Номер 3.34, страница 236 - гдз по алгебре 10 класс учебник Арефьева, Пирютко

Алгебра, 10 класс Учебник, авторы: Арефьева Ирина Глебовна, Пирютко Ольга Николаевна, издательство Народная асвета, Минск, 2019, голубого цвета

Авторы: Арефьева И. Г., Пирютко О. Н.

Тип: Учебник

Издательство: Народная асвета

Год издания: 2019 - 2025

Цвет обложки: голубой с графиком

Допущено Министерством образования Республики Беларусь

Популярные ГДЗ в 10 классе

Глава 3. Производная. Параграф 19. Правила вычисления производных - номер 3.34, страница 236.

№3.34 (с. 236)
Условие. №3.34 (с. 236)
скриншот условия
Алгебра, 10 класс Учебник, авторы: Арефьева Ирина Глебовна, Пирютко Ольга Николаевна, издательство Народная асвета, Минск, 2019, голубого цвета, страница 236, номер 3.34, Условие

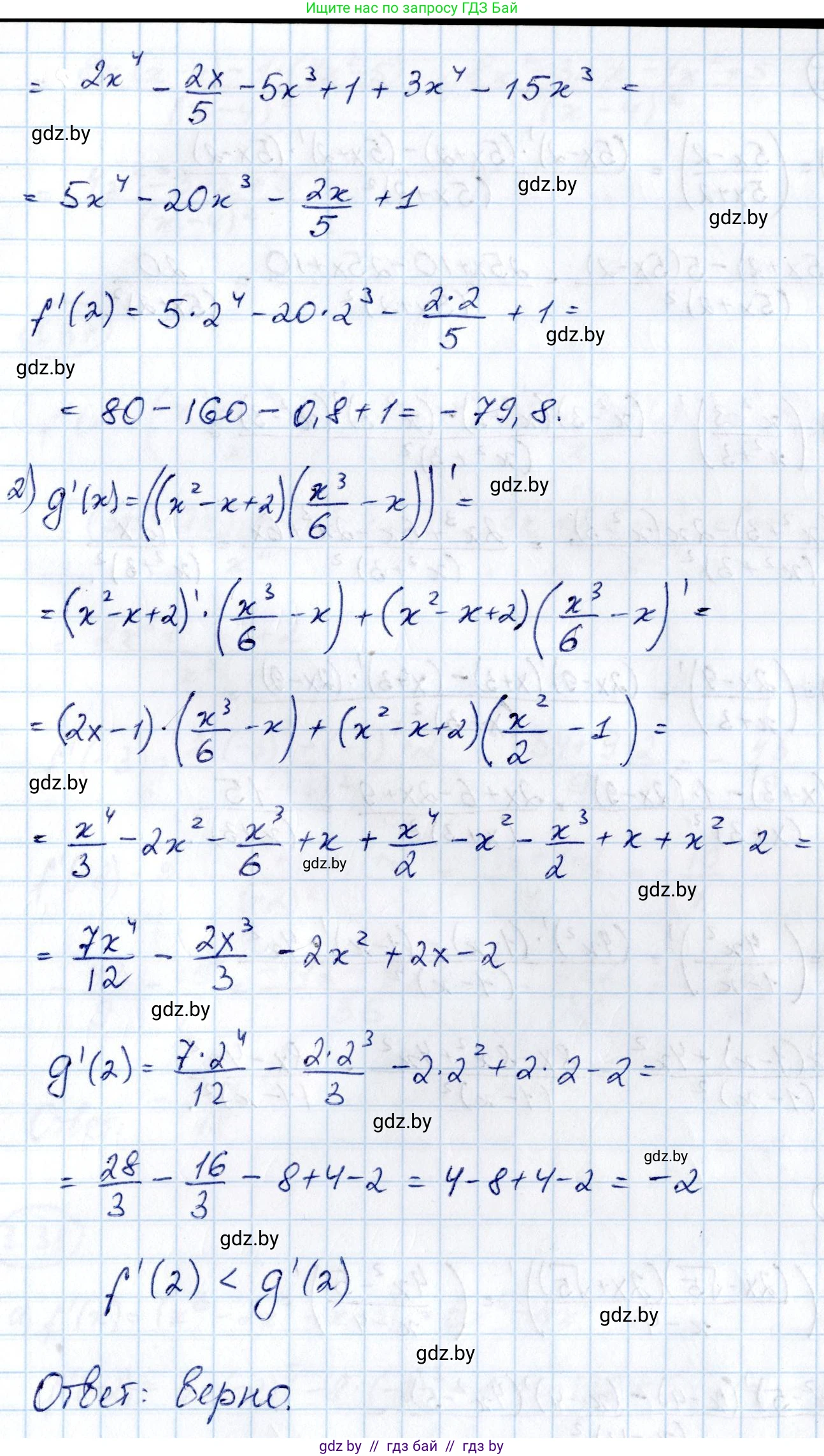
3.34. Верно ли, что $f'(2) < g'(2)$, если $f(x) = \left(\frac{x^2}{5} - x\right)(5x^3 - 1)$, а $g(x) = (x^2 - x + 2)\left(\frac{x^3}{6} - x\right)$?

