Номер 4.250, страница 252 - гдз по алгебре 9 класс учебник Арефьева, Пирютко

Алгебра, 9 класс Учебник, авторы: Арефьева Ирина Глебовна, Пирютко Ольга Николаевна, издательство Народная асвета, Минск, 2019, голубого цвета

Авторы: Арефьева И. Г., Пирютко О. Н.

Тип: Учебник

Издательство: Народная асвета

Год издания: 2019 - 2025

Цвет обложки: голубой, синий с графиком

ISBN: 978-985-03-3077-2

Допущено Министерством образования Республики Беларусь

Популярные ГДЗ в 9 классе

Глава 4. Прогрессии. Параграф 18. Формула суммы n первых членов геометрической прогрессии - номер 4.250, страница 252.

№4.250 (с. 252)
Условие. №4.250 (с. 252)
скриншот условия
Алгебра, 9 класс Учебник, авторы: Арефьева Ирина Глебовна, Пирютко Ольга Николаевна, издательство Народная асвета, Минск, 2019, голубого цвета, страница 252, номер 4.250, Условие

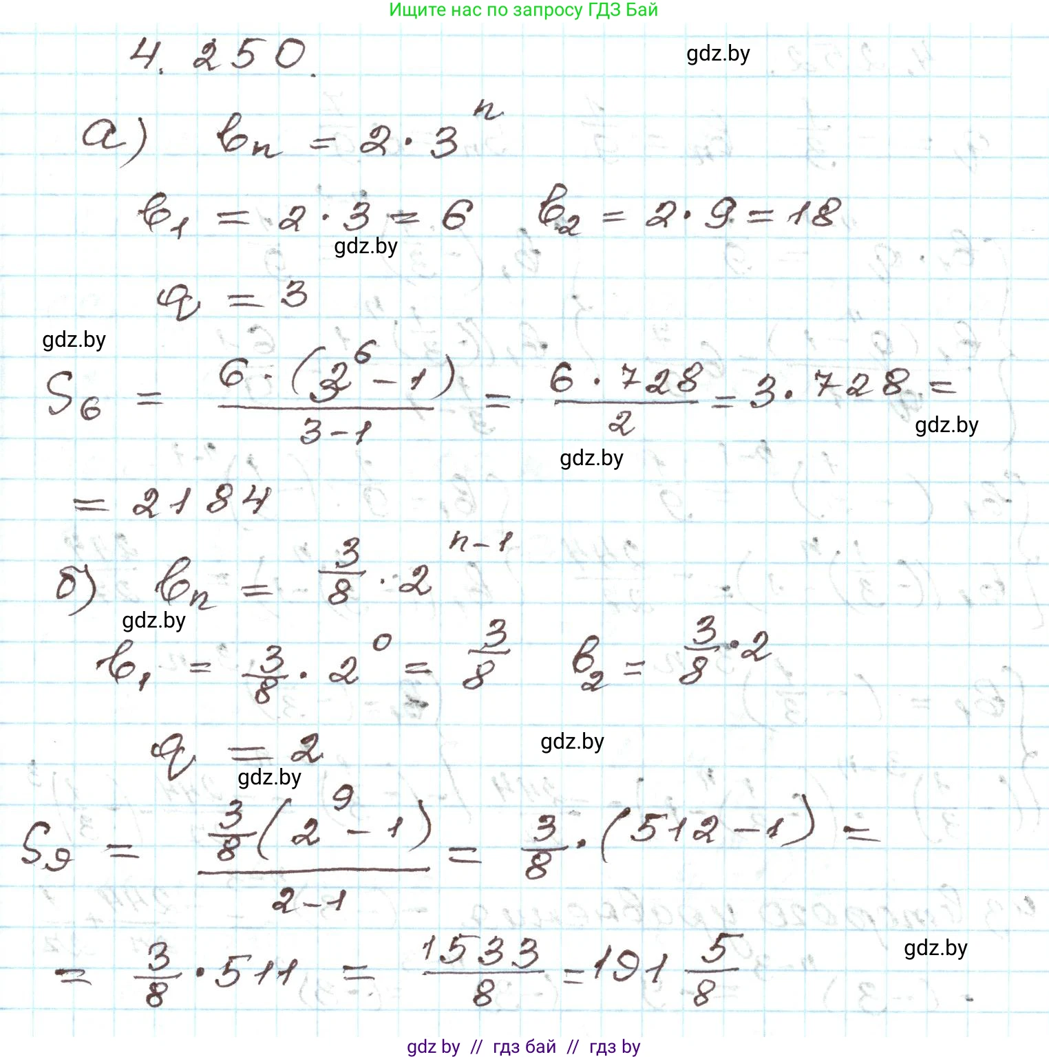
4.250. Геометрическая прогрессия задана формулой:

a) $b_n = 2 \cdot 3^n$; найдите $S_6$;

б) $b_n = \frac{3}{8} \cdot 2^{n-1}$; найдите $S_9$.

Решение. №4.250 (с. 252)
Алгебра, 9 класс Учебник, авторы: Арефьева Ирина Глебовна, Пирютко Ольга Николаевна, издательство Народная асвета, Минск, 2019, голубого цвета, страница 252, номер 4.250, Решение
Решение 2. №4.250 (с. 252)

a) Для нахождения суммы первых $n$ членов геометрической прогрессии используется формула:
$S_n = \frac{b_1(q^n - 1)}{q-1}$
где $b_1$ - первый член прогрессии, а $q$ - ее знаменатель.
Геометрическая прогрессия задана формулой $b_n = 2 \cdot 3^n$.
Найдем первый член $b_1$ и знаменатель $q$:
Первый член прогрессии $b_1$ (при $n=1$): $b_1 = 2 \cdot 3^1 = 6$.
Второй член прогрессии $b_2$ (при $n=2$): $b_2 = 2 \cdot 3^2 = 2 \cdot 9 = 18$.
Знаменатель прогрессии $q$: $q = \frac{b_2}{b_1} = \frac{18}{6} = 3$.
Теперь можем найти сумму первых 6 членов прогрессии ($n=6$):
$S_6 = \frac{b_1(q^6 - 1)}{q-1} = \frac{6(3^6 - 1)}{3-1} = \frac{6(729 - 1)}{2} = 3 \cdot 728 = 2184$.
Ответ: 2184.

б) Геометрическая прогрессия задана формулой $b_n = \frac{3}{8} \cdot 2^{n-1}$.
Эта формула уже представлена в стандартном виде $b_n = b_1 \cdot q^{n-1}$, из которого можно определить:
Первый член прогрессии $b_1 = \frac{3}{8}$.
Знаменатель прогрессии $q = 2$.
Найдем сумму первых 9 членов прогрессии ($n=9$) по формуле $S_n = \frac{b_1(q^n - 1)}{q-1}$:
$S_9 = \frac{\frac{3}{8}(2^9 - 1)}{2-1} = \frac{3}{8}(512 - 1) = \frac{3}{8} \cdot 511 = \frac{1533}{8}$.
Преобразуем полученную неправильную дробь в смешанное число, чтобы выделить целую часть:
$\frac{1533}{8} = 191\frac{5}{8}$.
Ответ: $191\frac{5}{8}$.

Помогло решение? Оставьте отзыв в комментариях ниже.

Присоединяйтесь к Телеграм-группе @gdz_by_belarus

Присоединиться

Мы подготовили для вас ответ c подробным объяснением домашего задания по алгебре за 9 класс, для упражнения номер 4.250 расположенного на странице 252 к учебнику 2019 года издания для учащихся школ и гимназий.

Теперь на нашем сайте ГДЗ.ТОП вы всегда легко и бесплатно найдёте условие с правильным ответом на вопрос «Как решить ДЗ» и «Как сделать» задание по алгебре к упражнению №4.250 (с. 252), авторов: Арефьева (Ирина Глебовна), Пирютко (Ольга Николаевна), учебного пособия издательства Народная асвета.