Номер 47, страница 34 - гдз по алгебре 11 класс сборник задач Арефьева, Пирютко

Алгебра, 11 класс Сборник задач, авторы: Арефьева Ирина Глебовна, Пирютко Ольга Николаевна, издательство Народная асвета, Минск, 2020, белого цвета

Авторы: Арефьева И. Г., Пирютко О. Н.

Тип: Сборник задач

Издательство: Народная асвета

Год издания: 2020 - 2025

Уровень обучения: базовый и повышенный

Цвет обложки: белый с графиком

Допущено Министерством образования Республики Беларусь

Популярные ГДЗ в 11 классе

Глава 2. Показательная функция. Параграф 5. Показательные уравнения - номер 47, страница 34.

№47 (с. 34)
Условие. №47 (с. 34)
скриншот условия
Алгебра, 11 класс Сборник задач, авторы: Арефьева Ирина Глебовна, Пирютко Ольга Николаевна, издательство Народная асвета, Минск, 2020, белого цвета, страница 34, номер 47, Условие

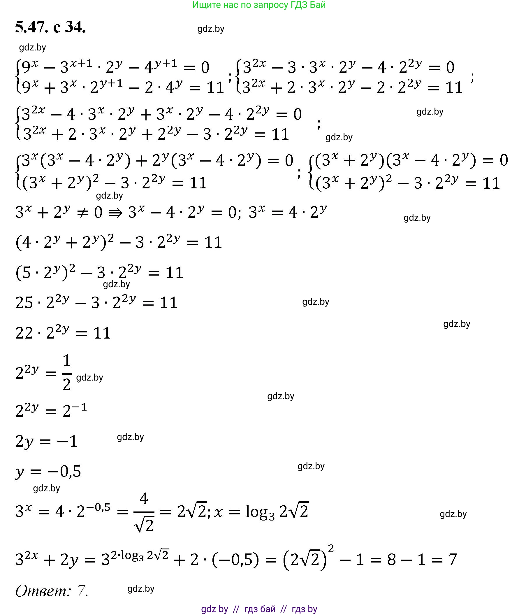
5.47. Найдите значение выражения $3^{2x_0} + 2y_0$, где $(x_0; y_0)$ — решение системы уравнений

$\begin{cases}9^x - 3^{x+1} \cdot 2^y - 4^{y+1} = 0, \\9^x + 3^x \cdot 2^{y+1} - 2 \cdot 4^y = 11.\end{cases}$

Решение. №47 (с. 34)
Алгебра, 11 класс Сборник задач, авторы: Арефьева Ирина Глебовна, Пирютко Ольга Николаевна, издательство Народная асвета, Минск, 2020, белого цвета, страница 34, номер 47, Решение
Решение 2. №47 (с. 34)

Для нахождения значения выражения $3^{2x_0} + 2y_0$ сначала необходимо решить систему уравнений и найти ее решение $(x_0; y_0)$.

Дана система уравнений:

$$\begin{cases}9^x - 3^{x+1} \cdot 2^y - 4^{y+1} = 0, \\9^x + 3^x \cdot 2^{y+1} - 2 \cdot 4^y = 11.\end{cases}$$

Преобразуем уравнения, используя свойства степеней: $9^x = (3^2)^x = (3^x)^2$, $4^y = (2^2)^y = (2^y)^2$, $3^{x+1} = 3 \cdot 3^x$, $2^{y+1} = 2 \cdot 2^y$ и $4^{y+1} = 4 \cdot 4^y = 4 \cdot (2^y)^2$.

Подставим эти выражения в систему:

$$\begin{cases}(3^x)^2 - 3 \cdot 3^x \cdot 2^y - 4 \cdot (2^y)^2 = 0, \\(3^x)^2 + 3^x \cdot (2 \cdot 2^y) - 2 \cdot (2^y)^2 = 11.\end{cases}$$

Введем новые переменные для упрощения системы. Пусть $a = 3^x$ и $b = 2^y$. Поскольку $3^x > 0$ и $2^y > 0$ для любых действительных $x$ и $y$, то $a > 0$ и $b > 0$.

