Номер 44, страница 33 - гдз по алгебре 11 класс сборник задач Арефьева, Пирютко

Алгебра, 11 класс Сборник задач, авторы: Арефьева Ирина Глебовна, Пирютко Ольга Николаевна, издательство Народная асвета, Минск, 2020, белого цвета

Авторы: Арефьева И. Г., Пирютко О. Н.

Тип: Сборник задач

Издательство: Народная асвета

Год издания: 2020 - 2025

Уровень обучения: базовый и повышенный

Цвет обложки: белый с графиком

Допущено Министерством образования Республики Беларусь

Популярные ГДЗ в 11 классе

Глава 2. Показательная функция. Параграф 5. Показательные уравнения - номер 44, страница 33.

№44 (с. 33)
Условие. №44 (с. 33)
скриншот условия
Алгебра, 11 класс Сборник задач, авторы: Арефьева Ирина Глебовна, Пирютко Ольга Николаевна, издательство Народная асвета, Минск, 2020, белого цвета, страница 33, номер 44, Условие

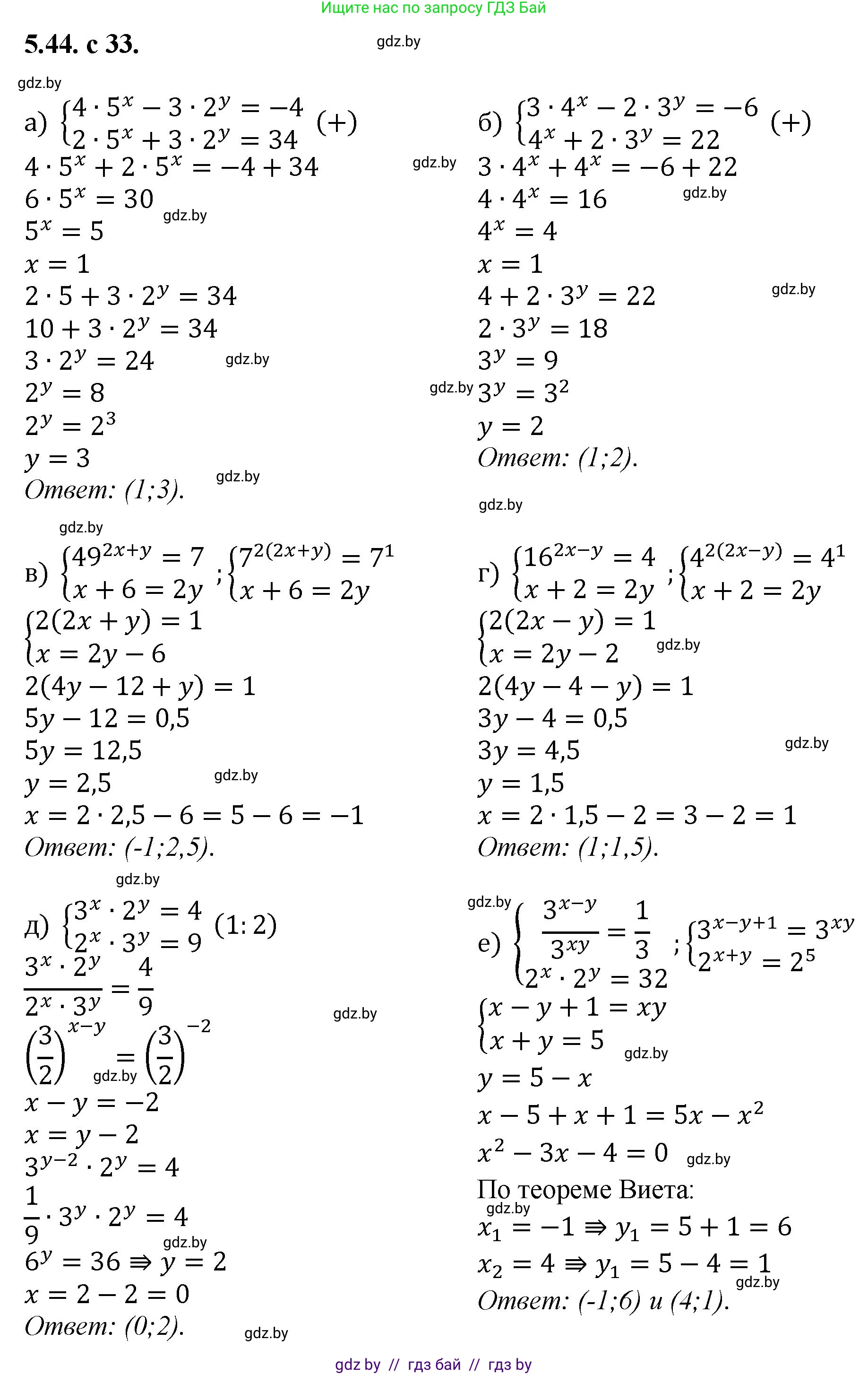
5.44. Решите систему уравнений:

