Номер 3.87, страница 167 - гдз по алгебре 9 класс учебник Арефьева, Пирютко

Алгебра, 9 класс Учебник, авторы: Арефьева Ирина Глебовна, Пирютко Ольга Николаевна, издательство Народная асвета, Минск, 2019, голубого цвета

Авторы: Арефьева И. Г., Пирютко О. Н.

Тип: Учебник

Издательство: Народная асвета

Год издания: 2019 - 2025

Цвет обложки: голубой, синий с графиком

ISBN: 978-985-03-3077-2

Допущено Министерством образования Республики Беларусь

Популярные ГДЗ в 9 классе

Глава 3. Дробно-рациональные уравнения и неравенства. Параграф 11. Системы нелинейных уравнений - номер 3.87, страница 167.

№3.87 (с. 167)
Условие. №3.87 (с. 167)
скриншот условия
Алгебра, 9 класс Учебник, авторы: Арефьева Ирина Глебовна, Пирютко Ольга Николаевна, издательство Народная асвета, Минск, 2019, голубого цвета, страница 167, номер 3.87, Условие

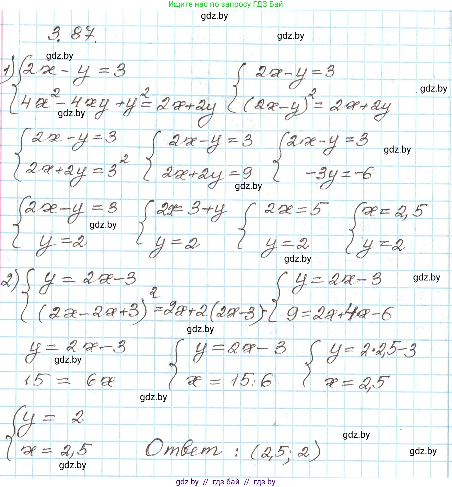
3.87. Решите систему уравнений$\begin{cases} 2x - y = 3, \\ 4x^2 - 4xy + y^2 = 2x + 2y \end{cases}$двумя способами.

Решение. №3.87 (с. 167)
Алгебра, 9 класс Учебник, авторы: Арефьева Ирина Глебовна, Пирютко Ольга Николаевна, издательство Народная асвета, Минск, 2019, голубого цвета, страница 167, номер 3.87, Решение
Решение 2. №3.87 (с. 167)
Способ 1

Решим систему методом подстановки. Исходная система:

$$ \begin{cases} 2x - y = 3 \\ 4x^2 - 4xy + y^2 = 2x + 2y \end{cases} $$

Из первого уравнения выразим y:

$$ y = 2x - 3 $$

Подставим это выражение для y во второе уравнение:

$$ 4x^2 - 4x(2x-3) + (2x-3)^2 = 2x + 2(2x-3) $$

Раскроем скобки и упростим уравнение:

$$ 4x^2 - 8x^2 + 12x + 4x^2 - 12x + 9 = 2x + 4x - 6 $$

Приведем подобные слагаемые:

$$ 9 = 6x - 6 $$

Решим полученное линейное уравнение:

$$ 6x = 15 $$

$$ x = \frac{15}{6} = \frac{5}{2} $$

Теперь найдем y, подставив значение x в выражение $y = 2x - 3$:

$$ y = 2 \cdot \frac{5}{2} - 3 = 5 - 3 = 2 $$

Таким образом, решение системы $( \frac{5}{2}, 2 )$.

Ответ: $( 2\frac{1}{2}, 2 )$
Способ 2

Решим систему методом преобразования. Заметим, что левая часть второго уравнения является полным квадратом разности:

$$ 4x^2 - 4xy + y^2 = (2x - y)^2 $$

Тогда второе уравнение можно переписать в виде:

$$ (2x - y)^2 = 2x + 2y $$

Из первого уравнения системы известно, что $2x - y = 3$. Подставим это значение в преобразованное второе уравнение:

$$ 3^2 = 2x + 2y $$

$$ 9 = 2x + 2y $$

Теперь исходная система эквивалентна следующей системе линейных уравнений:

$$ \begin{cases} 2x - y = 3 \\ 2x + 2y = 9 \end{cases} $$

Решим эту систему. Для этого вычтем из второго уравнения первое:

$$ (2x + 2y) - (2x - y) = 9 - 3 $$

$$ 3y = 6 $$

$$ y = 2 $$

Подставим найденное значение $y=2$ в первое уравнение $2x - y = 3$:

$$ 2x - 2 = 3 $$

$$ 2x = 5 $$

$$ x = \frac{5}{2} $$

Таким образом, решение системы $( \frac{5}{2}, 2 )$.

Ответ: $( 2\frac{1}{2}, 2 )$

Помогло решение? Оставьте отзыв в комментариях ниже.

Присоединяйтесь к Телеграм-группе @gdz_by_belarus

Присоединиться

Мы подготовили для вас ответ c подробным объяснением домашего задания по алгебре за 9 класс, для упражнения номер 3.87 расположенного на странице 167 к учебнику 2019 года издания для учащихся школ и гимназий.

Теперь на нашем сайте ГДЗ.ТОП вы всегда легко и бесплатно найдёте условие с правильным ответом на вопрос «Как решить ДЗ» и «Как сделать» задание по алгебре к упражнению №3.87 (с. 167), авторов: Арефьева (Ирина Глебовна), Пирютко (Ольга Николаевна), учебного пособия издательства Народная асвета.