Номер 43, страница 33 - гдз по алгебре 11 класс сборник задач Арефьева, Пирютко

Алгебра, 11 класс Сборник задач, авторы: Арефьева Ирина Глебовна, Пирютко Ольга Николаевна, издательство Народная асвета, Минск, 2020, белого цвета

Авторы: Арефьева И. Г., Пирютко О. Н.

Тип: Сборник задач

Издательство: Народная асвета

Год издания: 2020 - 2025

Уровень обучения: базовый и повышенный

Цвет обложки: белый с графиком

Допущено Министерством образования Республики Беларусь

Популярные ГДЗ в 11 классе

Глава 2. Показательная функция. Параграф 5. Показательные уравнения - номер 43, страница 33.

№43 (с. 33)
Условие. №43 (с. 33)
скриншот условия
Алгебра, 11 класс Сборник задач, авторы: Арефьева Ирина Глебовна, Пирютко Ольга Николаевна, издательство Народная асвета, Минск, 2020, белого цвета, страница 33, номер 43, Условие

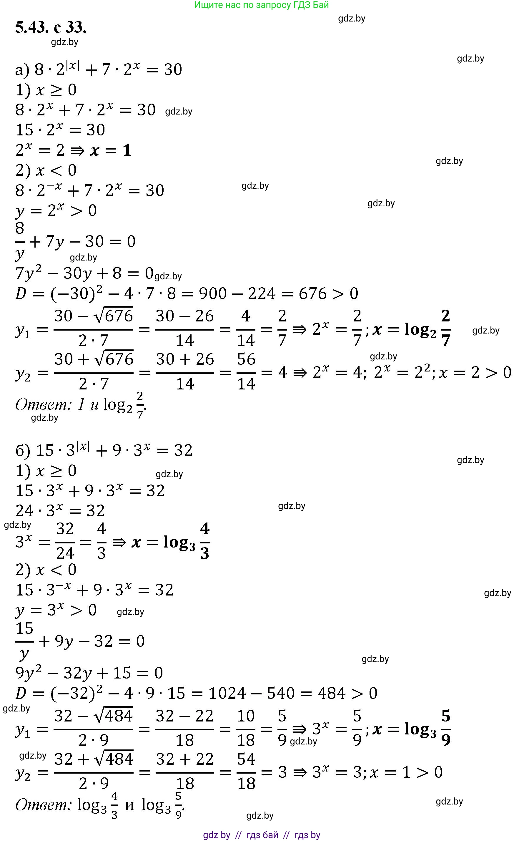
5.43. Найдите все корни уравнения:

a) $8 \cdot 2^{|x|} + 7 \cdot 2^x = 30;$

б) $15 \cdot 3^{|x|} + 9 \cdot 3^x = 32.$

Решение. №43 (с. 33)
Алгебра, 11 класс Сборник задач, авторы: Арефьева Ирина Глебовна, Пирютко Ольга Николаевна, издательство Народная асвета, Минск, 2020, белого цвета, страница 33, номер 43, Решение
Решение 2. №43 (с. 33)

а) Для решения уравнения $8 \cdot 2^{|x|} + 7 \cdot 2^x = 30$ рассмотрим два случая, в зависимости от знака $x$.

Случай 1: $x \ge 0$

При $x \ge 0$, имеем $|x| = x$. Уравнение принимает вид:

$8 \cdot 2^x + 7 \cdot 2^x = 30$

Складываем коэффициенты при $2^x$:

$(8 + 7) \cdot 2^x = 30$

$15 \cdot 2^x = 30$

Делим обе части на 15:

$2^x = \frac{30}{15}$

$2^x = 2$

Так как основания степеней равны, приравниваем показатели:

$x = 1$

Поскольку $1 \ge 0$, это решение удовлетворяет условию данного случая ($x \ge 0$).

Случай 2: $x < 0$

При $x < 0$, имеем $|x| = -x$. Уравнение принимает вид:

$8 \cdot 2^{-x} + 7 \cdot 2^x = 30$

Используя свойство степени $a^{-n} = \frac{1}{a^n}$, получаем:

$8 \cdot \frac{1}{2^x} + 7 \cdot 2^x = 30$

Сделаем замену переменной. Пусть $y = 2^x$. Так как $x < 0$, то $0 < 2^x < 2^0$, следовательно, $0 < y < 1$.