а) $\begin{cases} 4 \cdot 5^x - 3 \cdot 2^y = -4, \\ 2 \cdot 5^x + 3 \cdot 2^y = 34; \end{cases}$

б) $\begin{cases} 3 \cdot 4^x - 2 \cdot 3^y = -6, \\ 4^x + 2 \cdot 3^y = 22; \end{cases}$

в) $\begin{cases} 49^{2x + y} = 7, \\ x + 6 = 2y; \end{cases}$

г) $\begin{cases} 16^{2x - y} = 4, \\ x + 2 = 2y; \end{cases}$

д) $\begin{cases} 3^x \cdot 2^y = 4, \\ 2^x \cdot 3^y = 9; \end{cases}$

е) $\begin{cases} \frac{3^{x - y}}{3^{xy}} = \frac{1}{3}, \\ 2^x \cdot 2^y = 32. \end{cases}$

Решение. №44 (с. 33)
Алгебра, 11 класс Сборник задач, авторы: Арефьева Ирина Глебовна, Пирютко Ольга Николаевна, издательство Народная асвета, Минск, 2020, белого цвета, страница 33, номер 44, Решение
Решение 2. №44 (с. 33)

а) Дана система уравнений:

$ \begin{cases} 4 \cdot 5^x - 3 \cdot 2^y = -4, \\ 2 \cdot 5^x + 3 \cdot 2^y = 34; \end{cases} $

Для решения введем новые переменные. Пусть $ a = 5^x $ и $ b = 2^y $. Так как основания степеней положительны, то $ a > 0 $ и $ b > 0 $.

Система примет вид:

$ \begin{cases} 4a - 3b = -4, \\ 2a + 3b = 34; \end{cases} $

Сложим два уравнения системы, чтобы исключить переменную $ b $:

$ (4a - 3b) + (2a + 3b) = -4 + 34 $

$ 6a = 30 $

$ a = 5 $

Подставим найденное значение $ a $ во второе уравнение системы:

$ 2(5) + 3b = 34 $

$ 10 + 3b = 34 $

$ 3b = 24 $

$ b = 8 $

Теперь вернемся к исходным переменным $ x $ и $ y $:

$ a = 5^x \implies 5 = 5^x \implies x = 1 $

$ b = 2^y \implies 8 = 2^y \implies 2^3 = 2^y \implies y = 3 $

Проверка:
$ 4 \cdot 5^1 - 3 \cdot 2^3 = 4 \cdot 5 - 3 \cdot 8 = 20 - 24 = -4 $.
$ 2 \cdot 5^1 + 3 \cdot 2^3 = 2 \cdot 5 + 3 \cdot 8 = 10 + 24 = 34 $.
Решение верное.

Ответ: (1; 3).


б) Дана система уравнений:

$ \begin{cases} 3 \cdot 4^x - 2 \cdot 3^y = -6, \\ 4^x + 2 \cdot 3^y = 22; \end{cases} $

Введем замену: пусть $ a = 4^x $ и $ b = 3^y $, где $ a > 0, b > 0 $.

Система уравнений в новых переменных:

$ \begin{cases} 3a - 2b = -6, \\ a + 2b = 22; \end{cases} $

Сложим уравнения, чтобы исключить $ b $:

$ (3a - 2b) + (a + 2b) = -6 + 22 $

$ 4a = 16 $

$ a = 4 $

Подставим значение $ a $ во второе уравнение:

$ 4 + 2b = 22 $

$ 2b = 18 $

$ b = 9 $

Выполним обратную замену:

$ a = 4^x \implies 4 = 4^x \implies x = 1 $

$ b = 3^y \implies 9 = 3^y \implies 3^2 = 3^y \implies y = 2 $

Ответ: (1; 2).


в) Дана система уравнений:

$ \begin{cases} 49^{2x+y} = 7, \\ x + 6 = 2y; \end{cases} $

Преобразуем первое уравнение, приведя обе части к основанию 7:

$ (7^2)^{2x+y} = 7^1 $

$ 7^{2(2x+y)} = 7^1 $

Приравниваем показатели степеней:

$ 2(2x+y) = 1 $

$ 4x + 2y = 1 $

Теперь имеем систему линейных уравнений:

$ \begin{cases} 4x + 2y = 1, \\ x + 6 = 2y; \end{cases} $

Из второго уравнения выражено $ 2y $. Подставим $ x+6 $ вместо $ 2y $ в первое уравнение:

$ 4x + (x+6) = 1 $

$ 5x + 6 = 1 $

$ 5x = -5 $

$ x = -1 $

Теперь найдем $ y $, подставив значение $ x $ во второе уравнение:

$ -1 + 6 = 2y $

$ 5 = 2y $

$ y = \frac{5}{2} = 2\frac{1}{2} $

Ответ: (-1; $2\frac{1}{2}$).


