Номер 4.254, страница 252 - гдз по алгебре 9 класс учебник Арефьева, Пирютко

Алгебра, 9 класс Учебник, авторы: Арефьева Ирина Глебовна, Пирютко Ольга Николаевна, издательство Народная асвета, Минск, 2019, голубого цвета

Авторы: Арефьева И. Г., Пирютко О. Н.

Тип: Учебник

Издательство: Народная асвета

Год издания: 2019 - 2025

Цвет обложки: голубой, синий с графиком

ISBN: 978-985-03-3077-2

Допущено Министерством образования Республики Беларусь

Популярные ГДЗ в 9 классе

Глава 4. Прогрессии. Параграф 18. Формула суммы n первых членов геометрической прогрессии - номер 4.254, страница 252.

№4.254 (с. 252)
Условие. №4.254 (с. 252)
скриншот условия
Алгебра, 9 класс Учебник, авторы: Арефьева Ирина Глебовна, Пирютко Ольга Николаевна, издательство Народная асвета, Минск, 2019, голубого цвета, страница 252, номер 4.254, Условие

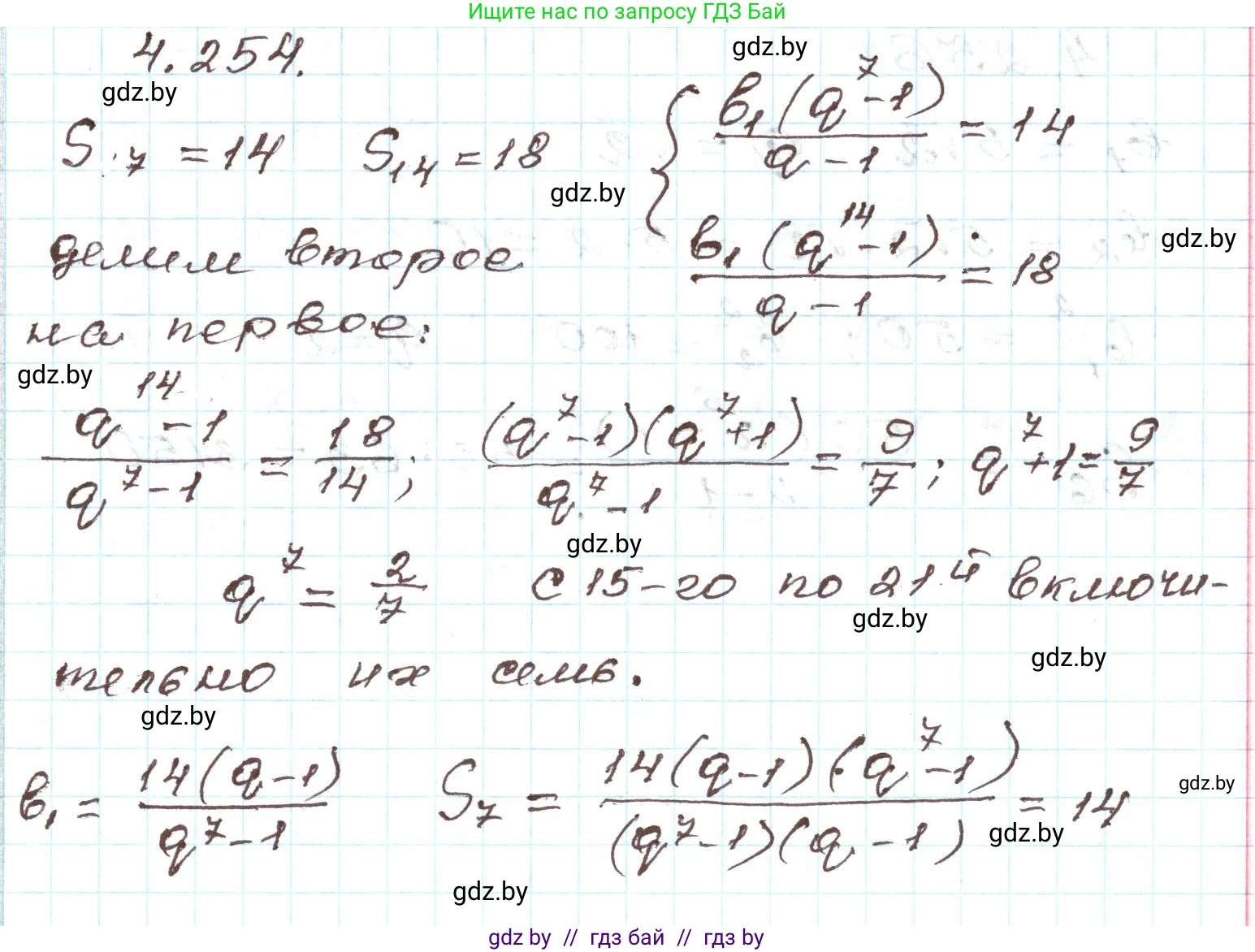
4.254*. В геометрической прогрессии $S_7 = 14$, $S_{14} = 18$. Найдите сумму членов этой прогрессии с 15-го по 21-й включительно.

