Номер 27.2, страница 127 - гдз по алгебре 7-9 класс сборник задач Арефьева, Пирютко

Алгебра, 7-9 класс Сборник задач, авторы: Арефьева Ирина Глебовна, Пирютко Ольга Николаевна, издательство Народная асвета, Минск, 2020

Авторы: Арефьева И. Г., Пирютко О. Н.

Тип: Сборник задач

Издательство: Народная асвета

Год издания: 2020 - 2025

Цвет обложки: синий с графиками

Допущено Министерством образования Республики Беларусь

Популярные ГДЗ в 7 классе

8 класс. Параграф 27. Квадратный трехчлен. Разложение квадратного трехчлена на множители - номер 27.2, страница 127.

№27.2 (с. 127)
Условие. №27.2 (с. 127)
скриншот условия
Алгебра, 7-9 класс Сборник задач, авторы: Арефьева Ирина Глебовна, Пирютко Ольга Николаевна, издательство Народная асвета, Минск, 2020, страница 127, номер 27.2, Условие

27.2. Разложите (если это возможно) на множители квадратный трехчлен:

а) $x^2 - 2x - 15;$

б) $x^2 - 7x + 6;$

в) $3x^2 - 7x + 4;$

г) $3x^2 + 8x - 3;$

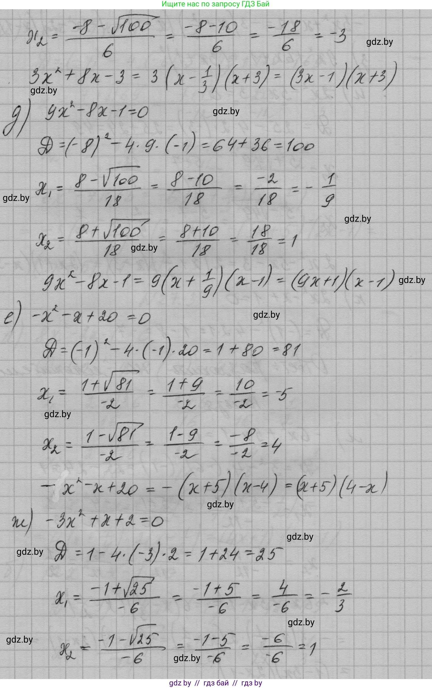
д) $9x^2 - 8x - 1;$

е) $-x^2 - x + 20;$

ж) $-3x^2 + x + 2;$

з) $9x^2 + 6x + 1;$

и) $2x^2 - 5x - 3;$

к) $2x^2 - x + 1;$

л) $-6x^2 + 5x - 1;$

м) $-6x^2 - 7x + 5.$

Решение. №27.2 (с. 127)
Алгебра, 7-9 класс Сборник задач, авторы: Арефьева Ирина Глебовна, Пирютко Ольга Николаевна, издательство Народная асвета, Минск, 2020, страница 127, номер 27.2, Решение Алгебра, 7-9 класс Сборник задач, авторы: Арефьева Ирина Глебовна, Пирютко Ольга Николаевна, издательство Народная асвета, Минск, 2020, страница 127, номер 27.2, Решение (продолжение 2)
Решение 2. №27.2 (с. 127)

Для разложения квадратного трехчлена $ax^2 + bx + c$ на множители используется формула $a(x - x_1)(x - x_2)$, где $x_1$ и $x_2$ — корни соответствующего квадратного уравнения $ax^2 + bx + c = 0$. Корни находятся с помощью дискриминанта $D = b^2 - 4ac$. Если $D < 0$, трехчлен разложить на линейные множители с действительными коэффициентами невозможно.

