Номер 3.83, страница 167 - гдз по алгебре 9 класс учебник Арефьева, Пирютко

Алгебра, 9 класс Учебник, авторы: Арефьева Ирина Глебовна, Пирютко Ольга Николаевна, издательство Народная асвета, Минск, 2019, голубого цвета

Авторы: Арефьева И. Г., Пирютко О. Н.

Тип: Учебник

Издательство: Народная асвета

Год издания: 2019 - 2025

Цвет обложки: голубой, синий с графиком

ISBN: 978-985-03-3077-2

Допущено Министерством образования Республики Беларусь

Популярные ГДЗ в 9 классе

Глава 3. Дробно-рациональные уравнения и неравенства. Параграф 11. Системы нелинейных уравнений - номер 3.83, страница 167.

№3.83 (с. 167)
Условие. №3.83 (с. 167)
скриншот условия
Алгебра, 9 класс Учебник, авторы: Арефьева Ирина Глебовна, Пирютко Ольга Николаевна, издательство Народная асвета, Минск, 2019, голубого цвета, страница 167, номер 3.83, Условие

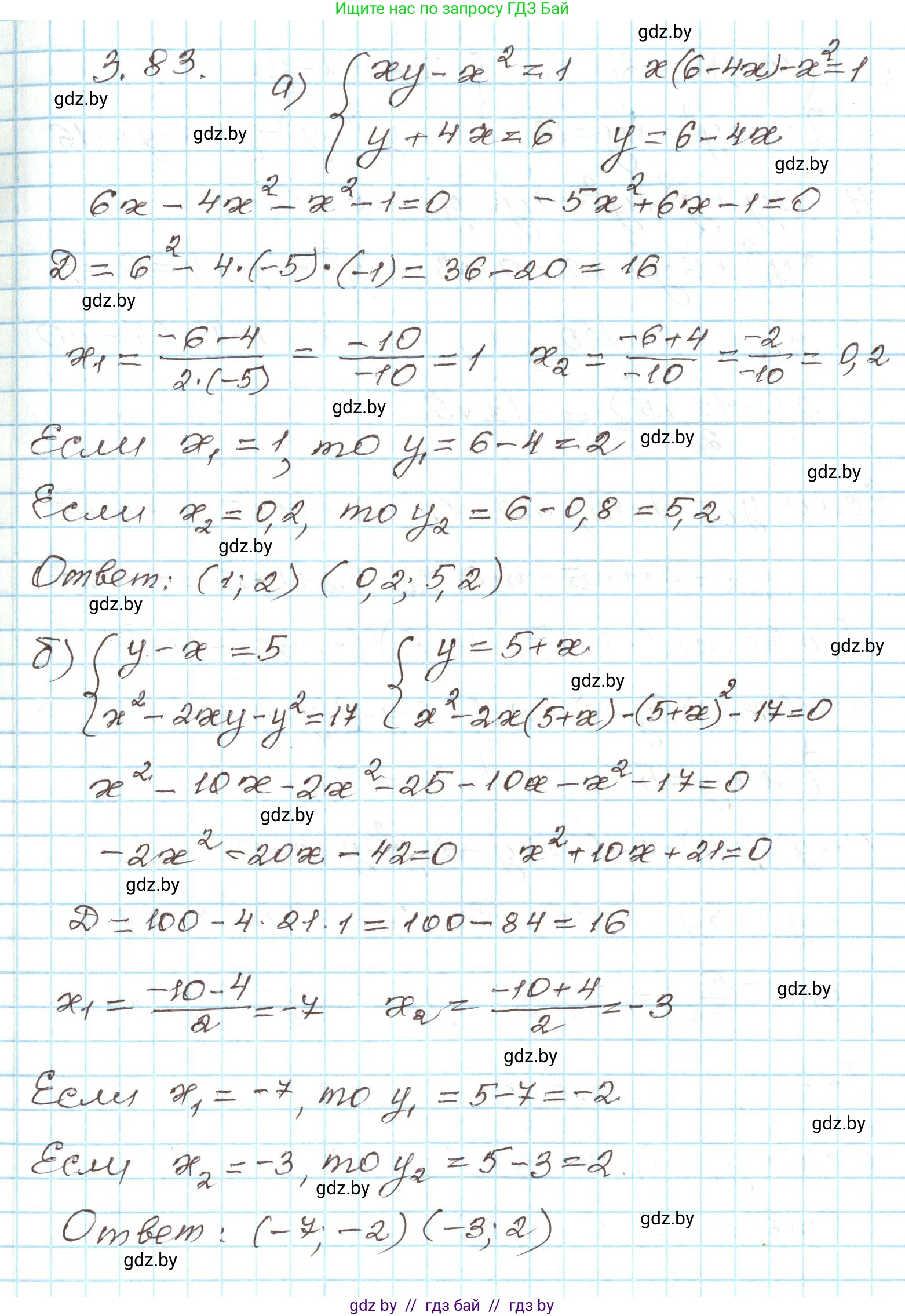
3.83. Выполните анализ условия и решите систему уравнений:

