Номер 3.21, страница 167 - гдз по алгебре 8 класс учебник Арефьева, Пирютко

Алгебра, 8 класс Учебник, авторы: Арефьева Ирина Глебовна, Пирютко Ольга Николаевна, издательство Адукацыя i выхаванне, Минск, 2024, бирюзового цвета

Авторы: Арефьева И. Г., Пирютко О. Н.

Тип: Учебник

Издательство: Адукацыя i выхаванне

Год издания: 2024 - 2025

Цвет обложки: бирюзовый с графиком

ISBN: ISBN 978-985-03-4081-8

Допущено Министерством образования Республики Беларусь

Популярные ГДЗ в 8 классе

Глава 3. Квадратичная функция. Параграф 13. Квадратичная функция и ее свойства - номер 3.21, страница 167.

№3.21 (с. 167)
Условие. №3.21 (с. 167)
скриншот условия
Алгебра, 8 класс Учебник, авторы: Арефьева Ирина Глебовна, Пирютко Ольга Николаевна, издательство Адукацыя i выхаванне, Минск, 2024, бирюзового цвета, страница 167, номер 3.21, Условие

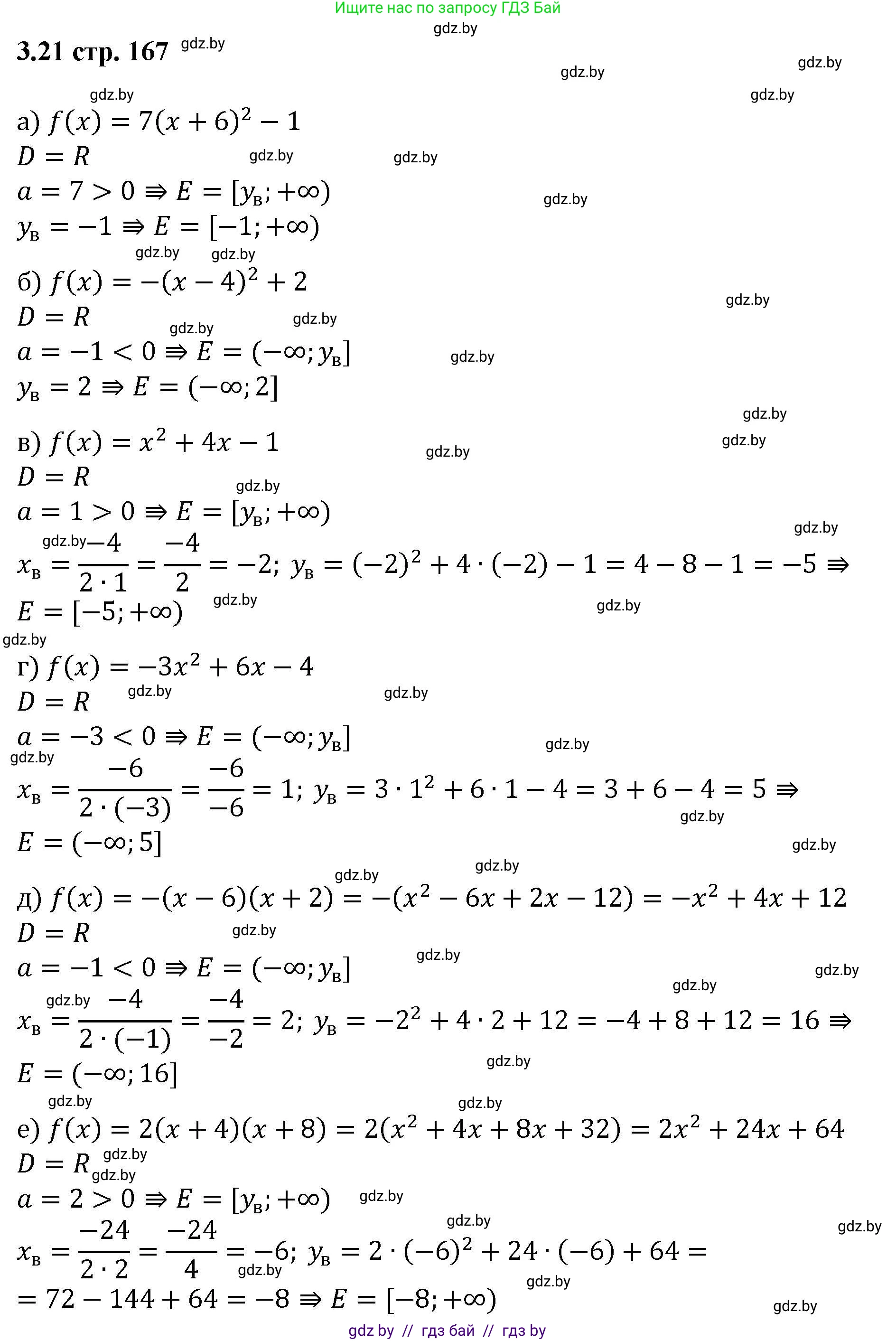
3.21. Найдите область определения и множество значений функции:

а): $f(x) = 7(x + 6)^2 - 1;$

б): $f(x) = -(x - 4)^2 + 2;$

в): $f(x) = x^2 + 4x - 1;$

г): $f(x) = -3x^2 + 6x - 4;$

д): $f(x) = -(x - 6)(x + 2);$

е): $f(x) = 2(x + 4)(x + 8).$

Решение. №3.21 (с. 167)
Алгебра, 8 класс Учебник, авторы: Арефьева Ирина Глебовна, Пирютко Ольга Николаевна, издательство Адукацыя i выхаванне, Минск, 2024, бирюзового цвета, страница 167, номер 3.21, Решение
Решение 2. №3.21 (с. 167)

а) $f(x) = 7(x + 6)^2 - 1$

Область определения ($D(f)$): Так как функция является квадратичной (многочлен), она определена для всех действительных чисел.