Решение. №3.34 (с. 236)
Алгебра, 10 класс Учебник, авторы: Арефьева Ирина Глебовна, Пирютко Ольга Николаевна, издательство Народная асвета, Минск, 2019, голубого цвета, страница 236, номер 3.34, Решение Алгебра, 10 класс Учебник, авторы: Арефьева Ирина Глебовна, Пирютко Ольга Николаевна, издательство Народная асвета, Минск, 2019, голубого цвета, страница 236, номер 3.34, Решение (продолжение 2)
Решение 2. №3.34 (с. 236)

Для того чтобы проверить, верно ли утверждение $f'(2) < g'(2)$, необходимо найти производные заданных функций и вычислить их значения в точке $x=2$.

1. Нахождение значения $f'(2)$

Задана функция $f(x) = (\frac{x^2}{5} - x)(5x^3 - 1)$.

Для нахождения производной функции, представленной в виде произведения двух множителей, воспользуемся правилом производной произведения: $(u \cdot v)' = u'v + uv'$.

Пусть $u(x) = \frac{x^2}{5} - x$ и $v(x) = 5x^3 - 1$.

Найдём их производные:

$u'(x) = (\frac{x^2}{5} - x)' = \frac{2x}{5} - 1$

$v'(x) = (5x^3 - 1)' = 15x^2$

Теперь найдём производную $f'(x)$:

$f'(x) = (\frac{2x}{5} - 1)(5x^3 - 1) + (\frac{x^2}{5} - x)(15x^2)$

Вычислим значение производной в точке $x=2$:

$f'(2) = (\frac{2 \cdot 2}{5} - 1)(5 \cdot 2^3 - 1) + (\frac{2^2}{5} - 2)(15 \cdot 2^2)$

$f'(2) = (\frac{4}{5} - 1)(5 \cdot 8 - 1) + (\frac{4}{5} - 2)(15 \cdot 4)$

$f'(2) = (-\frac{1}{5})(39) + (-\frac{6}{5})(60)$

$f'(2) = -\frac{39}{5} - \frac{360}{5} = -\frac{399}{5}$

Ответ: $f'(2) = -\frac{399}{5} = \mathbf{-79}\frac{4}{5}$.

2. Нахождение значения $g'(2)$

Задана функция $g(x) = (x^2 - x + 2)(\frac{x^3}{6} - x)$.

Аналогично, применим правило производной произведения.

Пусть $u(x) = x^2 - x + 2$ и $v(x) = \frac{x^3}{6} - x$.

Найдём их производные:

$u'(x) = (x^2 - x + 2)' = 2x - 1$

$v'(x) = (\frac{x^3}{6} - x)' = \frac{3x^2}{6} - 1 = \frac{x^2}{2} - 1$

Теперь найдём производную $g'(x)$:

$g'(x) = (2x - 1)(\frac{x^3}{6} - x) + (x^2 - x + 2)(\frac{x^2}{2} - 1)$

Вычислим значение производной в точке $x=2$:

$g'(2) = (2 \cdot 2 - 1)(\frac{2^3}{6} - 2) + (2^2 - 2 + 2)(\frac{2^2}{2} - 1)$

$g'(2) = (3)(\frac{8}{6} - 2) + (4)(\frac{4}{2} - 1)$

$g'(2) = 3(\frac{4}{3} - \frac{6}{3}) + 4(2 - 1)$

$g'(2) = 3(-\frac{2}{3}) + 4(1) = -2 + 4 = 2$

Ответ: $g'(2) = \mathbf{2}$.

3. Сравнение и вывод

Мы получили значения производных: $f'(2) = -79\frac{4}{5}$ и $g'(2) = 2$.

Теперь проверим исходное неравенство $f'(2) < g'(2)$:

$-79\frac{4}{5} < 2$

Это неравенство верно, так как любое отрицательное число меньше любого положительного числа.

Итоговый ответ: Да, утверждение верно.

Помогло решение? Оставьте отзыв в комментариях ниже.

Присоединяйтесь к Телеграм-группе @gdz_by_belarus

Присоединиться

Мы подготовили для вас ответ c подробным объяснением домашего задания по алгебре за 10 класс, для упражнения номер 3.34 расположенного на странице 236 к учебнику 2019 года издания для учащихся школ и гимназий.

Теперь на нашем сайте ГДЗ.ТОП вы всегда легко и бесплатно найдёте условие с правильным ответом на вопрос «Как решить ДЗ» и «Как сделать» задание по алгебре к упражнению №3.34 (с. 236), авторов: Арефьева (Ирина Глебовна), Пирютко (Ольга Николаевна), учебного пособия издательства Народная асвета.