a) $ \begin{cases} xy - x^2 = 1, \\ y + 4x = 6; \end{cases} $

б) $ \begin{cases} y - x = 5, \\ x^2 - 2xy - y^2 = 17; \end{cases} $

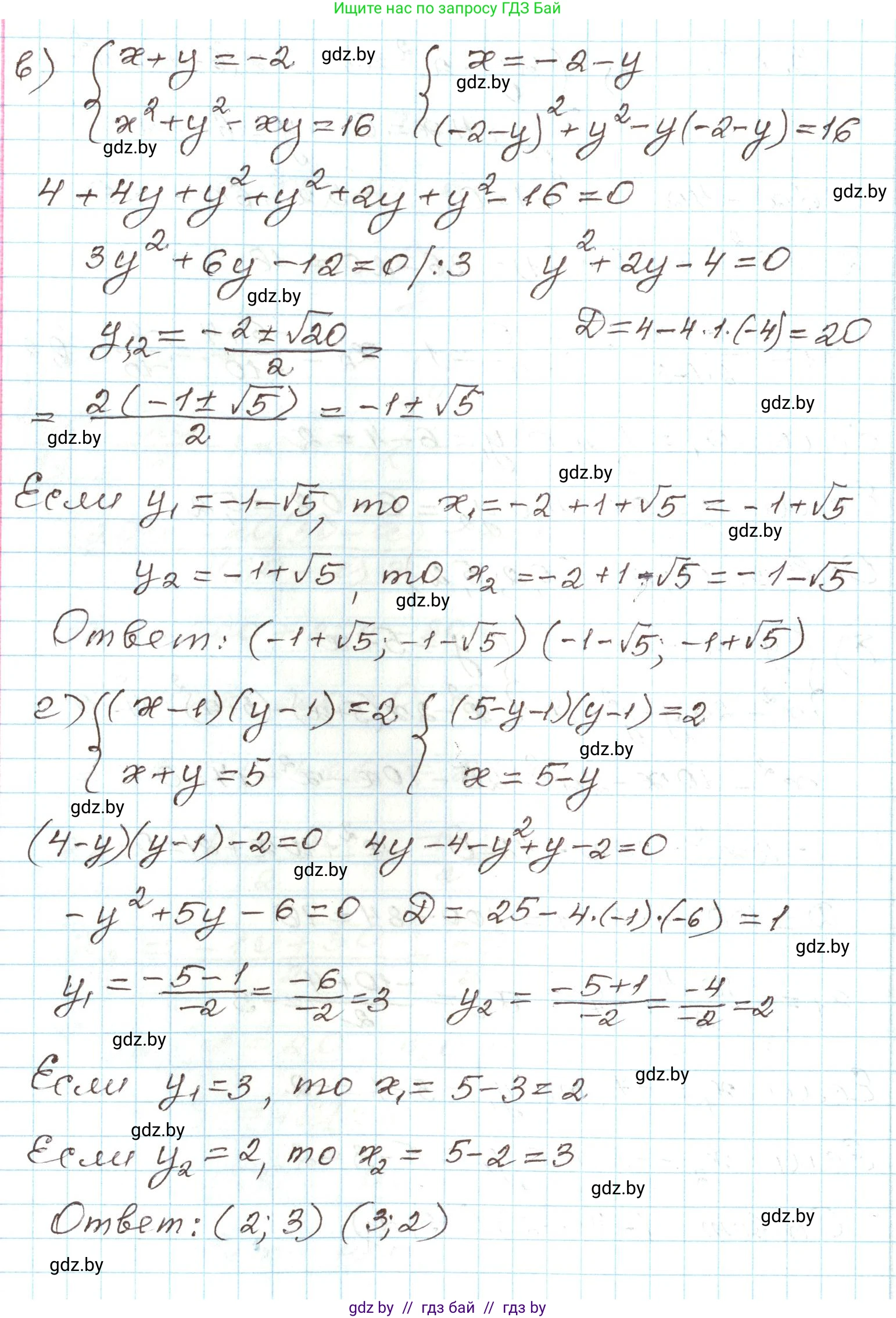
в) $ \begin{cases} x + y = -2, \\ x^2 + y^2 - xy = 16; \end{cases} $