Множество значений ($E(f)$): Функция представлена в каноническом виде $f(x) = a(x-x_v)^2 + y_v$. Вершина параболы находится в точке с координатами $(x_v, y_v) = (-6, -1)$. Поскольку коэффициент $a=7 > 0$, ветви параболы направлены вверх, и функция имеет минимальное значение в вершине. Минимальное значение равно $y_v = -1$.

Ответ: Область определения: $(-\infty; +\infty)$; множество значений: $[-1; +\infty)$.

б) $f(x) = -(x - 4)^2 + 2$

Область определения ($D(f)$): Функция является квадратичной и определена для всех действительных чисел.

Множество значений ($E(f)$): Функция представлена в каноническом виде. Вершина параболы находится в точке $(4, 2)$. Коэффициент $a=-1 < 0$, поэтому ветви параболы направлены вниз. Максимальное значение функции равно ординате вершины, то есть $y_v = 2$.

Ответ: Область определения: $(-\infty; +\infty)$; множество значений: $(-\infty; 2]$.

в) $f(x) = x^2 + 4x - 1$

Область определения ($D(f)$): Функция является квадратичной, поэтому область определения — все действительные числа.

Множество значений ($E(f)$): Это парабола с коэффициентом $a=1 > 0$, ветви которой направлены вверх. Найдем координаты вершины $(x_v, y_v)$. $$x_v = -{b \over 2a} = -{4 \over 2 \cdot 1} = -2$$ $$y_v = f(x_v) = f(-2) = (-2)^2 + 4(-2) - 1 = 4 - 8 - 1 = -5$$ Минимальное значение функции равно $y_v = -5$.

Ответ: Область определения: $(-\infty; +\infty)$; множество значений: $[-5; +\infty)$.

г) $f(x) = -3x^2 + 6x - 4$

Область определения ($D(f)$): Функция является квадратичной, поэтому область определения — все действительные числа.

Множество значений ($E(f)$): Это парабола с коэффициентом $a=-3 < 0$, ветви которой направлены вниз. Найдем координаты вершины $(x_v, y_v)$. $$x_v = -{b \over 2a} = -{6 \over 2 \cdot (-3)} = 1$$ $$y_v = f(x_v) = f(1) = -3(1)^2 + 6(1) - 4 = -3 + 6 - 4 = -1$$ Максимальное значение функции равно $y_v = -1$.

Ответ: Область определения: $(-\infty; +\infty)$; множество значений: $(-\infty; -1]$.

д) $f(x) = -(x - 6)(x + 2)$

Область определения ($D(f)$): Функция является квадратичной, поэтому область определения — все действительные числа.

Множество значений ($E(f)$): Раскрыв скобки, получим $f(x) = -(x^2 - 4x - 12) = -x^2 + 4x + 12$. Коэффициент $a = -1 < 0$, поэтому ветви параболы направлены вниз. Вершина параболы находится на оси симметрии, которая проходит посередине между корнями функции. Корни уравнения $f(x)=0$: $x_1=6$ и $x_2=-2$. $$x_v = {x_1 + x_2 \over 2} = {6 + (-2) \over 2} = 2$$ $$y_v = f(x_v) = f(2) = -(2 - 6)(2 + 2) = -(-4)(4) = 16$$ Максимальное значение функции равно $y_v = 16$.

Ответ: Область определения: $(-\infty; +\infty)$; множество значений: $(-\infty; 16]$.

е) $f(x) = 2(x + 4)(x + 8)$

Область определения ($D(f)$): Функция является квадратичной, поэтому область определения — все действительные числа.

Множество значений ($E(f)$): Раскрыв скобки, получим $f(x) = 2(x^2 + 12x + 32) = 2x^2 + 24x + 64$. Коэффициент $a = 2 > 0$, поэтому ветви параболы направлены вверх. Корни уравнения $f(x)=0$: $x_1=-4$ и $x_2=-8$. Абсцисса вершины находится посередине между корнями. $$x_v = {x_1 + x_2 \over 2} = {-4 + (-8) \over 2} = -6$$ $$y_v = f(x_v) = f(-6) = 2(-6 + 4)(-6 + 8) = 2(-2)(2) = -8$$ Минимальное значение функции равно $y_v = -8$.

Ответ: Область определения: $(-\infty; +\infty)$; множество значений: $[-8; +\infty)$.

Помогло решение? Оставьте отзыв в комментариях ниже.

Присоединяйтесь к Телеграм-группе @gdz_by_belarus

Присоединиться

Мы подготовили для вас ответ c подробным объяснением домашего задания по алгебре за 8 класс, для упражнения номер 3.21 расположенного на странице 167 к учебнику 2024 года издания для учащихся школ и гимназий.

Теперь на нашем сайте ГДЗ.ТОП вы всегда легко и бесплатно найдёте условие с правильным ответом на вопрос «Как решить ДЗ» и «Как сделать» задание по алгебре к упражнению №3.21 (с. 167), авторов: Арефьева (Ирина Глебовна), Пирютко (Ольга Николаевна), учебного пособия издательства Адукацыя i выхаванне.