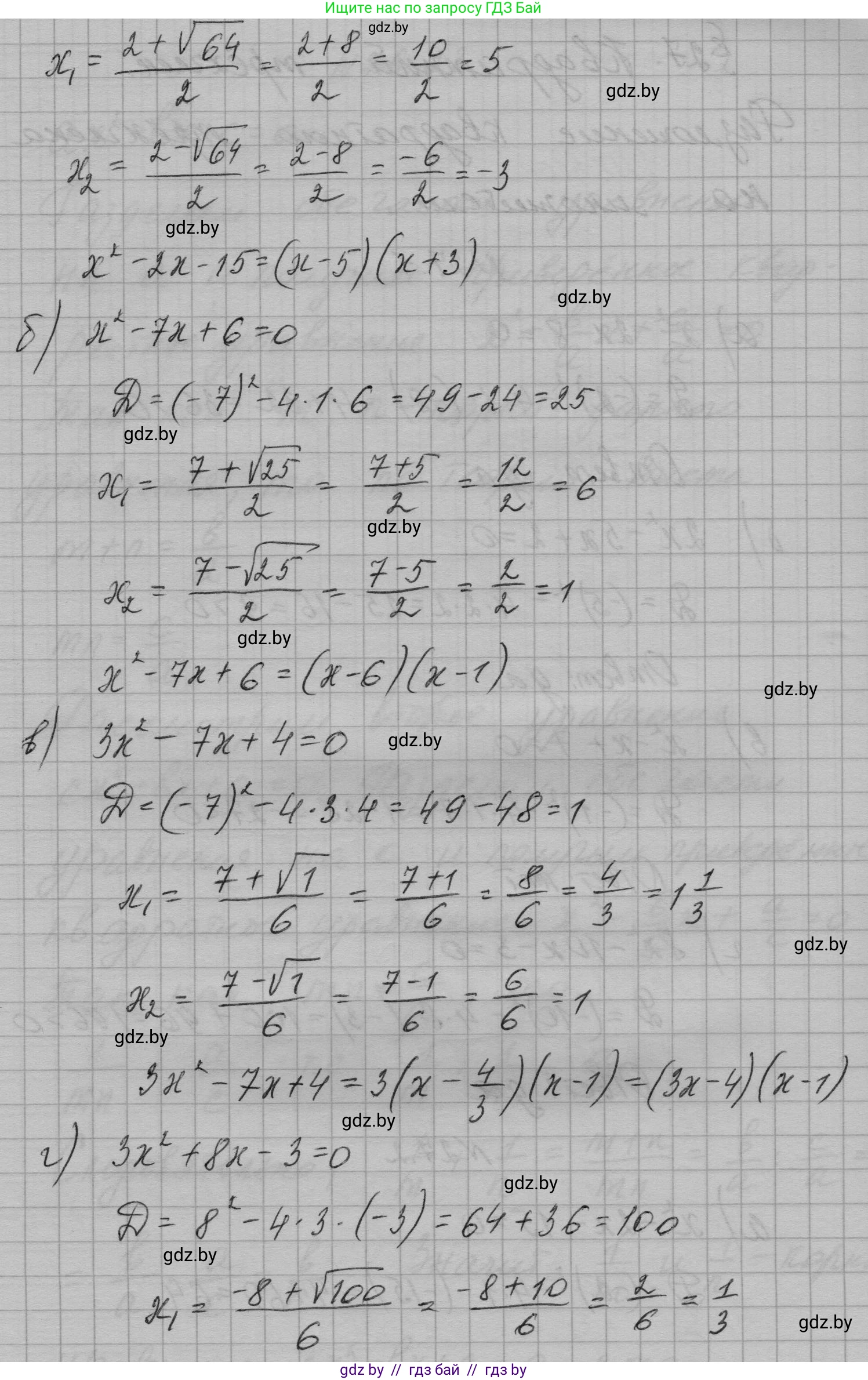
а) $x^2 - 2x - 15$

Приравняем трехчлен к нулю, чтобы найти его корни: $x^2 - 2x - 15 = 0$.

Здесь $a=1, b=-2, c=-15$.

Вычислим дискриминант: $D = b^2 - 4ac = (-2)^2 - 4 \cdot 1 \cdot (-15) = 4 + 60 = 64$.

Так как $D > 0$, уравнение имеет два корня: $x_{1,2} = \frac{-b \pm \sqrt{D}}{2a} = \frac{2 \pm \sqrt{64}}{2} = \frac{2 \pm 8}{2}$.

