Номер 3.81, страница 166 - гдз по алгебре 9 класс учебник Арефьева, Пирютко

Алгебра, 9 класс Учебник, авторы: Арефьева Ирина Глебовна, Пирютко Ольга Николаевна, издательство Народная асвета, Минск, 2019, голубого цвета

Авторы: Арефьева И. Г., Пирютко О. Н.

Тип: Учебник

Издательство: Народная асвета

Год издания: 2019 - 2025

Цвет обложки: голубой, синий с графиком

ISBN: 978-985-03-3077-2

Допущено Министерством образования Республики Беларусь

Популярные ГДЗ в 9 классе

Глава 3. Дробно-рациональные уравнения и неравенства. Параграф 11. Системы нелинейных уравнений - номер 3.81, страница 166.

№3.81 (с. 166)
Условие. №3.81 (с. 166)
скриншот условия
Алгебра, 9 класс Учебник, авторы: Арефьева Ирина Глебовна, Пирютко Ольга Николаевна, издательство Народная асвета, Минск, 2019, голубого цвета, страница 166, номер 3.81, Условие

3.81. Решите систему уравнений $\begin{cases} xy = 12, \\ x - 2y - 2 = 0 \end{cases}$ графически и аналитически.

Решение. №3.81 (с. 166)
Алгебра, 9 класс Учебник, авторы: Арефьева Ирина Глебовна, Пирютко Ольга Николаевна, издательство Народная асвета, Минск, 2019, голубого цвета, страница 166, номер 3.81, Решение Алгебра, 9 класс Учебник, авторы: Арефьева Ирина Глебовна, Пирютко Ольга Николаевна, издательство Народная асвета, Минск, 2019, голубого цвета, страница 166, номер 3.81, Решение (продолжение 2)
Решение 2. №3.81 (с. 166)

графически

Для графического решения системы уравнений необходимо построить графики для каждого уравнения в одной системе координат. Координаты точек пересечения этих графиков и будут являться решением системы.

1. Первое уравнение: $xy = 12$. Это уравнение обратной пропорциональности, которое можно представить в виде $y = \frac{12}{x}$. Графиком является гипербола, ветви которой расположены в I и III координатных четвертях. Для построения составим таблицу значений:

$x$ -6 -4 -3 -2 2 3 4 6
$y = \frac{12}{x}$ -2 -3 -4 -6 6 4 3 2

2. Второе уравнение: $x - 2y - 2 = 0$. Это линейное уравнение. Выразим $y$ через $x$ для получения уравнения прямой в явном виде:
$2y = x - 2$
$y = \frac{1}{2}x - 1$

Для построения прямой достаточно найти координаты двух точек.
- При $x = 0$, $y = \frac{1}{2}(0) - 1 = -1$. Точка $(0, -1)$.
- При $x = 6$, $y = \frac{1}{2}(6) - 1 = 3 - 1 = 2$. Точка $(6, 2)$.

Построив графики гиперболы $y = \frac{12}{x}$ и прямой $y = \frac{1}{2}x - 1$ на одной координатной плоскости, мы находим две точки их пересечения, координаты которых являются решениями системы.

Ответ: $(6, 2)$ и $(-4, -3)$.

