Номер 3.32, страница 235 - гдз по алгебре 10 класс учебник Арефьева, Пирютко

Алгебра, 10 класс Учебник, авторы: Арефьева Ирина Глебовна, Пирютко Ольга Николаевна, издательство Народная асвета, Минск, 2019, голубого цвета

Авторы: Арефьева И. Г., Пирютко О. Н.

Тип: Учебник

Издательство: Народная асвета

Год издания: 2019 - 2025

Цвет обложки: голубой с графиком

Допущено Министерством образования Республики Беларусь

Популярные ГДЗ в 10 классе

Глава 3. Производная. Параграф 19. Правила вычисления производных - номер 3.32, страница 235.

№3.32 (с. 235)
Условие. №3.32 (с. 235)
скриншот условия
Алгебра, 10 класс Учебник, авторы: Арефьева Ирина Глебовна, Пирютко Ольга Николаевна, издательство Народная асвета, Минск, 2019, голубого цвета, страница 235, номер 3.32, Условие

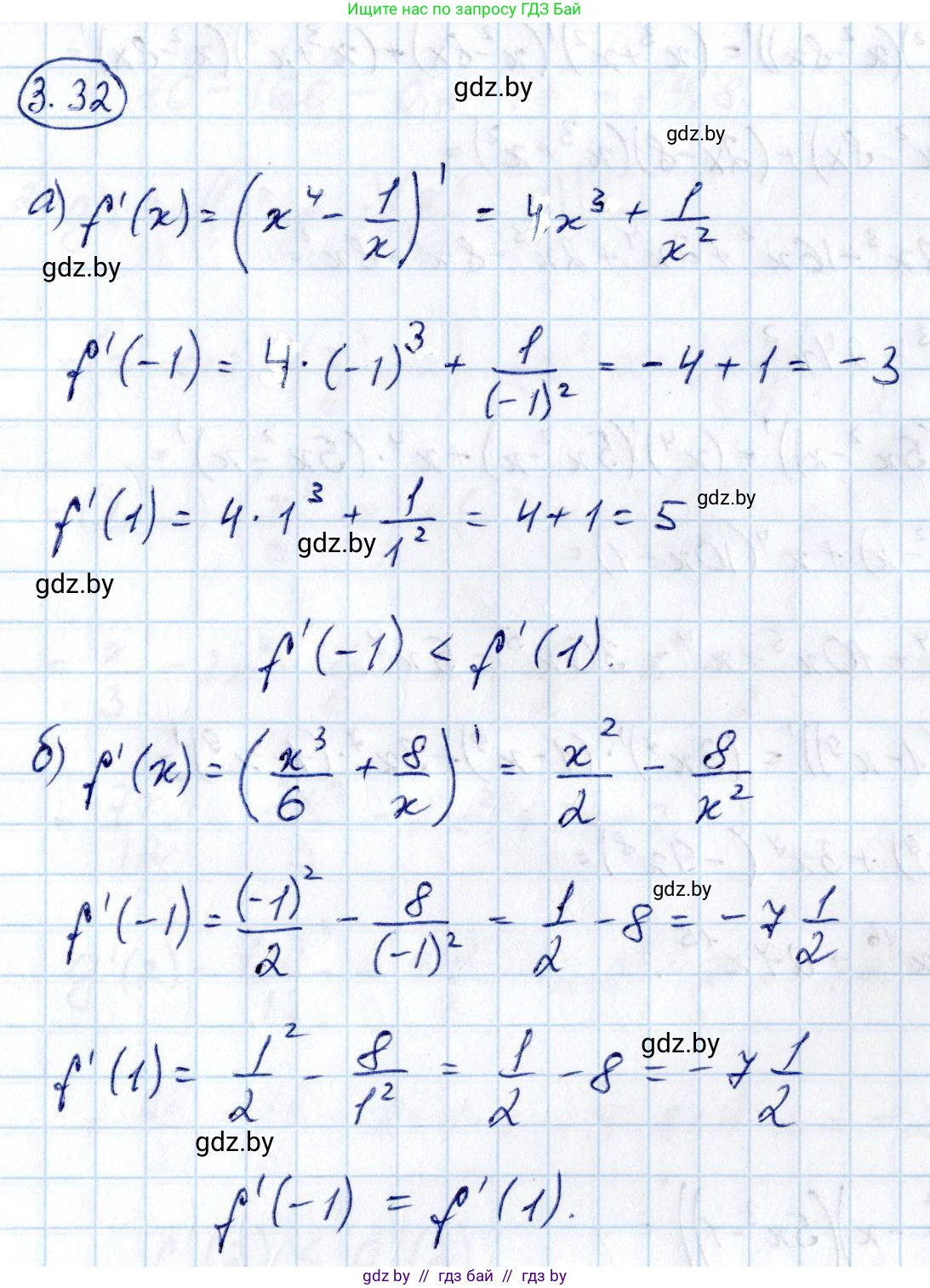
3.32. Сравните $f'(-1)$ и $f'(1)$ для функции:

а) $f(x) = x^4 - \frac{1}{x}$;

б) $f(x) = \frac{x^3}{6} + \frac{8}{x}$.

Решение. №3.32 (с. 235)
Алгебра, 10 класс Учебник, авторы: Арефьева Ирина Глебовна, Пирютко Ольга Николаевна, издательство Народная асвета, Минск, 2019, голубого цвета, страница 235, номер 3.32, Решение
Решение 2. №3.32 (с. 235)

а) Для того чтобы сравнить значения производной функции $f(x) = x^4 - \frac{1}{x}$ в точках $x = -1$ и $x = 1$, сначала найдем ее производную $f'(x)$.
Представим функцию в виде, удобном для дифференцирования: $f(x) = x^4 - x^{-1}$.
Используя правило дифференцирования степенной функции $(x^n)' = nx^{n-1}$, получаем:
$f'(x) = (x^4)' - (x^{-1})' = 4x^{4-1} - (-1)x^{-1-1} = 4x^3 + x^{-2} = 4x^3 + \frac{1}{x^2}$.
Теперь вычислим значения производной в заданных точках.
При $x = -1$:
$f'(-1) = 4(-1)^3 + \frac{1}{(-1)^2} = 4(-1) + \frac{1}{1} = -4 + 1 = -3$.
При $x = 1$:
$f'(1) = 4(1)^3 + \frac{1}{1^2} = 4(1) + 1 = 5$.
Сравнивая полученные значения, видим, что $-3 < 5$.
Ответ: $f'(-1) < f'(1)$.

б) Для того чтобы сравнить значения производной функции $f(x) = \frac{x^3}{6} + \frac{8}{x}$ в точках $x = -1$ и $x = 1$, найдем ее производную $f'(x)$.
Представим функцию в виде: $f(x) = \frac{1}{6}x^3 + 8x^{-1}$.
Найдем производную, используя правила дифференцирования:
$f'(x) = (\frac{1}{6}x^3)' + (8x^{-1})' = \frac{1}{6} \cdot 3x^{3-1} + 8 \cdot (-1)x^{-1-1} = \frac{3}{6}x^2 - 8x^{-2} = \frac{1}{2}x^2 - \frac{8}{x^2}$.
Теперь вычислим значения производной в заданных точках.
При $x = -1$:
$f'(-1) = \frac{1}{2}(-1)^2 - \frac{8}{(-1)^2} = \frac{1}{2} \cdot 1 - \frac{8}{1} = \frac{1}{2} - 8 = \frac{1}{2} - \frac{16}{2} = -\frac{15}{2} = -7\frac{1}{2}$.
При $x = 1$:
$f'(1) = \frac{1}{2}(1)^2 - \frac{8}{1^2} = \frac{1}{2} \cdot 1 - \frac{8}{1} = \frac{1}{2} - 8 = -\frac{15}{2} = -7\frac{1}{2}$.
Сравнивая полученные значения, видим, что они равны.
Ответ: $f'(-1) = f'(1)$, так как оба значения равны $-7\frac{1}{2}$.

Помогло решение? Оставьте отзыв в комментариях ниже.

Присоединяйтесь к Телеграм-группе @gdz_by_belarus

Присоединиться

Мы подготовили для вас ответ c подробным объяснением домашего задания по алгебре за 10 класс, для упражнения номер 3.32 расположенного на странице 235 к учебнику 2019 года издания для учащихся школ и гимназий.

Теперь на нашем сайте ГДЗ.ТОП вы всегда легко и бесплатно найдёте условие с правильным ответом на вопрос «Как решить ДЗ» и «Как сделать» задание по алгебре к упражнению №3.32 (с. 235), авторов: Арефьева (Ирина Глебовна), Пирютко (Ольга Николаевна), учебного пособия издательства Народная асвета.