г) $ \begin{cases} (x - 1)(y - 1) = 2, \\ x + y = 5; \end{cases} $

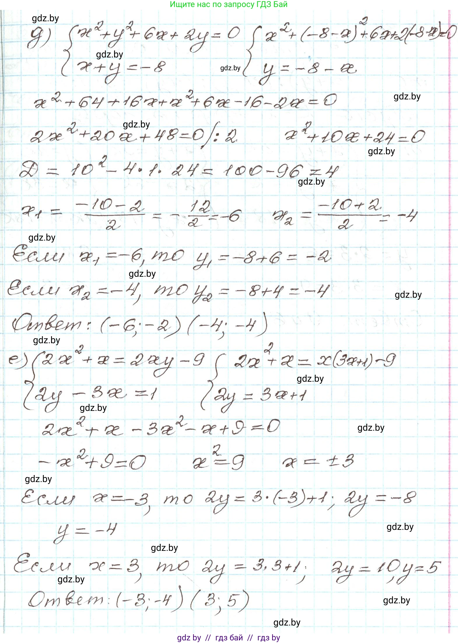
д) $ \begin{cases} x^2 + y^2 + 6x + 2y = 0, \\ x + y = -8; \end{cases} $

е) $ \begin{cases} 2x^2 + x = 2xy - 9, \\ 2y - 3x = 1. \end{cases} $

Решение. №3.83 (с. 167)
Алгебра, 9 класс Учебник, авторы: Арефьева Ирина Глебовна, Пирютко Ольга Николаевна, издательство Народная асвета, Минск, 2019, голубого цвета, страница 167, номер 3.83, Решение Алгебра, 9 класс Учебник, авторы: Арефьева Ирина Глебовна, Пирютко Ольга Николаевна, издательство Народная асвета, Минск, 2019, голубого цвета, страница 167, номер 3.83, Решение (продолжение 2)
Решение 2. №3.83 (с. 167)

а) Дана система уравнений:

$$ \begin{cases} xy - x^2 = 1, \\ y + 4x = 6; \end{cases} $$

1. Выразим переменную $y$ из второго (линейного) уравнения:

$$ y = 6 - 4x $$

2. Подставим полученное выражение для $y$ в первое уравнение системы:

$$ x(6 - 4x) - x^2 = 1 $$

3. Раскроем скобки и решим полученное квадратное уравнение относительно $x$:

$$ 6x - 4x^2 - x^2 = 1 $$

$$ -5x^2 + 6x - 1 = 0 $$

Умножим обе части на -1 для удобства:

$$ 5x^2 - 6x + 1 = 0 $$

Найдем дискриминант $D = b^2 - 4ac$:

$$ D = (-6)^2 - 4 \cdot 5 \cdot 1 = 36 - 20 = 16 $$

Найдем корни уравнения:

$$ x_1 = \frac{-b + \sqrt{D}}{2a} = \frac{6 + \sqrt{16}}{2 \cdot 5} = \frac{6 + 4}{10} = \frac{10}{10} = 1 $$

$$ x_2 = \frac{-b - \sqrt{D}}{2a} = \frac{6 - \sqrt{16}}{2 \cdot 5} = \frac{6 - 4}{10} = \frac{2}{10} = \frac{1}{5} $$

4. Теперь найдем соответствующие значения $y$, подставляя найденные $x$ в выражение $y = 6 - 4x$:

При $x_1 = 1$:

$$ y_1 = 6 - 4(1) = 2 $$

При $x_2 = \frac{1}{5}$:

$$ y_2 = 6 - 4\left(\frac{1}{5}\right) = 6 - \frac{4}{5} = \frac{30}{5} - \frac{4}{5} = \frac{26}{5} = 5 \frac{1}{5} $$

Ответ: $(1; 2)$, $(\frac{1}{5}; 5 \frac{1}{5})$.

б) Дана система уравнений:

$$ \begin{cases} y - x = 5, \\ x^2 - 2xy - y^2 = 17; \end{cases} $$

1. Выразим $y$ из первого уравнения:

$$ y = x + 5 $$

2. Подставим это выражение во второе уравнение:

$$ x^2 - 2x(x+5) - (x+5)^2 = 17 $$

3. Раскроем скобки и решим уравнение:

$$ x^2 - (2x^2 + 10x) - (x^2 + 10x + 25) = 17 $$

$$ x^2 - 2x^2 - 10x - x^2 - 10x - 25 = 17 $$

$$ -2x^2 - 20x - 25 - 17 = 0 $$

$$ -2x^2 - 20x - 42 = 0 $$

Разделим обе части на -2:

$$ x^2 + 10x + 21 = 0 $$

По теореме Виета, корни уравнения: $x_1 = -3$ и $x_2 = -7$.

4. Найдем соответствующие значения $y$:

При $x_1 = -3$:

$$ y_1 = -3 + 5 = 2 $$

При $x_2 = -7$:

$$ y_2 = -7 + 5 = -2 $$

Ответ: $(-3; 2)$, $(-7; -2)$.

в) Дана система уравнений:

$$ \begin{cases} x + y = -2, \\ x^2 + y^2 - xy = 16; \end{cases} $$

1. Преобразуем второе уравнение, используя тождество $x^2 + y^2 = (x+y)^2 - 2xy$:

$$ ((x+y)^2 - 2xy) - xy = 16 $$

$$ (x+y)^2 - 3xy = 16 $$

2. Подставим значение $x+y=-2$ из первого уравнения в преобразованное второе:

$$ (-2)^2 - 3xy = 16 $$

$$ 4 - 3xy = 16 $$

$$ -3xy = 12 $$

$$ xy = -4 $$

3. Теперь имеем более простую систему:

$$ \begin{cases} x+y = -2, \\ xy = -4; \end{cases} $$

Согласно обратной теореме Виета, $x$ и $y$ являются корнями квадратного уравнения $t^2 - (x+y)t + xy = 0$.

$$ t^2 - (-2)t + (-4) = 0 $$

$$ t^2 + 2t - 4 = 0 $$

4. Решим это уравнение через дискриминант:

$$ D = 2^2 - 4 \cdot 1 \cdot (-4) = 4 + 16 = 20 $$

$$ t_{1,2} = \frac{-2 \pm \sqrt{20}}{2} = \frac{-2 \pm 2\sqrt{5}}{2} = -1 \pm \sqrt{5} $$

Пары решений $(x, y)$ — это комбинации этих корней.

Ответ: $(-1 + \sqrt{5}; -1 - \sqrt{5})$, $(-1 - \sqrt{5}; -1 + \sqrt{5})$.

