Номер 3.88, страница 167 - гдз по алгебре 9 класс учебник Арефьева, Пирютко

Алгебра, 9 класс Учебник, авторы: Арефьева Ирина Глебовна, Пирютко Ольга Николаевна, издательство Народная асвета, Минск, 2019, голубого цвета

Авторы: Арефьева И. Г., Пирютко О. Н.

Тип: Учебник

Издательство: Народная асвета

Год издания: 2019 - 2025

Цвет обложки: голубой, синий с графиком

ISBN: 978-985-03-3077-2

Допущено Министерством образования Республики Беларусь

Популярные ГДЗ в 9 классе

Глава 3. Дробно-рациональные уравнения и неравенства. Параграф 11. Системы нелинейных уравнений - номер 3.88, страница 167.

№3.88 (с. 167)
Условие. №3.88 (с. 167)
скриншот условия
Алгебра, 9 класс Учебник, авторы: Арефьева Ирина Глебовна, Пирютко Ольга Николаевна, издательство Народная асвета, Минск, 2019, голубого цвета, страница 167, номер 3.88, Условие Алгебра, 9 класс Учебник, авторы: Арефьева Ирина Глебовна, Пирютко Ольга Николаевна, издательство Народная асвета, Минск, 2019, голубого цвета, страница 167, номер 3.88, Условие (продолжение 2)

3.88. Не выполняя построения, найдите координаты точек пересечения:

а) параболы $y = x^2 + 1$ и прямой $x + 2y = 5$;

б) параболы $y = 3x^2 + 1$ и прямой $y - 2x = 2$;

в) гиперболы $xy = -20$ и прямой $x + y = 8$;

г) гиперболы $xy = 12$ и прямой $3x + 2y = 12$.

Решение. №3.88 (с. 167)
Алгебра, 9 класс Учебник, авторы: Арефьева Ирина Глебовна, Пирютко Ольга Николаевна, издательство Народная асвета, Минск, 2019, голубого цвета, страница 167, номер 3.88, Решение Алгебра, 9 класс Учебник, авторы: Арефьева Ирина Глебовна, Пирютко Ольга Николаевна, издательство Народная асвета, Минск, 2019, голубого цвета, страница 167, номер 3.88, Решение (продолжение 2)
Решение 2. №3.88 (с. 167)

Чтобы найти координаты точек пересечения, не выполняя построения, нужно решить систему уравнений для каждой пары кривых. Точки, координаты которых удовлетворяют обоим уравнениям, являются точками пересечения.

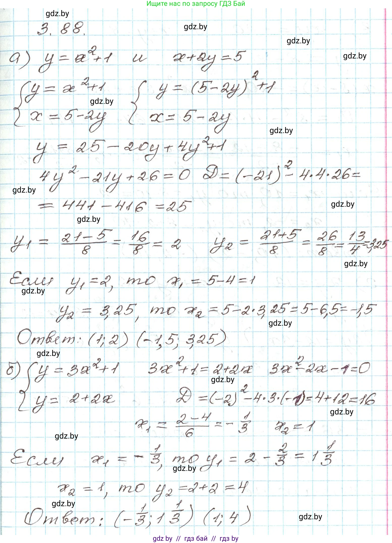
а) параболы $y = x^2 + 1$ и прямой $x + 2y = 5$

Составим систему уравнений:

$$ \begin{cases} y = x^2 + 1 \\ x + 2y = 5 \end{cases} $$

Для решения системы подставим выражение для $y$ из первого уравнения во второе:

$x + 2(x^2 + 1) = 5$

Раскроем скобки и приведем подобные слагаемые:

$x + 2x^2 + 2 = 5$

$2x^2 + x - 3 = 0$

Мы получили квадратное уравнение. Найдем его корни через дискриминант $D = b^2 - 4ac$:

$D = 1^2 - 4 \cdot 2 \cdot (-3) = 1 + 24 = 25$

Корни уравнения:

$x_1 = \frac{-1 + \sqrt{25}}{2 \cdot 2} = \frac{-1 + 5}{4} = \frac{4}{4} = 1$

$x_2 = \frac{-1 - \sqrt{25}}{2 \cdot 2} = \frac{-1 - 5}{4} = -\frac{6}{4} = -\frac{3}{2}$

Теперь найдем соответствующие значения $y$, подставив найденные $x$ в уравнение параболы $y = x^2 + 1$:

Для $x_1 = 1$:

$y_1 = 1^2 + 1 = 2$

Для $x_2 = -\frac{3}{2}$:

$y_2 = (-\frac{3}{2})^2 + 1 = \frac{9}{4} + 1 = \frac{9}{4} + \frac{4}{4} = \frac{13}{4}$

Таким образом, точки пересечения имеют координаты $(1, 2)$ и $(-\frac{3}{2}, \frac{13}{4})$.

