Номер 3.89, страница 168 - гдз по алгебре 9 класс учебник Арефьева, Пирютко

Алгебра, 9 класс Учебник, авторы: Арефьева Ирина Глебовна, Пирютко Ольга Николаевна, издательство Народная асвета, Минск, 2019, голубого цвета

Авторы: Арефьева И. Г., Пирютко О. Н.

Тип: Учебник

Издательство: Народная асвета

Год издания: 2019 - 2025

Цвет обложки: голубой, синий с графиком

ISBN: 978-985-03-3077-2

Допущено Министерством образования Республики Беларусь

Популярные ГДЗ в 9 классе

Глава 3. Дробно-рациональные уравнения и неравенства. Параграф 11. Системы нелинейных уравнений - номер 3.89, страница 168.

№3.89 (с. 168)
Условие. №3.89 (с. 168)
скриншот условия
Алгебра, 9 класс Учебник, авторы: Арефьева Ирина Глебовна, Пирютко Ольга Николаевна, издательство Народная асвета, Минск, 2019, голубого цвета, страница 168, номер 3.89, Условие

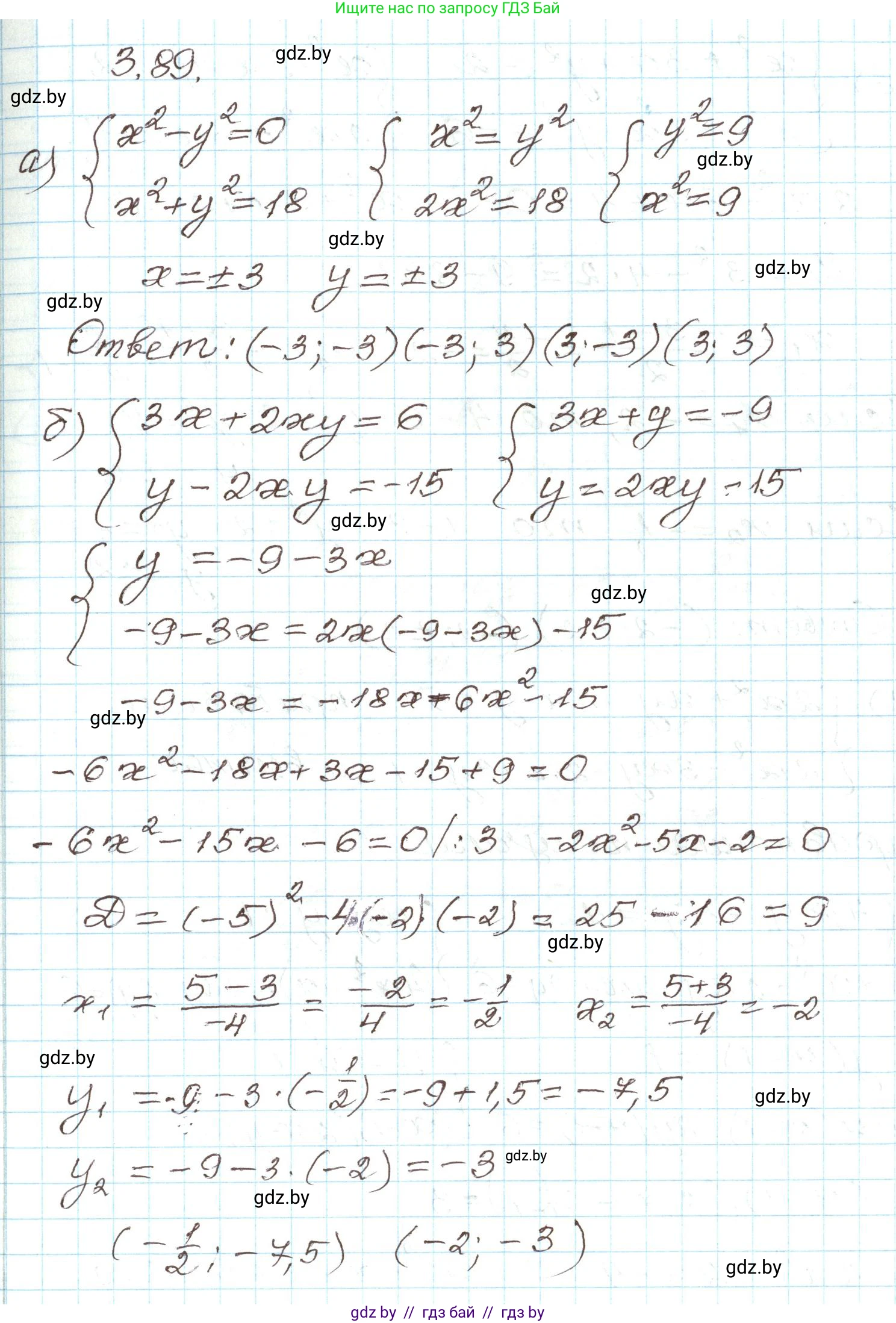
3.89. Решите систему уравнений:

а) $\begin{cases} x^2 - y^2 = 0, \\ x^2 + y^2 = 18; \end{cases}$

б) $\begin{cases} 3x + 2xy = 6, \\ y - 2xy = -15; \end{cases}$

в) $\begin{cases} x^2 + 3x + y^2 = 2, \\ x^2 + 3x - y^2 = -6; \end{cases}$

г) $\begin{cases} 2x^2 + xy - 2x - y = 5, \\ 2x^2 - 3xy - 2x + 3y = 1. \end{cases}$

Решение. №3.89 (с. 168)
Алгебра, 9 класс Учебник, авторы: Арефьева Ирина Глебовна, Пирютко Ольга Николаевна, издательство Народная асвета, Минск, 2019, голубого цвета, страница 168, номер 3.89, Решение Алгебра, 9 класс Учебник, авторы: Арефьева Ирина Глебовна, Пирютко Ольга Николаевна, издательство Народная асвета, Минск, 2019, голубого цвета, страница 168, номер 3.89, Решение (продолжение 2)
Решение 2. №3.89 (с. 168)

а) Дана система уравнений:

$\begin{cases} x^2 - y^2 = 0 \\ x^2 + y^2 = 18 \end{cases}$

Сложим первое и второе уравнения системы, чтобы исключить $y^2$:

$(x^2 - y^2) + (x^2 + y^2) = 0 + 18$

$2x^2 = 18$

$x^2 = \frac{18}{2}$

$x^2 = 9$

Отсюда находим значения $x$:

$x_1 = 3$, $x_2 = -3$

Теперь подставим значение $x^2 = 9$ во второе уравнение исходной системы, чтобы найти $y$:

$9 + y^2 = 18$

$y^2 = 18 - 9$

$y^2 = 9$

Отсюда находим значения $y$:

$y_1 = 3$, $y_2 = -3$

Комбинируя найденные значения $x$ и $y$, получаем четыре пары решений, так как для каждого из двух значений $x$ подходят оба значения $y$.

Ответ: (3; 3), (3; -3), (-3; 3), (-3; -3).

б) Дана система уравнений:

$\begin{cases} 3x + 2xy = 6 \\ y - 2xy = -15 \end{cases}$

Сложим первое и второе уравнения системы. Члены $2xy$ и $-2xy$ взаимно уничтожаются:

$(3x + 2xy) + (y - 2xy) = 6 + (-15)$

$3x + y = -9$

Из полученного уравнения выразим $y$ через $x$:

$y = -3x - 9$

Подставим это выражение для $y$ в первое уравнение исходной системы:

$3x + 2x(-3x - 9) = 6$

$3x - 6x^2 - 18x = 6$

$-6x^2 - 15x - 6 = 0$

Разделим все члены уравнения на -3 для упрощения:

$2x^2 + 5x + 2 = 0$

Решим полученное квадратное уравнение, используя формулу корней:

$D = b^2 - 4ac = 5^2 - 4 \cdot 2 \cdot 2 = 25 - 16 = 9$

$x_1 = \frac{-b + \sqrt{D}}{2a} = \frac{-5 + \sqrt{9}}{2 \cdot 2} = \frac{-5 + 3}{4} = \frac{-2}{4} = -\frac{1}{2}$

$x_2 = \frac{-b - \sqrt{D}}{2a} = \frac{-5 - \sqrt{9}}{2 \cdot 2} = \frac{-5 - 3}{4} = \frac{-8}{4} = -2$

Теперь найдем соответствующие значения $y$, используя $y = -3x - 9$:

Для $x_1 = -\frac{1}{2}$:

$y_1 = -3 \cdot (-\frac{1}{2}) - 9 = \frac{3}{2} - 9 = \frac{3 - 18}{2} = -\frac{15}{2}$

Для $x_2 = -2$:

$y_2 = -3 \cdot (-2) - 9 = 6 - 9 = -3$

Получили две пары решений. Преобразуем неправильную дробь $-\frac{15}{2}$ в смешанное число: $-\frac{15}{2} = -7\frac{1}{2}$.

