Номер 3.30, страница 235 - гдз по алгебре 10 класс учебник Арефьева, Пирютко

Алгебра, 10 класс Учебник, авторы: Арефьева Ирина Глебовна, Пирютко Ольга Николаевна, издательство Народная асвета, Минск, 2019, голубого цвета

Авторы: Арефьева И. Г., Пирютко О. Н.

Тип: Учебник

Издательство: Народная асвета

Год издания: 2019 - 2025

Цвет обложки: голубой с графиком

Допущено Министерством образования Республики Беларусь

Популярные ГДЗ в 10 классе

Глава 3. Производная. Параграф 19. Правила вычисления производных - номер 3.30, страница 235.

№3.30 (с. 235)
Условие. №3.30 (с. 235)
скриншот условия
Алгебра, 10 класс Учебник, авторы: Арефьева Ирина Глебовна, Пирютко Ольга Николаевна, издательство Народная асвета, Минск, 2019, голубого цвета, страница 235, номер 3.30, Условие

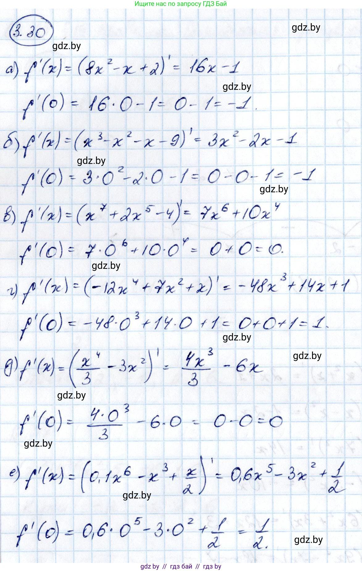
3.30. Найдите $f'(0)$ для функции:

a) $f(x) = 8x^2 - x + 2$;

б) $f(x) = x^3 - x^2 - x - 9$;

в) $f(x) = x^7 + 2x^5 - 4$;

г) $f(x) = -12x^4 + 7x^2 + x$;

д) $f(x) = \frac{x^4}{3} - 3x^2$;

е) $f(x) = 0.1x^6 - x^3 + \frac{x}{2}$.

Решение. №3.30 (с. 235)
Алгебра, 10 класс Учебник, авторы: Арефьева Ирина Глебовна, Пирютко Ольга Николаевна, издательство Народная асвета, Минск, 2019, голубого цвета, страница 235, номер 3.30, Решение
Решение 2. №3.30 (с. 235)

Чтобы найти значение производной $f'(0)$ для каждой функции, необходимо сначала найти производную $f'(x)$, а затем подставить в нее значение $x=0$.

Для нахождения производной многочлена используются следующие правила:

  • Производная степенной функции: $(x^n)' = nx^{n-1}$
  • Производная суммы/разности функций: $(u \pm v)' = u' \pm v'$
  • Вынесение константы за знак производной: $(c \cdot u)' = c \cdot u'$
  • Производная константы: $(c)' = 0$

а) Дана функция $f(x) = 8x^2 - x + 2$.

1. Находим производную функции:

$f'(x) = (8x^2 - x + 2)' = (8x^2)' - (x)' + (2)' = 8 \cdot 2x - 1 + 0 = 16x - 1$.

2. Вычисляем значение производной в точке $x=0$:

$f'(0) = 16 \cdot 0 - 1 = -1$.

Ответ: -1

б) Дана функция $f(x) = x^3 - x^2 - x - 9$.

1. Находим производную функции:

$f'(x) = (x^3 - x^2 - x - 9)' = (x^3)' - (x^2)' - (x)' - (9)' = 3x^2 - 2x - 1 - 0 = 3x^2 - 2x - 1$.

2. Вычисляем значение производной в точке $x=0$:

$f'(0) = 3 \cdot 0^2 - 2 \cdot 0 - 1 = -1$.

Ответ: -1

в) Дана функция $f(x) = x^7 + 2x^5 - 4$.

1. Находим производную функции:

$f'(x) = (x^7 + 2x^5 - 4)' = (x^7)' + (2x^5)' - (4)' = 7x^6 + 2 \cdot 5x^4 - 0 = 7x^6 + 10x^4$.

2. Вычисляем значение производной в точке $x=0$:

$f'(0) = 7 \cdot 0^6 + 10 \cdot 0^4 = 0$.

Ответ: 0

г) Дана функция $f(x) = -12x^4 + 7x^2 + x$.

1. Находим производную функции:

$f'(x) = (-12x^4 + 7x^2 + x)' = (-12x^4)' + (7x^2)' + (x)' = -12 \cdot 4x^3 + 7 \cdot 2x + 1 = -48x^3 + 14x + 1$.

2. Вычисляем значение производной в точке $x=0$:

$f'(0) = -48 \cdot 0^3 + 14 \cdot 0 + 1 = 1$.

Ответ: 1

д) Дана функция $f(x) = \frac{x^4}{3} - 3x^2$.

1. Находим производную функции:

$f'(x) = (\frac{x^4}{3} - 3x^2)' = (\frac{1}{3}x^4)' - (3x^2)' = \frac{1}{3} \cdot 4x^3 - 3 \cdot 2x = \frac{4}{3}x^3 - 6x$.

2. Вычисляем значение производной в точке $x=0$:

$f'(0) = \frac{4}{3} \cdot 0^3 - 6 \cdot 0 = 0$.

Ответ: 0

е) Дана функция $f(x) = 0,1x^6 - x^3 + \frac{x}{2}$.

1. Находим производную функции:

$f'(x) = (0,1x^6 - x^3 + \frac{x}{2})' = (0,1x^6)' - (x^3)' + (\frac{1}{2}x)' = 0,1 \cdot 6x^5 - 3x^2 + \frac{1}{2} = 0,6x^5 - 3x^2 + \frac{1}{2}$.

2. Вычисляем значение производной в точке $x=0$:

$f'(0) = 0,6 \cdot 0^5 - 3 \cdot 0^2 + \frac{1}{2} = \frac{1}{2}$.

Ответ: $\frac{1}{2}$

Помогло решение? Оставьте отзыв в комментариях ниже.

Присоединяйтесь к Телеграм-группе @gdz_by_belarus

Присоединиться

Мы подготовили для вас ответ c подробным объяснением домашего задания по алгебре за 10 класс, для упражнения номер 3.30 расположенного на странице 235 к учебнику 2019 года издания для учащихся школ и гимназий.

Теперь на нашем сайте ГДЗ.ТОП вы всегда легко и бесплатно найдёте условие с правильным ответом на вопрос «Как решить ДЗ» и «Как сделать» задание по алгебре к упражнению №3.30 (с. 235), авторов: Арефьева (Ирина Глебовна), Пирютко (Ольга Николаевна), учебного пособия издательства Народная асвета.