Ответ: $(1, 2)$ и $(-1\frac{1}{2}, 3\frac{1}{4})$.

б) параболы $y = 3x^2 + 1$ и прямой $y - 2x = 2$

Составим систему уравнений:

$$ \begin{cases} y = 3x^2 + 1 \\ y - 2x = 2 \end{cases} $$

Из второго уравнения выразим $y$: $y = 2x + 2$.

Подставим это выражение в первое уравнение:

$2x + 2 = 3x^2 + 1$

$3x^2 - 2x - 1 = 0$

Решим полученное квадратное уравнение. Дискриминант:

$D = (-2)^2 - 4 \cdot 3 \cdot (-1) = 4 + 12 = 16$

Корни уравнения:

$x_1 = \frac{2 + \sqrt{16}}{2 \cdot 3} = \frac{2 + 4}{6} = \frac{6}{6} = 1$

$x_2 = \frac{2 - \sqrt{16}}{2 \cdot 3} = \frac{2 - 4}{6} = -\frac{2}{6} = -\frac{1}{3}$

Найдем соответствующие значения $y$, используя уравнение прямой $y = 2x + 2$:

Для $x_1 = 1$:

$y_1 = 2(1) + 2 = 4$

Для $x_2 = -\frac{1}{3}$:

$y_2 = 2(-\frac{1}{3}) + 2 = -\frac{2}{3} + \frac{6}{3} = \frac{4}{3}$

Координаты точек пересечения: $(1, 4)$ и $(-\frac{1}{3}, \frac{4}{3})$.

Ответ: $(1, 4)$ и $(-\frac{1}{3}, 1\frac{1}{3})$.

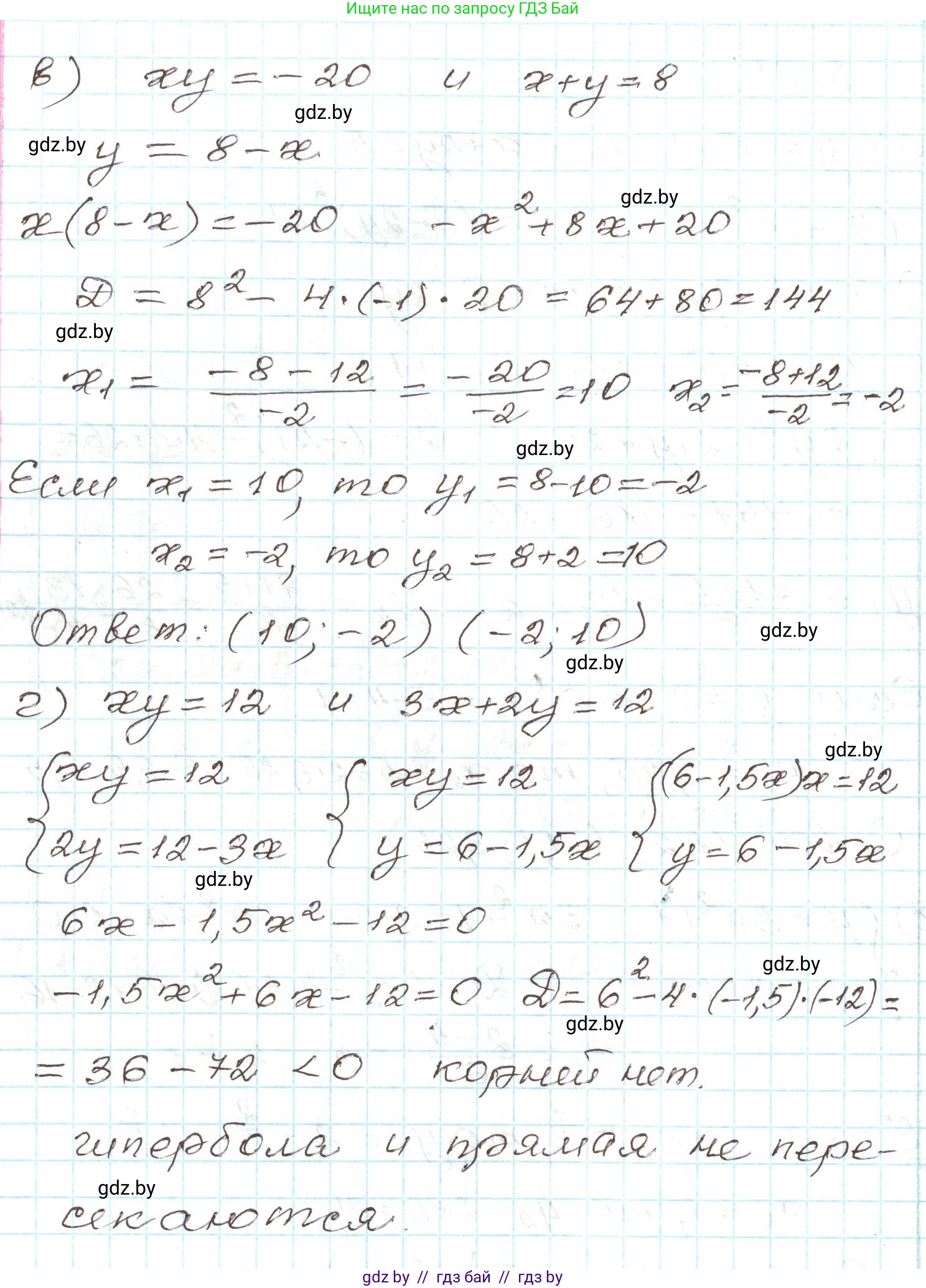
в) гиперболы $xy = -20$ и прямой $x + y = 8$

