Номер 4.249, страница 252 - гдз по алгебре 9 класс учебник Арефьева, Пирютко

Алгебра, 9 класс Учебник, авторы: Арефьева Ирина Глебовна, Пирютко Ольга Николаевна, издательство Народная асвета, Минск, 2019, голубого цвета

Авторы: Арефьева И. Г., Пирютко О. Н.

Тип: Учебник

Издательство: Народная асвета

Год издания: 2019 - 2025

Цвет обложки: голубой, синий с графиком

ISBN: 978-985-03-3077-2

Допущено Министерством образования Республики Беларусь

Популярные ГДЗ в 9 классе

Глава 4. Прогрессии. Параграф 18. Формула суммы n первых членов геометрической прогрессии - номер 4.249, страница 252.

№4.249 (с. 252)
Условие. №4.249 (с. 252)
скриншот условия
Алгебра, 9 класс Учебник, авторы: Арефьева Ирина Глебовна, Пирютко Ольга Николаевна, издательство Народная асвета, Минск, 2019, голубого цвета, страница 252, номер 4.249, Условие

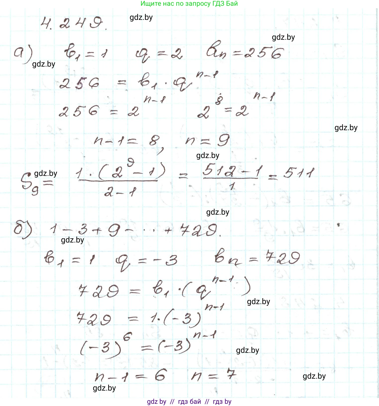
4.249. Найдите сумму, зная, что ее слагаемые — последовательные члены геометрической прогрессии:

a) $1 + 2 + 4 + ... + 256;$

б) $1 - 3 + 9 - ... + 729.$

Решение. №4.249 (с. 252)
Алгебра, 9 класс Учебник, авторы: Арефьева Ирина Глебовна, Пирютко Ольга Николаевна, издательство Народная асвета, Минск, 2019, голубого цвета, страница 252, номер 4.249, Решение
Решение 2. №4.249 (с. 252)

Чтобы найти сумму, необходимо определить параметры геометрической прогрессии (первый член, знаменатель и количество членов) и применить формулу суммы первых $n$ членов геометрической прогрессии: $S_n = \frac{b_1(q^n - 1)}{q-1}$, где $b_1$ — первый член, $q$ — знаменатель, $n$ — количество членов.

а) $1 + 2 + 4 + ... + 256$

Это сумма членов конечной геометрической прогрессии ($b_n$).

  1. Определим параметры прогрессии.
    Первый член прогрессии: $b_1 = 1$.
    Второй член прогрессии: $b_2 = 2$.
    Знаменатель прогрессии $q$ равен отношению второго члена к первому:
    $q = \frac{b_2}{b_1} = \frac{2}{1} = 2$.
  2. Найдем количество членов прогрессии $n$.
    Последний член прогрессии $b_n = 256$.
    Используем формулу $n$-го члена геометрической прогрессии: $b_n = b_1 \cdot q^{n-1}$.
    $256 = 1 \cdot 2^{n-1}$
    Поскольку $256 = 2^8$, мы можем записать:
    $2^8 = 2^{n-1}$
    Отсюда следует, что $n-1 = 8$, значит $n = 9$.
  3. Вычислим сумму прогрессии $S_n$.
    Теперь, зная $b_1=1$, $q=2$ и $n=9$, найдем сумму по формуле:
    $S_9 = \frac{b_1(q^9 - 1)}{q-1} = \frac{1 \cdot (2^9 - 1)}{2 - 1} = \frac{512 - 1}{1} = 511$.

Ответ: 511

б) $1 - 3 + 9 - ... + 729$

Это сумма членов конечной знакочередующейся геометрической прогрессии ($b_n$).

  1. Определим параметры прогрессии.
    Первый член прогрессии: $b_1 = 1$.
    Второй член прогрессии: $b_2 = -3$.
    Знаменатель прогрессии $q$ равен:
    $q = \frac{b_2}{b_1} = \frac{-3}{1} = -3$.
  2. Найдем количество членов прогрессии $n$.
    Последний член прогрессии $b_n = 729$.
    Используем формулу $n$-го члена: $b_n = b_1 \cdot q^{n-1}$.
    $729 = 1 \cdot (-3)^{n-1}$
    Поскольку $729 = 3^6$, а знаменатель отрицательный, то для получения положительного результата степень должна быть четной. Следовательно, $729 = (-3)^6$.
    $(-3)^6 = (-3)^{n-1}$
    Отсюда следует, что $n-1 = 6$, значит $n = 7$.
  3. Вычислим сумму прогрессии $S_n$.
    Теперь, зная $b_1=1$, $q=-3$ и $n=7$, найдем сумму по формуле:
    $S_7 = \frac{b_1(q^7 - 1)}{q-1} = \frac{1 \cdot ((-3)^7 - 1)}{-3 - 1} = \frac{-2187 - 1}{-4} = \frac{-2188}{-4} = 547$.

Ответ: 547

Помогло решение? Оставьте отзыв в комментариях ниже.

Присоединяйтесь к Телеграм-группе @gdz_by_belarus

Присоединиться

Мы подготовили для вас ответ c подробным объяснением домашего задания по алгебре за 9 класс, для упражнения номер 4.249 расположенного на странице 252 к учебнику 2019 года издания для учащихся школ и гимназий.

Теперь на нашем сайте ГДЗ.ТОП вы всегда легко и бесплатно найдёте условие с правильным ответом на вопрос «Как решить ДЗ» и «Как сделать» задание по алгебре к упражнению №4.249 (с. 252), авторов: Арефьева (Ирина Глебовна), Пирютко (Ольга Николаевна), учебного пособия издательства Народная асвета.