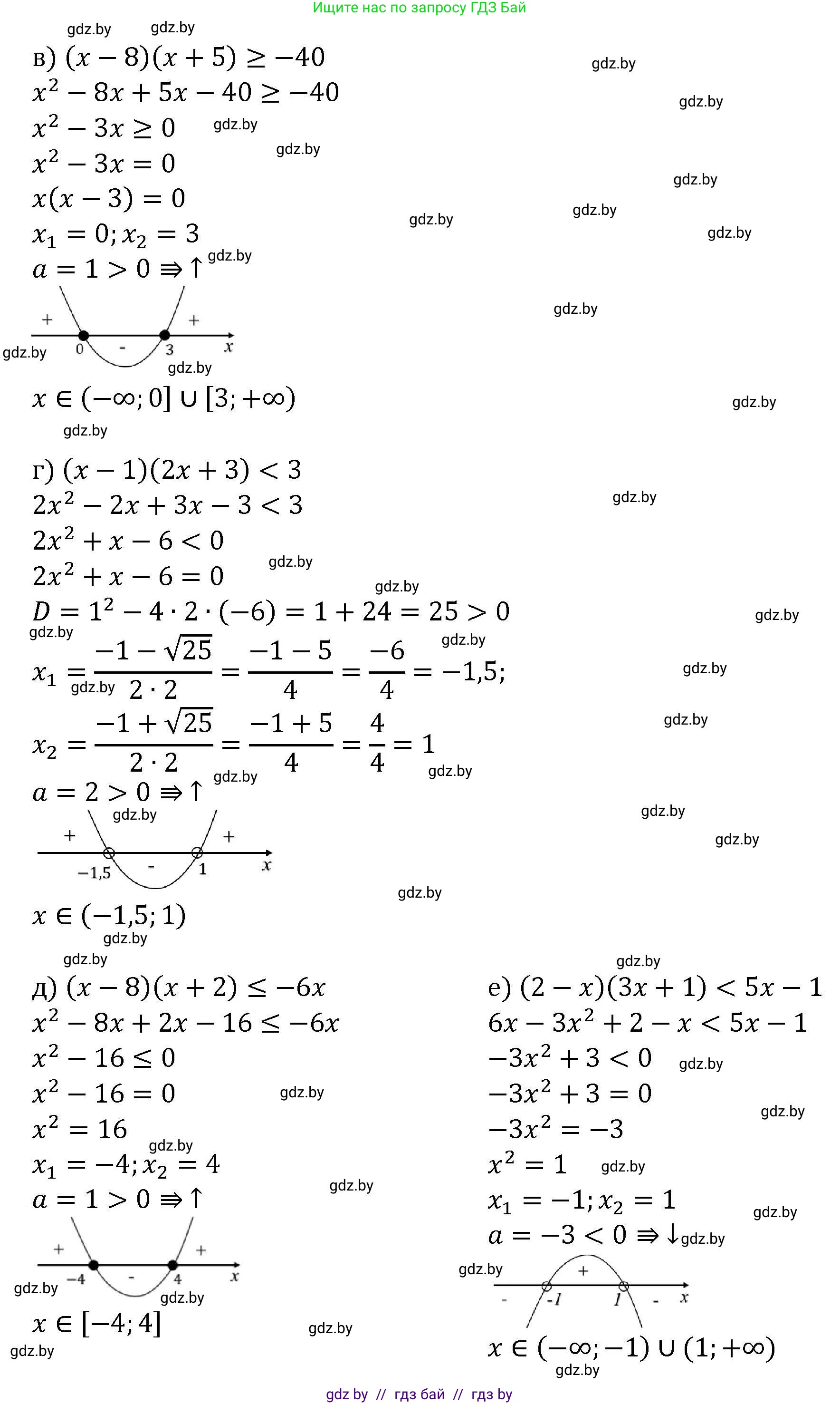
в) $(x - 8)(x + 5) \ge -40$;

г) $(x - 1)(2x + 3) < 3$;

д) $(x - 8)(x + 2) \le -6x$;

е) $(2 - x)(3x + 1) < 5x - 1$.

Решение. №3.158 (с. 198)
Алгебра, 8 класс Учебник, авторы: Арефьева Ирина Глебовна, Пирютко Ольга Николаевна, издательство Адукацыя i выхаванне, Минск, 2024, бирюзового цвета, страница 198, номер 3.158, Решение Алгебра, 8 класс Учебник, авторы: Арефьева Ирина Глебовна, Пирютко Ольга Николаевна, издательство Адукацыя i выхаванне, Минск, 2024, бирюзового цвета, страница 198, номер 3.158, Решение (продолжение 2)
Решение 2. №3.158 (с. 198)

а) Исходное неравенство: $2x(x - 1) < 3(x + 1)$

Выполним тождественные преобразования. Сначала раскроем скобки в обеих частях неравенства:

$2x^2 - 2x < 3x + 3$

Перенесем все слагаемые в левую часть, чтобы получить квадратное неравенство вида $ax^2+bx+c < 0$:

$2x^2 - 2x - 3x - 3 < 0$

$2x^2 - 5x - 3 < 0$

Для решения этого неравенства найдем корни соответствующего квадратного уравнения $2x^2 - 5x - 3 = 0$.

Вычислим дискриминант: $D = b^2 - 4ac = (-5)^2 - 4 \cdot 2 \cdot (-3) = 25 + 24 = 49 = 7^2$.