Составим систему уравнений:

$$ \begin{cases} xy = -20 \\ x + y = 8 \end{cases} $$

Из второго уравнения выразим $y$: $y = 8 - x$.

Подставим в первое уравнение:

$x(8 - x) = -20$

$8x - x^2 = -20$

$x^2 - 8x - 20 = 0$

Решим квадратное уравнение. Дискриминант:

$D = (-8)^2 - 4 \cdot 1 \cdot (-20) = 64 + 80 = 144$

Корни уравнения:

$x_1 = \frac{8 + \sqrt{144}}{2} = \frac{8 + 12}{2} = \frac{20}{2} = 10$

$x_2 = \frac{8 - \sqrt{144}}{2} = \frac{8 - 12}{2} = -\frac{4}{2} = -2$

Найдем соответствующие значения $y$ из уравнения $y = 8 - x$:

Для $x_1 = 10$:

$y_1 = 8 - 10 = -2$

Для $x_2 = -2$:

$y_2 = 8 - (-2) = 10$

Координаты точек пересечения: $(10, -2)$ и $(-2, 10)$.

Ответ: $(10, -2)$ и $(-2, 10)$.

г) гиперболы $xy = 12$ и прямой $3x + 2y = 12$

Составим систему уравнений:

$$ \begin{cases} xy = 12 \\ 3x + 2y = 12 \end{cases} $$

Из первого уравнения выразим $y$ (при $x \neq 0$): $y = \frac{12}{x}$.

Подставим во второе уравнение:

$3x + 2(\frac{12}{x}) = 12$

$3x + \frac{24}{x} = 12$

Умножим обе части уравнения на $x$, чтобы избавиться от знаменателя:

$3x^2 + 24 = 12x$

$3x^2 - 12x + 24 = 0$

Разделим уравнение на 3 для упрощения:

$x^2 - 4x + 8 = 0$

Вычислим дискриминант:

$D = (-4)^2 - 4 \cdot 1 \cdot 8 = 16 - 32 = -16$

Поскольку дискриминант $D < 0$, данное квадратное уравнение не имеет действительных корней. Это означает, что графики не пересекаются.

Ответ: Точек пересечения нет.

Помогло решение? Оставьте отзыв в комментариях ниже.

Присоединяйтесь к Телеграм-группе @gdz_by_belarus

Присоединиться

Мы подготовили для вас ответ c подробным объяснением домашего задания по алгебре за 9 класс, для упражнения номер 3.88 расположенного на странице 167 к учебнику 2019 года издания для учащихся школ и гимназий.

Теперь на нашем сайте ГДЗ.ТОП вы всегда легко и бесплатно найдёте условие с правильным ответом на вопрос «Как решить ДЗ» и «Как сделать» задание по алгебре к упражнению №3.88 (с. 167), авторов: Арефьева (Ирина Глебовна), Пирютко (Ольга Николаевна), учебного пособия издательства Народная асвета.