Система в новых переменных будет выглядеть так:

$$\begin{cases}a^2 - 3ab - 4b^2 = 0, \\a^2 + 2ab - 2b^2 = 11.\end{cases}$$

Рассмотрим первое уравнение: $a^2 - 3ab - 4b^2 = 0$. Это однородное уравнение второй степени. Так как $b > 0$, мы можем разделить обе части уравнения на $b^2$:

$$ \left(\frac{a}{b}\right)^2 - 3\left(\frac{a}{b}\right) - 4 = 0 $$

Пусть $t = \frac{a}{b}$. Получаем квадратное уравнение $t^2 - 3t - 4 = 0$.

Находим корни этого уравнения, например, с помощью теоремы Виета или через дискриминант. Корни: $t_1 = 4$ и $t_2 = -1$.

Возвращаемся к переменным $a$ и $b$:

1. $\frac{a}{b} = 4 \implies a = 4b$. Это соотношение возможно, так как $a$ и $b$ положительны.

2. $\frac{a}{b} = -1 \implies a = -b$. Этот случай невозможен, так как $a > 0$ и $b > 0$, и они не могут иметь противоположные знаки.

Следовательно, верным является соотношение $a = 4b$. Подставим его во второе уравнение системы $a^2 + 2ab - 2b^2 = 11$:

$$ (4b)^2 + 2(4b)b - 2b^2 = 11 $$$$ 16b^2 + 8b^2 - 2b^2 = 11 $$$$ 22b^2 = 11 $$$$ b^2 = \frac{11}{22} = \frac{1}{2} $$

Поскольку $b > 0$, выбираем положительный корень: $b = \sqrt{\frac{1}{2}} = \frac{1}{\sqrt{2}} = 2^{-1/2}$.

Теперь найдем значение $a$:

$$ a = 4b = 4 \cdot \frac{1}{\sqrt{2}} = \frac{4\sqrt{2}}{2} = 2\sqrt{2} $$

Теперь, когда мы нашли $a$ и $b$, вернемся к исходным переменным $x$ и $y$. Решение системы $(x_0; y_0)$ удовлетворяет следующим условиям:

$2^{y_0} = b = 2^{-1/2} \implies y_0 = -\frac{1}{2}$.

$3^{x_0} = a = 2\sqrt{2}$.

Нам нужно найти значение выражения $3^{2x_0} + 2y_0$.

Вычислим первое слагаемое $3^{2x_0}$. Мы можем записать его как $(3^{x_0})^2$.

$$ 3^{2x_0} = (3^{x_0})^2 = a^2 = (2\sqrt{2})^2 = 4 \cdot 2 = 8 $$

Вычислим второе слагаемое $2y_0$:

$$ 2y_0 = 2 \cdot \left(-\frac{1}{2}\right) = -1 $$

Теперь сложим полученные значения:

$$ 3^{2x_0} + 2y_0 = 8 + (-1) = 7 $$

Ответ: 7

Помогло решение? Оставьте отзыв в комментариях ниже.

Присоединяйтесь к Телеграм-группе @gdz_by_belarus

Присоединиться

Мы подготовили для вас ответ c подробным объяснением домашего задания по алгебре за 11 класс, для упражнения номер 47 расположенного на странице 34 к сборнику задач 2020 года издания для учащихся школ и гимназий.

Теперь на нашем сайте ГДЗ.ТОП вы всегда легко и бесплатно найдёте условие с правильным ответом на вопрос «Как решить ДЗ» и «Как сделать» задание по алгебре к упражнению №47 (с. 34), авторов: Арефьева (Ирина Глебовна), Пирютко (Ольга Николаевна), базовый и повышенный уровень обучения учебного пособия издательства Народная асвета.