аналитически

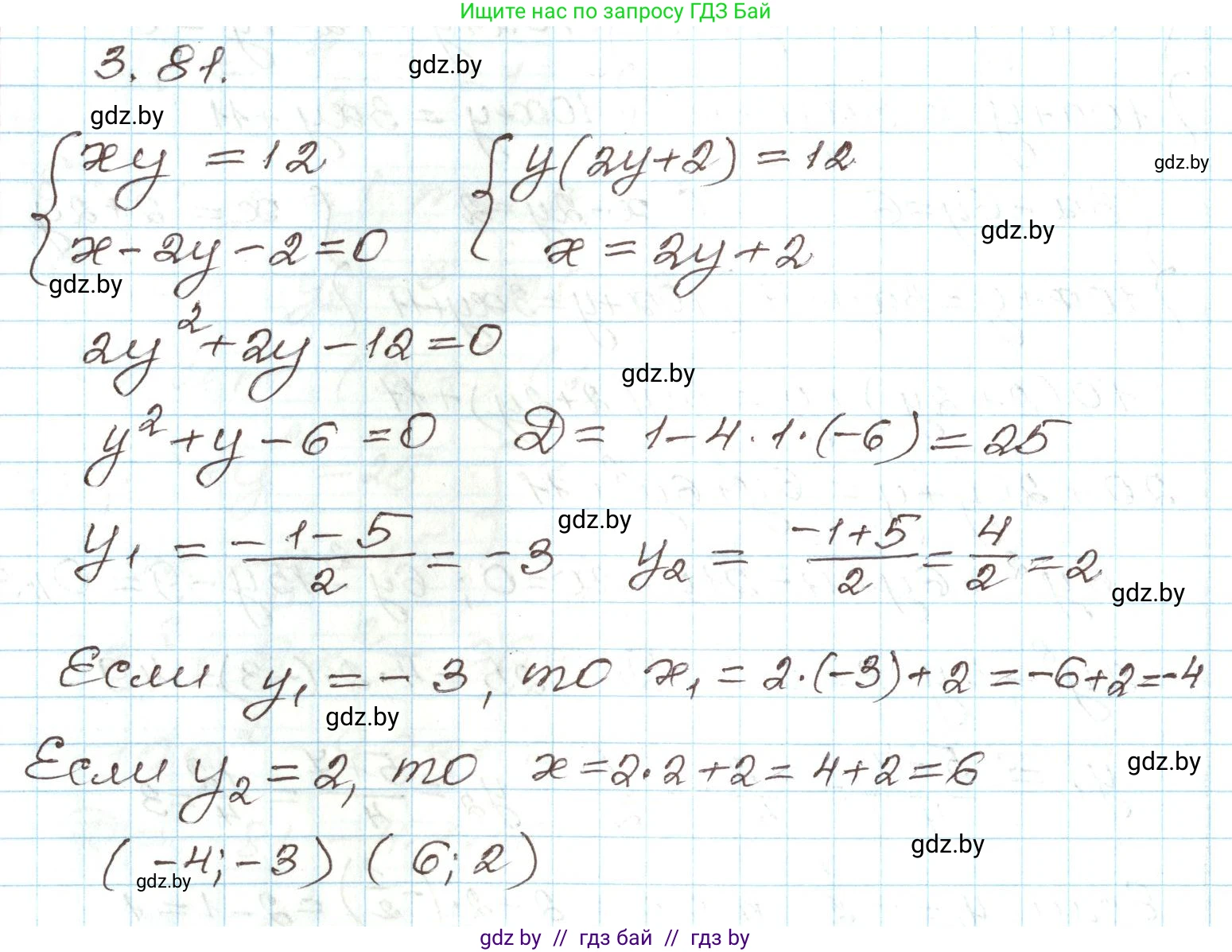
Для аналитического решения системы уравнений используем метод подстановки. $$ \begin{cases} xy = 12, \\ x - 2y - 2 = 0 \end{cases} $$

1. Из второго уравнения выразим переменную $x$:
$x = 2y + 2$

2. Подставим полученное выражение для $x$ в первое уравнение системы:
$(2y + 2) \cdot y = 12$

3. Решим полученное квадратное уравнение:
$2y^2 + 2y = 12$
$2y^2 + 2y - 12 = 0$
Разделим обе части уравнения на 2:
$y^2 + y - 6 = 0$

4. Найдем корни уравнения. Используя теорему Виета, находим, что сумма корней $y_1 + y_2 = -1$, а их произведение $y_1 \cdot y_2 = -6$. Этим условиям удовлетворяют корни:
$y_1 = 2$ и $y_2 = -3$.

5. Теперь найдем соответствующие значения $x$ для каждого найденного значения $y$, используя выражение $x = 2y + 2$.
- При $y_1 = 2$: $x_1 = 2(2) + 2 = 4 + 2 = 6$.
- При $y_2 = -3$: $x_2 = 2(-3) + 2 = -6 + 2 = -4$.

Таким образом, получены две пары решений.

Ответ: $(6, 2)$ и $(-4, -3)$.

Помогло решение? Оставьте отзыв в комментариях ниже.

Присоединяйтесь к Телеграм-группе @gdz_by_belarus

Присоединиться

Мы подготовили для вас ответ c подробным объяснением домашего задания по алгебре за 9 класс, для упражнения номер 3.81 расположенного на странице 166 к учебнику 2019 года издания для учащихся школ и гимназий.

Теперь на нашем сайте ГДЗ.ТОП вы всегда легко и бесплатно найдёте условие с правильным ответом на вопрос «Как решить ДЗ» и «Как сделать» задание по алгебре к упражнению №3.81 (с. 166), авторов: Арефьева (Ирина Глебовна), Пирютко (Ольга Николаевна), учебного пособия издательства Народная асвета.