г) Дана система уравнений:

$$ \begin{cases} (x-1)(y-1) = 2, \\ x + y = 5; \end{cases} $$

1. Раскроем скобки в первом уравнении:

$$ xy - x - y + 1 = 2 $$

$$ xy - (x+y) + 1 = 2 $$

2. Подставим значение $x+y=5$ из второго уравнения:

$$ xy - 5 + 1 = 2 $$

$$ xy - 4 = 2 $$

$$ xy = 6 $$

3. Решаем систему:

$$ \begin{cases} x+y = 5, \\ xy = 6; \end{cases} $$

По обратной теореме Виета, $x$ и $y$ — корни уравнения $t^2 - 5t + 6 = 0$.

4. Корни этого уравнения легко находятся подбором: $t_1=2, t_2=3$.

Ответ: $(2; 3)$, $(3; 2)$.

д) Дана система уравнений:

$$ \begin{cases} x^2 + y^2 + 6x + 2y = 0, \\ x + y = -8; \end{cases} $$

1. Выразим $y$ из второго уравнения:

$$ y = -8 - x $$

2. Подставим это выражение в первое уравнение:

$$ x^2 + (-8 - x)^2 + 6x + 2(-8 - x) = 0 $$

3. Раскроем скобки и решим уравнение:

$$ x^2 + (64 + 16x + x^2) + 6x - 16 - 2x = 0 $$

$$ 2x^2 + 20x + 48 = 0 $$

Разделим обе части на 2:

$$ x^2 + 10x + 24 = 0 $$

По теореме Виета, корни уравнения: $x_1 = -4$ и $x_2 = -6$.

4. Найдем соответствующие значения $y$:

При $x_1 = -4$:

$$ y_1 = -8 - (-4) = -8 + 4 = -4 $$

При $x_2 = -6$:

$$ y_2 = -8 - (-6) = -8 + 6 = -2 $$

Ответ: $(-4; -4)$, $(-6; -2)$.

е) Дана система уравнений:

$$ \begin{cases} 2x^2 + x = 2xy - 9, \\ 2y - 3x = 1; \end{cases} $$

1. Из второго уравнения выразим $2y$:

$$ 2y = 3x + 1 $$

2. Преобразуем первое уравнение, чтобы было удобно сделать подстановку:

$$ 2x^2 + x = x(2y) - 9 $$

3. Подставим выражение для $2y$ в преобразованное первое уравнение:

$$ 2x^2 + x = x(3x + 1) - 9 $$

4. Раскроем скобки и решим уравнение:

$$ 2x^2 + x = 3x^2 + x - 9 $$

$$ 2x^2 = 3x^2 - 9 $$

$$ x^2 = 9 $$

Отсюда $x_1 = 3$ и $x_2 = -3$.

5. Найдем соответствующие значения $y$ из выражения $2y = 3x + 1$:

При $x_1 = 3$:

$$ 2y_1 = 3(3) + 1 = 10 \implies y_1 = 5 $$

При $x_2 = -3$:

$$ 2y_2 = 3(-3) + 1 = -9 + 1 = -8 \implies y_2 = -4 $$

Ответ: $(3; 5)$, $(-3; -4)$.

Помогло решение? Оставьте отзыв в комментариях ниже.

Присоединяйтесь к Телеграм-группе @gdz_by_belarus

Присоединиться

Мы подготовили для вас ответ c подробным объяснением домашего задания по алгебре за 9 класс, для упражнения номер 3.83 расположенного на странице 167 к учебнику 2019 года издания для учащихся школ и гимназий.

Теперь на нашем сайте ГДЗ.ТОП вы всегда легко и бесплатно найдёте условие с правильным ответом на вопрос «Как решить ДЗ» и «Как сделать» задание по алгебре к упражнению №3.83 (с. 167), авторов: Арефьева (Ирина Глебовна), Пирютко (Ольга Николаевна), учебного пособия издательства Народная асвета.