Номер 3.29, страница 235 - гдз по алгебре 10 класс учебник Арефьева, Пирютко

Алгебра, 10 класс Учебник, авторы: Арефьева Ирина Глебовна, Пирютко Ольга Николаевна, издательство Народная асвета, Минск, 2019, голубого цвета

Авторы: Арефьева И. Г., Пирютко О. Н.

Тип: Учебник

Издательство: Народная асвета

Год издания: 2019 - 2025

Цвет обложки: голубой с графиком

Допущено Министерством образования Республики Беларусь

Популярные ГДЗ в 10 классе

Глава 3. Производная. Параграф 19. Правила вычисления производных - номер 3.29, страница 235.

№3.29 (с. 235)
Условие. №3.29 (с. 235)
скриншот условия
Алгебра, 10 класс Учебник, авторы: Арефьева Ирина Глебовна, Пирютко Ольга Николаевна, издательство Народная асвета, Минск, 2019, голубого цвета, страница 235, номер 3.29, Условие

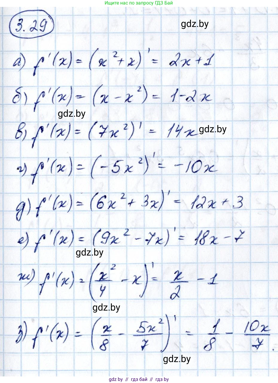
3.29. Найдите производную функции:

а) $f(x) = x^2 + x;$

б) $f(x) = x - x^2;$

в) $f(x) = 7x^2;$

г) $f(x) = -5x^2;$

д) $f(x) = 6x^2 + 3x;$

е) $f(x) = 9x^2 - 7x;$

ж) $f(x) = \frac{x^2}{4} - x;$

з) $f(x) = \frac{x}{8} - \frac{5x^2}{7}.$

Решение. №3.29 (с. 235)
Алгебра, 10 класс Учебник, авторы: Арефьева Ирина Глебовна, Пирютко Ольга Николаевна, издательство Народная асвета, Минск, 2019, голубого цвета, страница 235, номер 3.29, Решение
Решение 2. №3.29 (с. 235)

Для нахождения производной функции будем использовать следующие основные правила и формулы дифференцирования:

  • Производная суммы/разности функций: $(u \pm v)' = u' \pm v'$
  • Производная произведения константы на функцию: $(c \cdot f(x))' = c \cdot f'(x)$
  • Производная степенной функции: $(x^n)' = n \cdot x^{n-1}$
  • В частности, $(x)' = 1$ и производная константы $(c)' = 0$.

а) Дана функция $f(x) = x^2 + x$.
Применяем правило дифференцирования суммы: $f'(x) = (x^2 + x)' = (x^2)' + (x)'$.
Находим производную каждого слагаемого по формуле степенной функции: $(x^2)' = 2x^{2-1} = 2x$.
$(x)' = 1$.
Складываем результаты: $f'(x) = 2x + 1$.
Ответ: $2x + 1$.

б) Дана функция $f(x) = x - x^2$.
Применяем правило дифференцирования разности: $f'(x) = (x - x^2)' = (x)' - (x^2)'$.
Находим производную каждого члена: $(x)' = 1$.
$(x^2)' = 2x$.
Получаем: $f'(x) = 1 - 2x$.
Ответ: $1 - 2x$.

в) Дана функция $f(x) = 7x^2$.
Применяем правило вынесения константы за знак производной и формулу для степенной функции: $f'(x) = (7x^2)' = 7 \cdot (x^2)' = 7 \cdot (2x) = 14x$.
Ответ: $14x$.

г) Дана функция $f(x) = -5x^2$.
Аналогично предыдущему пункту: $f'(x) = (-5x^2)' = -5 \cdot (x^2)' = -5 \cdot (2x) = -10x$.
Ответ: $-10x$.

д) Дана функция $f(x) = 6x^2 + 3x$.
Применяем правило дифференцирования суммы: $f'(x) = (6x^2 + 3x)' = (6x^2)' + (3x)'$.
Находим производную каждого слагаемого: $(6x^2)' = 6 \cdot (x^2)' = 6 \cdot 2x = 12x$.
$(3x)' = 3 \cdot (x)' = 3 \cdot 1 = 3$.
Складываем результаты: $f'(x) = 12x + 3$.
Ответ: $12x + 3$.

е) Дана функция $f(x) = 9x^2 - 7x$.
Применяем правило дифференцирования разности: $f'(x) = (9x^2 - 7x)' = (9x^2)' - (7x)'$.
Находим производную каждого члена: $(9x^2)' = 9 \cdot (x^2)' = 9 \cdot 2x = 18x$.
$(7x)' = 7 \cdot (x)' = 7 \cdot 1 = 7$.
Получаем: $f'(x) = 18x - 7$.
Ответ: $18x - 7$.

ж) Дана функция $f(x) = \frac{x^2}{4} - x$.
Перепишем функцию для удобства: $f(x) = \frac{1}{4}x^2 - x$.
Применяем правило дифференцирования разности: $f'(x) = (\frac{1}{4}x^2 - x)' = (\frac{1}{4}x^2)' - (x)'$.
Находим производную каждого члена: $(\frac{1}{4}x^2)' = \frac{1}{4} \cdot (x^2)' = \frac{1}{4} \cdot 2x = \frac{2x}{4} = \frac{x}{2}$.
$(x)' = 1$.
Получаем: $f'(x) = \frac{x}{2} - 1$.
Ответ: $\frac{x}{2} - 1$.

з) Дана функция $f(x) = \frac{x}{8} - \frac{5x^2}{7}$.
Перепишем функцию для удобства: $f(x) = \frac{1}{8}x - \frac{5}{7}x^2$.
Применяем правило дифференцирования разности: $f'(x) = (\frac{1}{8}x - \frac{5}{7}x^2)' = (\frac{1}{8}x)' - (\frac{5}{7}x^2)'$.
Находим производную каждого члена: $(\frac{1}{8}x)' = \frac{1}{8} \cdot (x)' = \frac{1}{8} \cdot 1 = \frac{1}{8}$.
$(\frac{5}{7}x^2)' = \frac{5}{7} \cdot (x^2)' = \frac{5}{7} \cdot 2x = \frac{10}{7}x$.
Получаем: $f'(x) = \frac{1}{8} - \frac{10}{7}x$.
Коэффициент при $x$ является неправильной дробью $\frac{10}{7}$. Выделим из него целую часть: $\frac{10}{7} = 1\frac{3}{7}$.
Ответ: $\frac{1}{8} - 1\frac{3}{7}x$.

Помогло решение? Оставьте отзыв в комментариях ниже.

Присоединяйтесь к Телеграм-группе @gdz_by_belarus

Присоединиться

Мы подготовили для вас ответ c подробным объяснением домашего задания по алгебре за 10 класс, для упражнения номер 3.29 расположенного на странице 235 к учебнику 2019 года издания для учащихся школ и гимназий.

Теперь на нашем сайте ГДЗ.ТОП вы всегда легко и бесплатно найдёте условие с правильным ответом на вопрос «Как решить ДЗ» и «Как сделать» задание по алгебре к упражнению №3.29 (с. 235), авторов: Арефьева (Ирина Глебовна), Пирютко (Ольга Николаевна), учебного пособия издательства Народная асвета.