Номер 3.156, страница 197 - гдз по алгебре 8 класс учебник Арефьева, Пирютко

Алгебра, 8 класс Учебник, авторы: Арефьева Ирина Глебовна, Пирютко Ольга Николаевна, издательство Адукацыя i выхаванне, Минск, 2024, бирюзового цвета

Авторы: Арефьева И. Г., Пирютко О. Н.

Тип: Учебник

Издательство: Адукацыя i выхаванне

Год издания: 2024 - 2025

Цвет обложки: бирюзовый с графиком

ISBN: ISBN 978-985-03-4081-8

Допущено Министерством образования Республики Беларусь

Популярные ГДЗ в 8 классе

Глава 3. Квадратичная функция. Параграф 15. Квадратные неравенства - номер 3.156, страница 197.

№3.156 (с. 197)
Условие. №3.156 (с. 197)
скриншот условия
Алгебра, 8 класс Учебник, авторы: Арефьева Ирина Глебовна, Пирютко Ольга Николаевна, издательство Адукацыя i выхаванне, Минск, 2024, бирюзового цвета, страница 197, номер 3.156, Условие

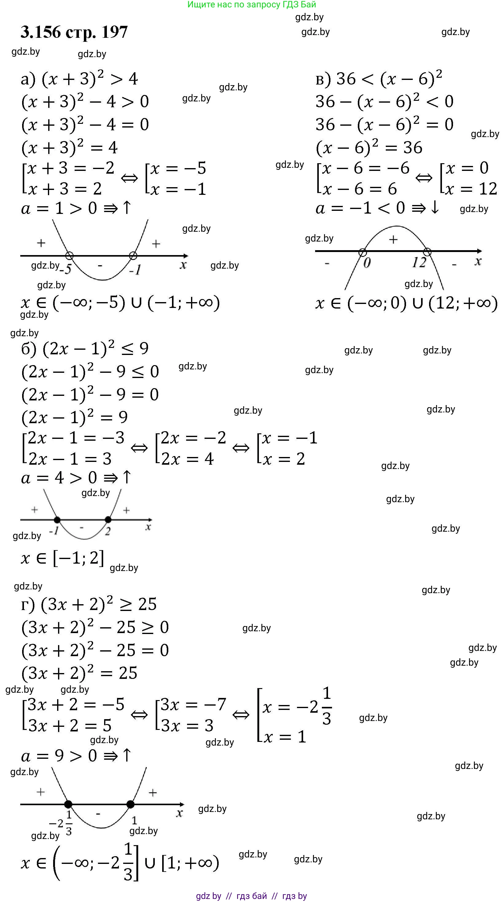
3.156. Решите неравенство:

а) $(x + 3)^2 > 4;$

б) $(2x - 1)^2 \le 9;$

в) $36 < (x - 6)^2;$

г) $(3x + 2)^2 \ge 25.$

Решение. №3.156 (с. 197)
Алгебра, 8 класс Учебник, авторы: Арефьева Ирина Глебовна, Пирютко Ольга Николаевна, издательство Адукацыя i выхаванне, Минск, 2024, бирюзового цвета, страница 197, номер 3.156, Решение
Решение 2. №3.156 (с. 197)

а) Исходное неравенство $(x + 3)^2 > 4$.
Это неравенство равносильно $|x+3| > 2$. Оно распадается на совокупность двух неравенств:
1) $x + 3 > 2$
$x > 2 - 3$
$x > -1$

2) $x + 3 < -2$
$x < -2 - 3$
$x < -5$

Объединяя полученные решения, получаем: $x \in (-\infty; -5) \cup (-1; +\infty)$.
Ответ: $x \in (-\infty; -5) \cup (-1; +\infty)$.

б) Исходное неравенство $(2x - 1)^2 \le 9$.
Это неравенство равносильно $|2x-1| \le 3$. Его можно записать в виде двойного неравенства:
$-3 \le 2x - 1 \le 3$
Прибавим 1 ко всем частям неравенства:
$-3 + 1 \le 2x \le 3 + 1$
$-2 \le 2x \le 4$
Разделим все части неравенства на 2:
$-1 \le x \le 2$
Решение в виде интервала: $x \in [-1; 2]$.
Ответ: $x \in [-1; 2]$.

в) Исходное неравенство $36 < (x - 6)^2$, что эквивалентно $(x - 6)^2 > 36$.
Это неравенство равносильно $|x-6| > 6$. Оно распадается на совокупность двух неравенств:
1) $x - 6 > 6$
$x > 6 + 6$
$x > 12$

2) $x - 6 < -6$
$x < -6 + 6$
$x < 0$

Объединяя полученные решения, получаем: $x \in (-\infty; 0) \cup (12; +\infty)$.
Ответ: $x \in (-\infty; 0) \cup (12; +\infty)$.

г) Исходное неравенство $(3x + 2)^2 \ge 25$.
Это неравенство равносильно $|3x+2| \ge 5$. Оно распадается на совокупность двух неравенств:
1) $3x + 2 \ge 5$
$3x \ge 5 - 2$
$3x \ge 3$
$x \ge 1$

2) $3x + 2 \le -5$
$3x \le -5 - 2$
$3x \le -7$
$x \le -\frac{7}{3}$

Преобразуем неправильную дробь $-\frac{7}{3}$ в смешанное число, выделив целую часть: $-\frac{7}{3} = -2\frac{1}{3}$.
Объединяя полученные решения, получаем: $x \in (-\infty; -2\frac{1}{3}] \cup [1; +\infty)$.
Ответ: $x \in (-\infty; -\mathbf{2}\frac{1}{3}] \cup [1; +\infty)$.

Помогло решение? Оставьте отзыв в комментариях ниже.

Присоединяйтесь к Телеграм-группе @gdz_by_belarus

Присоединиться

Мы подготовили для вас ответ c подробным объяснением домашего задания по алгебре за 8 класс, для упражнения номер 3.156 расположенного на странице 197 к учебнику 2024 года издания для учащихся школ и гимназий.

Теперь на нашем сайте ГДЗ.ТОП вы всегда легко и бесплатно найдёте условие с правильным ответом на вопрос «Как решить ДЗ» и «Как сделать» задание по алгебре к упражнению №3.156 (с. 197), авторов: Арефьева (Ирина Глебовна), Пирютко (Ольга Николаевна), учебного пособия издательства Адукацыя i выхаванне.