Ответ: $(-2; -3)$, $(-\frac{1}{2}; -\mathbf{7}\frac{1}{2})$.

в) Дана система уравнений:

$\begin{cases} x^2 + 3x + y^2 = 2 \\ x^2 + 3x - y^2 = -6 \end{cases}$

Вычтем второе уравнение из первого. Группа слагаемых $x^2+3x$ сократится:

$(x^2 + 3x + y^2) - (x^2 + 3x - y^2) = 2 - (-6)$

$x^2 + 3x + y^2 - x^2 - 3x + y^2 = 8$

$2y^2 = 8$

$y^2 = 4$

$y = \pm 2$

Подставим найденное значение $y^2 = 4$ в первое уравнение системы:

$x^2 + 3x + 4 = 2$

$x^2 + 3x + 2 = 0$

Решим полученное квадратное уравнение. По теореме Виета, сумма корней $x_1+x_2 = -3$, а произведение $x_1 \cdot x_2 = 2$. Этим условиям удовлетворяют корни:

$x_1 = -1$, $x_2 = -2$

Так как значения $x$ не зависят от знака $y$, каждому значению $x$ соответствуют оба значения $y = 2$ и $y = -2$.

Ответ: $(-1; 2)$, $(-1; -2)$, $(-2; 2)$, $(-2; -2)$.

г) Дана система уравнений:

$\begin{cases} 2x^2 + xy - 2x - y = 5 \\ 2x^2 - 3xy - 2x + 3y = 1 \end{cases}$

Преобразуем оба уравнения методом группировки:

Первое уравнение: $(2x^2 - 2x) + (xy - y) = 5 \implies 2x(x-1) + y(x-1) = 5 \implies (x-1)(2x+y) = 5$.

Второе уравнение: $(2x^2 - 2x) - (3xy - 3y) = 1 \implies 2x(x-1) - 3y(x-1) = 1 \implies (x-1)(2x-3y) = 1$.

Система принимает вид:

$\begin{cases} (x-1)(2x+y) = 5 \\ (x-1)(2x-3y) = 1 \end{cases}$

Заметим, что $x \neq 1$, так как в противном случае левые части уравнений обращались бы в ноль. Разделим первое уравнение на второе:

$\frac{(x-1)(2x+y)}{(x-1)(2x-3y)} = \frac{5}{1}$

$\frac{2x+y}{2x-3y} = 5$

$2x+y = 5(2x-3y)$

$2x+y = 10x - 15y$

$16y = 8x$

$y = \frac{8x}{16} = \frac{x}{2}$

Подставим полученное соотношение $y = \frac{x}{2}$ во второе преобразованное уравнение $(x-1)(2x-3y) = 1$:

$(x-1)(2x - 3(\frac{x}{2})) = 1$

$(x-1)(2x - \frac{3x}{2}) = 1$

$(x-1)(\frac{4x - 3x}{2}) = 1$

$(x-1)\frac{x}{2} = 1$

$x^2 - x = 2$

$x^2 - x - 2 = 0$

Решим квадратное уравнение. По теореме Виета, $x_1+x_2 = 1$, $x_1 \cdot x_2 = -2$. Корни:

$x_1 = 2$, $x_2 = -1$

Найдем соответствующие значения $y$ из соотношения $y = \frac{x}{2}$:

При $x_1 = 2$: $y_1 = \frac{2}{2} = 1$

При $x_2 = -1$: $y_2 = \frac{-1}{2} = -\frac{1}{2}$

Ответ: $(2; 1)$, $(-1; -\frac{1}{2})$.

Помогло решение? Оставьте отзыв в комментариях ниже.

Присоединяйтесь к Телеграм-группе @gdz_by_belarus

Присоединиться

Мы подготовили для вас ответ c подробным объяснением домашего задания по алгебре за 9 класс, для упражнения номер 3.89 расположенного на странице 168 к учебнику 2019 года издания для учащихся школ и гимназий.

Теперь на нашем сайте ГДЗ.ТОП вы всегда легко и бесплатно найдёте условие с правильным ответом на вопрос «Как решить ДЗ» и «Как сделать» задание по алгебре к упражнению №3.89 (с. 168), авторов: Арефьева (Ирина Глебовна), Пирютко (Ольга Николаевна), учебного пособия издательства Народная асвета.