Номер 3.33, страница 235 - гдз по алгебре 10 класс учебник Арефьева, Пирютко

Алгебра, 10 класс Учебник, авторы: Арефьева Ирина Глебовна, Пирютко Ольга Николаевна, издательство Народная асвета, Минск, 2019, голубого цвета

Авторы: Арефьева И. Г., Пирютко О. Н.

Тип: Учебник

Издательство: Народная асвета

Год издания: 2019 - 2025

Цвет обложки: голубой с графиком

Допущено Министерством образования Республики Беларусь

Популярные ГДЗ в 10 классе

Глава 3. Производная. Параграф 19. Правила вычисления производных - номер 3.33, страница 235.

№3.33 (с. 235)
Условие. №3.33 (с. 235)
скриншот условия
Алгебра, 10 класс Учебник, авторы: Арефьева Ирина Глебовна, Пирютко Ольга Николаевна, издательство Народная асвета, Минск, 2019, голубого цвета, страница 235, номер 3.33, Условие

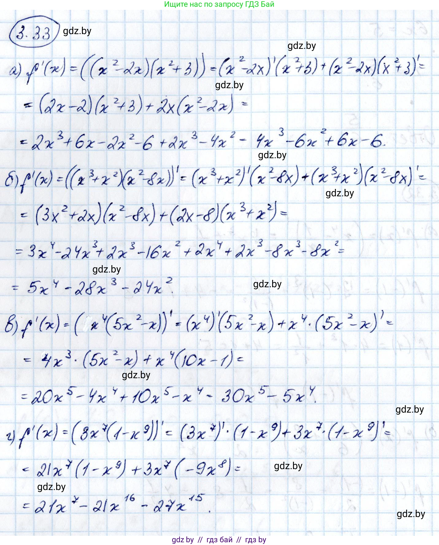
3.33. Найдите производную функции, используя правило нахождения производной произведения:

а) $f(x) = (x^2 - 2x)(x^2 + 3)$;

б) $f(x) = (x^3 + x^2)(x^2 - 8x)$;

в) $f(x) = x^4(5x^2 - x)$;

г) $f(x) = 3x^7(1 - x^9)$.

Решение. №3.33 (с. 235)
Алгебра, 10 класс Учебник, авторы: Арефьева Ирина Глебовна, Пирютко Ольга Николаевна, издательство Народная асвета, Минск, 2019, голубого цвета, страница 235, номер 3.33, Решение
Решение 2. №3.33 (с. 235)

Для нахождения производной функции, представленной в виде произведения двух функций $u(x)$ и $v(x)$, используется правило производной произведения:

$(u \cdot v)' = u' \cdot v + u \cdot v'$

а) Дана функция $f(x) = (x^2 - 2x)(x^2 + 3)$.

Обозначим множители: $u(x) = x^2 - 2x$ и $v(x) = x^2 + 3$.

Найдем их производные:

$u'(x) = (x^2 - 2x)' = 2x - 2$

$v'(x) = (x^2 + 3)' = 2x$

Применим правило производной произведения:

$f'(x) = u'(x)v(x) + u(x)v'(x) = (2x - 2)(x^2 + 3) + (x^2 - 2x)(2x)$

Раскроем скобки и упростим полученное выражение:

$f'(x) = (2x \cdot x^2 + 2x \cdot 3 - 2 \cdot x^2 - 2 \cdot 3) + (x^2 \cdot 2x - 2x \cdot 2x)$

$f'(x) = (2x^3 + 6x - 2x^2 - 6) + (2x^3 - 4x^2)$

Приведем подобные слагаемые:

$f'(x) = 2x^3 + 2x^3 - 2x^2 - 4x^2 + 6x - 6$

$f'(x) = 4x^3 - 6x^2 + 6x - 6$

Ответ: $4x^3 - 6x^2 + 6x - 6$.

б) Дана функция $f(x) = (x^3 + x^2)(x^2 - 8x)$.

Обозначим множители: $u(x) = x^3 + x^2$ и $v(x) = x^2 - 8x$.

Найдем их производные:

$u'(x) = (x^3 + x^2)' = 3x^2 + 2x$

$v'(x) = (x^2 - 8x)' = 2x - 8$

Применим правило производной произведения:

$f'(x) = u'(x)v(x) + u(x)v'(x) = (3x^2 + 2x)(x^2 - 8x) + (x^3 + x^2)(2x - 8)$

Раскроем скобки и упростим выражение:

$f'(x) = (3x^4 - 24x^3 + 2x^3 - 16x^2) + (2x^4 - 8x^3 + 2x^3 - 8x^2)$

$f'(x) = (3x^4 - 22x^3 - 16x^2) + (2x^4 - 6x^3 - 8x^2)$

Приведем подобные слагаемые:

$f'(x) = 3x^4 + 2x^4 - 22x^3 - 6x^3 - 16x^2 - 8x^2$

$f'(x) = 5x^4 - 28x^3 - 24x^2$

Ответ: $5x^4 - 28x^3 - 24x^2$.

в) Дана функция $f(x) = x^4(5x^2 - x)$.

Обозначим множители: $u(x) = x^4$ и $v(x) = 5x^2 - x$.

Найдем их производные:

$u'(x) = (x^4)' = 4x^3$

$v'(x) = (5x^2 - x)' = 10x - 1$

Применим правило производной произведения:

$f'(x) = u'(x)v(x) + u(x)v'(x) = (4x^3)(5x^2 - x) + (x^4)(10x - 1)$

Раскроем скобки и упростим выражение:

$f'(x) = (20x^5 - 4x^4) + (10x^5 - x^4)$

$f'(x) = 20x^5 + 10x^5 - 4x^4 - x^4$

$f'(x) = 30x^5 - 5x^4$

Ответ: $30x^5 - 5x^4$.

г) Дана функция $f(x) = 3x^7(1 - x^9)$.

Обозначим множители: $u(x) = 3x^7$ и $v(x) = 1 - x^9$.

Найдем их производные:

$u'(x) = (3x^7)' = 21x^6$

$v'(x) = (1 - x^9)' = -9x^8$

Применим правило производной произведения:

$f'(x) = u'(x)v(x) + u(x)v'(x) = (21x^6)(1 - x^9) + (3x^7)(-9x^8)$

Раскроем скобки и упростим выражение:

$f'(x) = (21x^6 - 21x^{15}) - 27x^{15}$

$f'(x) = 21x^6 - 21x^{15} - 27x^{15}$

$f'(x) = 21x^6 - 48x^{15}$

Ответ: $21x^6 - 48x^{15}$.

Помогло решение? Оставьте отзыв в комментариях ниже.

Присоединяйтесь к Телеграм-группе @gdz_by_belarus

Присоединиться

Мы подготовили для вас ответ c подробным объяснением домашего задания по алгебре за 10 класс, для упражнения номер 3.33 расположенного на странице 235 к учебнику 2019 года издания для учащихся школ и гимназий.

Теперь на нашем сайте ГДЗ.ТОП вы всегда легко и бесплатно найдёте условие с правильным ответом на вопрос «Как решить ДЗ» и «Как сделать» задание по алгебре к упражнению №3.33 (с. 235), авторов: Арефьева (Ирина Глебовна), Пирютко (Ольга Николаевна), учебного пособия издательства Народная асвета.