Номер 4.252, страница 252 - гдз по алгебре 9 класс учебник Арефьева, Пирютко

Алгебра, 9 класс Учебник, авторы: Арефьева Ирина Глебовна, Пирютко Ольга Николаевна, издательство Народная асвета, Минск, 2019, голубого цвета

Авторы: Арефьева И. Г., Пирютко О. Н.

Тип: Учебник

Издательство: Народная асвета

Год издания: 2019 - 2025

Цвет обложки: голубой, синий с графиком

ISBN: 978-985-03-3077-2

Допущено Министерством образования Республики Беларусь

Популярные ГДЗ в 9 классе

Глава 4. Прогрессии. Параграф 18. Формула суммы n первых членов геометрической прогрессии - номер 4.252, страница 252.

№4.252 (с. 252)
Условие. №4.252 (с. 252)
скриншот условия
Алгебра, 9 класс Учебник, авторы: Арефьева Ирина Глебовна, Пирютко Ольга Николаевна, издательство Народная асвета, Минск, 2019, голубого цвета, страница 252, номер 4.252, Условие

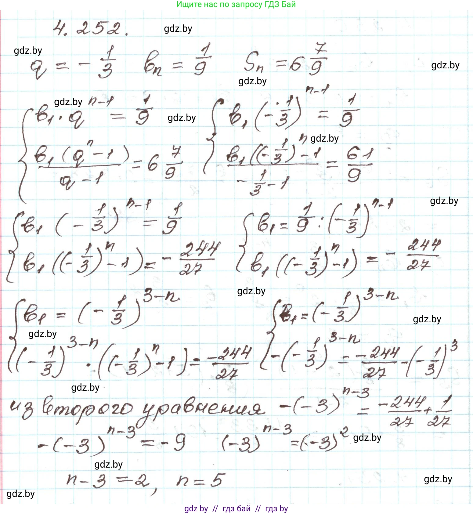
4.252*. Найдите количество членов геометрической прогрессии, в которой $q = -\frac{1}{3}$, $b_n = \frac{1}{9}$, $S_n = 6\frac{7}{9}$.

Решение. №4.252 (с. 252)
Алгебра, 9 класс Учебник, авторы: Арефьева Ирина Глебовна, Пирютко Ольга Николаевна, издательство Народная асвета, Минск, 2019, голубого цвета, страница 252, номер 4.252, Решение
Решение 2. №4.252 (с. 252)

Для нахождения количества членов $n$ геометрической прогрессии, в которой известны знаменатель $q = -\frac{1}{3}$, n-й член $b_n = \frac{1}{9}$ и сумма первых n членов $S_n = 6\frac{7}{9}$, необходимо выполнить два основных шага: найти первый член прогрессии $b_1$, а затем найти количество членов $n$.

Шаг 1: Нахождение первого члена прогрессии $b_1$.

Воспользуемся формулой суммы геометрической прогрессии: $S_n = \frac{b_1 - b_n q}{1-q}$.

Сначала представим сумму $S_n$ в виде неправильной дроби:

$S_n = 6\frac{7}{9} = \frac{6 \times 9 + 7}{9} = \frac{61}{9}$

Теперь подставим все известные значения в формулу суммы:

$\frac{61}{9} = \frac{b_1 - \frac{1}{9} \cdot (-\frac{1}{3})}{1 - (-\frac{1}{3})}$

Упростим выражение в правой части:

$\frac{61}{9} = \frac{b_1 + \frac{1}{27}}{1 + \frac{1}{3}} = \frac{b_1 + \frac{1}{27}}{\frac{4}{3}}$

Решим полученное уравнение относительно $b_1$:

$b_1 + \frac{1}{27} = \frac{61}{9} \cdot \frac{4}{3} = \frac{244}{27}$

$b_1 = \frac{244}{27} - \frac{1}{27} = \frac{243}{27} = 9$

Шаг 2: Нахождение количества членов $n$.

Теперь, когда мы знаем первый член $b_1 = 9$, воспользуемся формулой n-го члена прогрессии $b_n = b_1 \cdot q^{n-1}$:

$\frac{1}{9} = 9 \cdot (-\frac{1}{3})^{n-1}$

Разделим обе части уравнения на 9:

$\frac{1}{9 \cdot 9} = (-\frac{1}{3})^{n-1}$

$\frac{1}{81} = (-\frac{1}{3})^{n-1}$

Представим $\frac{1}{81}$ как степень с основанием $(-\frac{1}{3})$. Поскольку $81 = 3^4$, то $\frac{1}{81} = (\frac{1}{3})^4$. Так как показатель степени 4 является четным числом, мы можем записать $(\frac{1}{3})^4 = (-\frac{1}{3})^4$.

Таким образом, уравнение принимает вид:

$(-\frac{1}{3})^4 = (-\frac{1}{3})^{n-1}$

Так как основания степеней равны, их показатели также должны быть равны:

$n - 1 = 4$

$n = 5$

Количество членов геометрической прогрессии: Ответ: 5.

Помогло решение? Оставьте отзыв в комментариях ниже.

Присоединяйтесь к Телеграм-группе @gdz_by_belarus

Присоединиться

Мы подготовили для вас ответ c подробным объяснением домашего задания по алгебре за 9 класс, для упражнения номер 4.252 расположенного на странице 252 к учебнику 2019 года издания для учащихся школ и гимназий.

Теперь на нашем сайте ГДЗ.ТОП вы всегда легко и бесплатно найдёте условие с правильным ответом на вопрос «Как решить ДЗ» и «Как сделать» задание по алгебре к упражнению №4.252 (с. 252), авторов: Арефьева (Ирина Глебовна), Пирютко (Ольга Николаевна), учебного пособия издательства Народная асвета.