Корни уравнения равны:

$x_1 = \frac{-b - \sqrt{D}}{2a} = \frac{5 - 7}{4} = \frac{-2}{4} = -\frac{1}{2}$

$x_2 = \frac{-b + \sqrt{D}}{2a} = \frac{5 + 7}{4} = \frac{12}{4} = 3$

Графиком функции $y = 2x^2 - 5x - 3$ является парабола, ветви которой направлены вверх ($a=2 > 0$). Значения функции меньше нуля на интервале между корнями.

Ответ: $x \in (-\frac{1}{2}, 3)$.

б) Исходное неравенство: $x(x + 1) \geq 2(1 - 2x - x^2)$

Раскроем скобки:

$x^2 + x \geq 2 - 4x - 2x^2$

Перенесем все слагаемые в левую часть:

$x^2 + x - 2 + 4x + 2x^2 \geq 0$

$3x^2 + 5x - 2 \geq 0$

Решим уравнение $3x^2 + 5x - 2 = 0$ для нахождения корней.

Дискриминант: $D = 5^2 - 4 \cdot 3 \cdot (-2) = 25 + 24 = 49 = 7^2$.

Корни уравнения:

$x_1 = \frac{-5 - 7}{2 \cdot 3} = \frac{-12}{6} = -2$

$x_2 = \frac{-5 + 7}{2 \cdot 3} = \frac{2}{6} = \frac{1}{3}$

Графиком является парабола с ветвями вверх ($a=3 > 0$). Неравенство $\geq 0$ выполняется при значениях $x$ не между корнями (включая сами корни).

Ответ: $x \in (-\infty, -2] \cup [\frac{1}{3}, \infty)$.

в) Исходное неравенство: $(x - 8)(x + 5) \geq -40$

Раскроем скобки в левой части:

$x^2 + 5x - 8x - 40 \geq -40$

$x^2 - 3x - 40 \geq -40$

Перенесем -40 в левую часть:

$x^2 - 3x \geq 0$

Разложим левую часть на множители:

$x(x - 3) \geq 0$

Корни уравнения $x(x - 3) = 0$ это $x_1 = 0$ и $x_2 = 3$.

Парабола $y=x^2-3x$ имеет ветви вверх ($a=1 > 0$). Неравенство $\geq 0$ выполняется вне интервала между корнями (включая корни).

Ответ: $x \in (-\infty, 0] \cup [3, \infty)$.

г) Исходное неравенство: $(x - 1)(2x + 3) < 3$

Раскроем скобки:

$2x^2 + 3x - 2x - 3 < 3$

$2x^2 + x - 3 < 3$

Перенесем все в левую часть:

$2x^2 + x - 6 < 0$

Решим уравнение $2x^2 + x - 6 = 0$.

Дискриминант: $D = 1^2 - 4 \cdot 2 \cdot (-6) = 1 + 48 = 49 = 7^2$.

Корни уравнения:

$x_1 = \frac{-1 - 7}{2 \cdot 2} = \frac{-8}{4} = -2$

$x_2 = \frac{-1 + 7}{2 \cdot 2} = \frac{6}{4} = \frac{3}{2}$

Парабола $y=2x^2+x-6$ имеет ветви вверх ($a=2 > 0$). Неравенство $< 0$ выполняется на интервале между корнями.

Выделим целую часть из неправильной дроби: $\frac{3}{2} = 1\frac{1}{2}$.

Ответ: $x \in (-2, 1\frac{1}{2})$.

д) Исходное неравенство: $(x - 8)(x + 2) \leq -6x$

Раскроем скобки:

$x^2 + 2x - 8x - 16 \leq -6x$

$x^2 - 6x - 16 \leq -6x$

Перенесем $-6x$ в левую часть:

$x^2 - 16 \leq 0$

Разложим на множители, используя формулу разности квадратов:

$(x - 4)(x + 4) \leq 0$

Корни уравнения $(x-4)(x+4)=0$ это $x_1 = -4$ и $x_2 = 4$.

Парабола $y=x^2-16$ имеет ветви вверх ($a=1 > 0$). Неравенство $\leq 0$ выполняется на отрезке между корнями (включая корни).

Ответ: $x \in [-4, 4]$.

е) Исходное неравенство: $(2 - x)(3x + 1) < 5x - 1$

Раскроем скобки:

$6x + 2 - 3x^2 - x < 5x - 1$

$-3x^2 + 5x + 2 < 5x - 1$

Перенесем все слагаемые в левую часть:

$-3x^2 + 5x + 2 - 5x + 1 < 0$

$-3x^2 + 3 < 0$

Разделим обе части неравенства на -3 и сменим знак неравенства на противоположный:

$x^2 - 1 > 0$

Разложим на множители:

$(x - 1)(x + 1) > 0$

Корни уравнения $(x-1)(x+1)=0$ это $x_1 = -1$ и $x_2 = 1$.

Парабола $y=x^2-1$ имеет ветви вверх ($a=1 > 0$). Неравенство $> 0$ выполняется вне интервала между корнями.

Ответ: $x \in (-\infty, -1) \cup (1, \infty)$.

Помогло решение? Оставьте отзыв в комментариях ниже.

Присоединяйтесь к Телеграм-группе @gdz_by_belarus

Присоединиться

Мы подготовили для вас ответ c подробным объяснением домашего задания по алгебре за 8 класс, для упражнения номер 3.158 расположенного на странице 198 к учебнику 2024 года издания для учащихся школ и гимназий.

Теперь на нашем сайте ГДЗ.ТОП вы всегда легко и бесплатно найдёте условие с правильным ответом на вопрос «Как решить ДЗ» и «Как сделать» задание по алгебре к упражнению №3.158 (с. 198), авторов: Арефьева (Ирина Глебовна), Пирютко (Ольга Николаевна), учебного пособия издательства Адукацыя i выхаванне.