Подставляем $y$ в уравнение:

$\frac{8}{y} + 7y = 30$

Умножим обе части уравнения на $y$ (так как $y=2^x > 0$):

$8 + 7y^2 = 30y$

Перенесем все члены в одну сторону, чтобы получить квадратное уравнение:

$7y^2 - 30y + 8 = 0$

Решим это квадратное уравнение с помощью дискриминанта $D = b^2 - 4ac$:

$D = (-30)^2 - 4 \cdot 7 \cdot 8 = 900 - 224 = 676 = 26^2$

Найдем корни для $y$:

$y_1 = \frac{-b + \sqrt{D}}{2a} = \frac{30 + 26}{2 \cdot 7} = \frac{56}{14} = 4$

$y_2 = \frac{-b - \sqrt{D}}{2a} = \frac{30 - 26}{2 \cdot 7} = \frac{4}{14} = \frac{2}{7}$

Проверим корни на соответствие условию $0 < y < 1$.

Корень $y_1 = 4$ не удовлетворяет условию, так как $4 > 1$.

Корень $y_2 = \frac{2}{7}$ удовлетворяет условию, так как $0 < \frac{2}{7} < 1$.

Выполним обратную замену для $y_2$:

$2^x = \frac{2}{7}$

Прологарифмируем обе части по основанию 2:

$x = \log_2\left(\frac{2}{7}\right)$

Это решение удовлетворяет условию $x < 0$, так как $\frac{2}{7} < 1$ и, следовательно, $\log_2(\frac{2}{7}) < \log_2(1) = 0$.

Объединяя решения из обоих случаев, получаем два корня.

Ответ: а) $1; \log_2(\frac{2}{7})$


б) Для решения уравнения $15 \cdot 3^{|x|} + 9 \cdot 3^x = 32$ также рассмотрим два случая.

Случай 1: $x \ge 0$

При $x \ge 0$, $|x| = x$. Уравнение становится:

$15 \cdot 3^x + 9 \cdot 3^x = 32$

$(15 + 9) \cdot 3^x = 32$

$24 \cdot 3^x = 32$

$3^x = \frac{32}{24} = \frac{4}{3}$

Логарифмируя по основанию 3, получаем:

$x = \log_3\left(\frac{4}{3}\right)$

Так как $\frac{4}{3} > 1$, то $x = \log_3(\frac{4}{3}) > \log_3(1) = 0$. Решение удовлетворяет условию $x \ge 0$.

Случай 2: $x < 0$

При $x < 0$, $|x| = -x$. Уравнение становится:

$15 \cdot 3^{-x} + 9 \cdot 3^x = 32$

$15 \cdot \frac{1}{3^x} + 9 \cdot 3^x = 32$

Сделаем замену $y = 3^x$. При $x < 0$ имеем $0 < y < 1$.

$\frac{15}{y} + 9y = 32$

Умножим на $y$ ($y > 0$):

$15 + 9y^2 = 32y$

$9y^2 - 32y + 15 = 0$

Решим квадратное уравнение:

$D = (-32)^2 - 4 \cdot 9 \cdot 15 = 1024 - 540 = 484 = 22^2$

$y_1 = \frac{32 + 22}{2 \cdot 9} = \frac{54}{18} = 3$

$y_2 = \frac{32 - 22}{2 \cdot 9} = \frac{10}{18} = \frac{5}{9}$

Корень $y_1 = 3$ не удовлетворяет условию $0 < y < 1$.

Корень $y_2 = \frac{5}{9}$ удовлетворяет условию $0 < y < 1$.

Выполним обратную замену:

$3^x = \frac{5}{9}$

$x = \log_3\left(\frac{5}{9}\right)$

Так как $\frac{5}{9} < 1$, то $x = \log_3(\frac{5}{9}) < \log_3(1) = 0$. Решение удовлетворяет условию $x < 0$.

Объединяя решения из обоих случаев, получаем два корня. Для записи ответа выделим целую часть из неправильной дроби в аргументе логарифма.

Ответ: б) $\log_3(1\frac{1}{3}); \log_3(\frac{5}{9})$

Помогло решение? Оставьте отзыв в комментариях ниже.

Присоединяйтесь к Телеграм-группе @gdz_by_belarus

Присоединиться

Мы подготовили для вас ответ c подробным объяснением домашего задания по алгебре за 11 класс, для упражнения номер 43 расположенного на странице 33 к сборнику задач 2020 года издания для учащихся школ и гимназий.

Теперь на нашем сайте ГДЗ.ТОП вы всегда легко и бесплатно найдёте условие с правильным ответом на вопрос «Как решить ДЗ» и «Как сделать» задание по алгебре к упражнению №43 (с. 33), авторов: Арефьева (Ирина Глебовна), Пирютко (Ольга Николаевна), базовый и повышенный уровень обучения учебного пособия издательства Народная асвета.