г) Дана система уравнений:

$ \begin{cases} 16^{2x-y} = 4, \\ x + 2 = 2y; \end{cases} $

Преобразуем первое уравнение, приведя обе части к основанию 4:

$ (4^2)^{2x-y} = 4^1 $

$ 4^{2(2x-y)} = 4^1 $

Приравниваем показатели:

$ 2(2x-y) = 1 $

$ 4x - 2y = 1 $

Получаем систему линейных уравнений:

$ \begin{cases} 4x - 2y = 1, \\ x + 2 = 2y; \end{cases} $

Подставим выражение для $ 2y $ из второго уравнения в первое:

$ 4x - (x+2) = 1 $

$ 3x - 2 = 1 $

$ 3x = 3 $

$ x = 1 $

Найдем $ y $ из второго уравнения:

$ 1 + 2 = 2y $

$ 3 = 2y $

$ y = \frac{3}{2} = 1\frac{1}{2} $

Ответ: (1; $1\frac{1}{2}$).


д) Дана система уравнений:

$ \begin{cases} 3^x \cdot 2^y = 4, \\ 2^x \cdot 3^y = 9; \end{cases} $

Перемножим уравнения системы:

$ (3^x \cdot 2^y) \cdot (2^x \cdot 3^y) = 4 \cdot 9 $

$ 3^x \cdot 3^y \cdot 2^x \cdot 2^y = 36 $

$ 3^{x+y} \cdot 2^{x+y} = 36 $

$ (3 \cdot 2)^{x+y} = 6^2 $

$ 6^{x+y} = 6^2 $

$ x+y = 2 $

Теперь разделим первое уравнение на второе:

$ \frac{3^x \cdot 2^y}{2^x \cdot 3^y} = \frac{4}{9} $

$ \frac{3^x}{3^y} \cdot \frac{2^y}{2^x} = \frac{4}{9} $

$ 3^{x-y} \cdot 2^{-(x-y)} = (\frac{2}{3})^2 $

$ (\frac{3}{2})^{x-y} = (\frac{3}{2})^{-2} $

$ x-y = -2 $

Получили систему линейных уравнений:

$ \begin{cases} x+y = 2, \\ x-y = -2; \end{cases} $

Сложим уравнения:

$ 2x = 0 \implies x = 0 $

Подставим $ x $ в первое уравнение:

$ 0 + y = 2 \implies y = 2 $

Ответ: (0; 2).


е) Дана система уравнений:

$ \begin{cases} \frac{3^{x-y}}{3^{xy}} = \frac{1}{3}, \\ 2^x \cdot 2^y = 32. \end{cases} $

Преобразуем каждое уравнение. Первое уравнение:

$ 3^{(x-y) - xy} = 3^{-1} $

$ x - y - xy = -1 $

Второе уравнение:

$ 2^{x+y} = 2^5 $

$ x+y = 5 $

Получили новую систему:

$ \begin{cases} x - y - xy = -1, \\ x + y = 5. \end{cases} $

Из второго уравнения выразим $ y $: $ y = 5 - x $.

Подставим это выражение в первое уравнение:

$ x - (5 - x) - x(5 - x) = -1 $

$ x - 5 + x - 5x + x^2 = -1 $

$ x^2 - 3x - 5 = -1 $

$ x^2 - 3x - 4 = 0 $

Решим полученное квадратное уравнение. По теореме Виета:

$ x_1 + x_2 = 3 $

$ x_1 \cdot x_2 = -4 $

Корни уравнения: $ x_1 = 4 $ и $ x_2 = -1 $.

Найдем соответствующие значения $ y $:

1) Если $ x_1 = 4 $, то $ y_1 = 5 - 4 = 1 $.

2) Если $ x_2 = -1 $, то $ y_2 = 5 - (-1) = 6 $.

Система имеет два решения.

Ответ: (4; 1), (-1; 6).

Помогло решение? Оставьте отзыв в комментариях ниже.

Присоединяйтесь к Телеграм-группе @gdz_by_belarus

Присоединиться

Мы подготовили для вас ответ c подробным объяснением домашего задания по алгебре за 11 класс, для упражнения номер 44 расположенного на странице 33 к сборнику задач 2020 года издания для учащихся школ и гимназий.

Теперь на нашем сайте ГДЗ.ТОП вы всегда легко и бесплатно найдёте условие с правильным ответом на вопрос «Как решить ДЗ» и «Как сделать» задание по алгебре к упражнению №44 (с. 33), авторов: Арефьева (Ирина Глебовна), Пирютко (Ольга Николаевна), базовый и повышенный уровень обучения учебного пособия издательства Народная асвета.