Решение. №4.254 (с. 252)
Алгебра, 9 класс Учебник, авторы: Арефьева Ирина Глебовна, Пирютко Ольга Николаевна, издательство Народная асвета, Минск, 2019, голубого цвета, страница 252, номер 4.254, Решение
Решение 2. №4.254 (с. 252)

Пусть $b_n$ — геометрическая прогрессия с первым членом $b_1$ и знаменателем $q$. Сумма первых $n$ членов прогрессии $S_n$ вычисляется по формуле $S_n = \frac{b_1(q^n - 1)}{q - 1}$ (при $q \neq 1$).

Из условия задачи имеем:

$S_7 = \frac{b_1(q^7 - 1)}{q - 1} = 14$

$S_{14} = \frac{b_1(q^{14} - 1)}{q - 1} = 18$

Преобразуем выражение для $S_{14}$, используя формулу разности квадратов $a^2 - b^2 = (a-b)(a+b)$:

$S_{14} = \frac{b_1((q^7)^2 - 1)}{q - 1} = \frac{b_1(q^7 - 1)(q^7 + 1)}{q - 1}$

Так как $\frac{b_1(q^7 - 1)}{q - 1} = S_7$, мы можем переписать выражение для $S_{14}$ как:

$S_{14} = S_7 \cdot (q^7 + 1)$

Подставим известные значения $S_7=14$ и $S_{14}=18$ и найдем $q^7$:

$18 = 14 \cdot (q^7 + 1)$

$q^7 + 1 = \frac{18}{14} = \frac{9}{7}$

$q^7 = \frac{9}{7} - 1 = \frac{2}{7}$

Нам необходимо найти сумму членов с 15-го по 21-й включительно. Обозначим эту сумму $S_{15-21}$.

$S_{15-21} = b_{15} + b_{16} + \dots + b_{21}$

Выразим каждый член через $b_1$ и $q$:

$S_{15-21} = b_1q^{14} + b_1q^{15} + \dots + b_1q^{20}$

Вынесем общий множитель $q^{14}$:

$S_{15-21} = q^{14}(b_1 + b_1q + \dots + b_1q^6)$

Выражение в скобках является суммой первых 7 членов прогрессии, то есть $S_7$.

$S_{15-21} = q^{14} \cdot S_7 = (q^7)^2 \cdot S_7$

Подставим найденное значение $q^7 = \frac{2}{7}$ и данное значение $S_7=14$:

$S_{15-21} = \left(\frac{2}{7}\right)^2 \cdot 14 = \frac{4}{49} \cdot 14 = \frac{4 \cdot 14}{49} = \frac{56}{49} = \frac{8}{7}$

Чтобы выделить целую часть из неправильной дроби $\frac{8}{7}$, разделим 8 на 7:

$\frac{8}{7} = 1\frac{1}{7}$

Целая часть равна 1.

Найдите сумму членов этой прогрессии с 15-го по 21-й включительно. Ответ: 1

Помогло решение? Оставьте отзыв в комментариях ниже.

Присоединяйтесь к Телеграм-группе @gdz_by_belarus

Присоединиться

Мы подготовили для вас ответ c подробным объяснением домашего задания по алгебре за 9 класс, для упражнения номер 4.254 расположенного на странице 252 к учебнику 2019 года издания для учащихся школ и гимназий.

Теперь на нашем сайте ГДЗ.ТОП вы всегда легко и бесплатно найдёте условие с правильным ответом на вопрос «Как решить ДЗ» и «Как сделать» задание по алгебре к упражнению №4.254 (с. 252), авторов: Арефьева (Ирина Глебовна), Пирютко (Ольга Николаевна), учебного пособия издательства Народная асвета.