$x_1 = \frac{2 + 8}{2} = 5$

$x_2 = \frac{2 - 8}{2} = -3$

Подставляем корни в формулу разложения: $a(x-x_1)(x-x_2) = 1 \cdot (x-5)(x-(-3)) = (x-5)(x+3)$.

Ответ: $(x-5)(x+3)$.

б) $x^2 - 7x + 6$

Решим уравнение $x^2 - 7x + 6 = 0$.

Здесь $a=1, b=-7, c=6$.

Вычислим дискриминант: $D = (-7)^2 - 4 \cdot 1 \cdot 6 = 49 - 24 = 25$.

Корни уравнения: $x_{1,2} = \frac{7 \pm \sqrt{25}}{2} = \frac{7 \pm 5}{2}$.

$x_1 = \frac{7 + 5}{2} = 6$

$x_2 = \frac{7 - 5}{2} = 1$

Разложение на множители: $(x-6)(x-1)$.

Ответ: $(x-1)(x-6)$.

в) $3x^2 - 7x + 4$

Решим уравнение $3x^2 - 7x + 4 = 0$.

Здесь $a=3, b=-7, c=4$.

Вычислим дискриминант: $D = (-7)^2 - 4 \cdot 3 \cdot 4 = 49 - 48 = 1$.

Корни уравнения: $x_{1,2} = \frac{7 \pm \sqrt{1}}{2 \cdot 3} = \frac{7 \pm 1}{6}$.

$x_1 = \frac{7 + 1}{6} = \frac{8}{6} = \frac{4}{3}$

$x_2 = \frac{7 - 1}{6} = 1$

Разложение на множители: $3(x-\frac{4}{3})(x-1) = (3x-4)(x-1)$.

Ответ: $(3x-4)(x-1)$.

г) $3x^2 + 8x - 3$

Решим уравнение $3x^2 + 8x - 3 = 0$.

Здесь $a=3, b=8, c=-3$.

Вычислим дискриминант: $D = 8^2 - 4 \cdot 3 \cdot (-3) = 64 + 36 = 100$.

Корни уравнения: $x_{1,2} = \frac{-8 \pm \sqrt{100}}{2 \cdot 3} = \frac{-8 \pm 10}{6}$.

$x_1 = \frac{-8 + 10}{6} = \frac{2}{6} = \frac{1}{3}$

$x_2 = \frac{-8 - 10}{6} = -3$

Разложение на множители: $3(x-\frac{1}{3})(x-(-3)) = (3x-1)(x+3)$.

Ответ: $(3x-1)(x+3)$.

д) $9x^2 - 8x - 1$

Решим уравнение $9x^2 - 8x - 1 = 0$.

Здесь $a=9, b=-8, c=-1$.

Вычислим дискриминант: $D = (-8)^2 - 4 \cdot 9 \cdot (-1) = 64 + 36 = 100$.

Корни уравнения: $x_{1,2} = \frac{8 \pm \sqrt{100}}{2 \cdot 9} = \frac{8 \pm 10}{18}$.

$x_1 = \frac{8 + 10}{18} = 1$

$x_2 = \frac{8 - 10}{18} = -\frac{2}{18} = -\frac{1}{9}$

Разложение на множители: $9(x-1)(x-(-\frac{1}{9})) = 9(x-1)(x+\frac{1}{9}) = (x-1)(9x+1)$.

Ответ: $(x-1)(9x+1)$.

е) $-x^2 - x + 20$

Решим уравнение $-x^2 - x + 20 = 0$. Умножим на $-1$: $x^2 + x - 20 = 0$.

Здесь $a=1, b=1, c=-20$.

Вычислим дискриминант: $D = 1^2 - 4 \cdot 1 \cdot (-20) = 1 + 80 = 81$.

Корни уравнения: $x_{1,2} = \frac{-1 \pm \sqrt{81}}{2} = \frac{-1 \pm 9}{2}$.

$x_1 = \frac{-1 + 9}{2} = 4$

$x_2 = \frac{-1 - 9}{2} = -5$

Разложение на множители (не забываем исходный коэффициент $a=-1$): $-1(x-4)(x-(-5)) = -(x-4)(x+5)$.

Ответ: $-(x-4)(x+5)$.

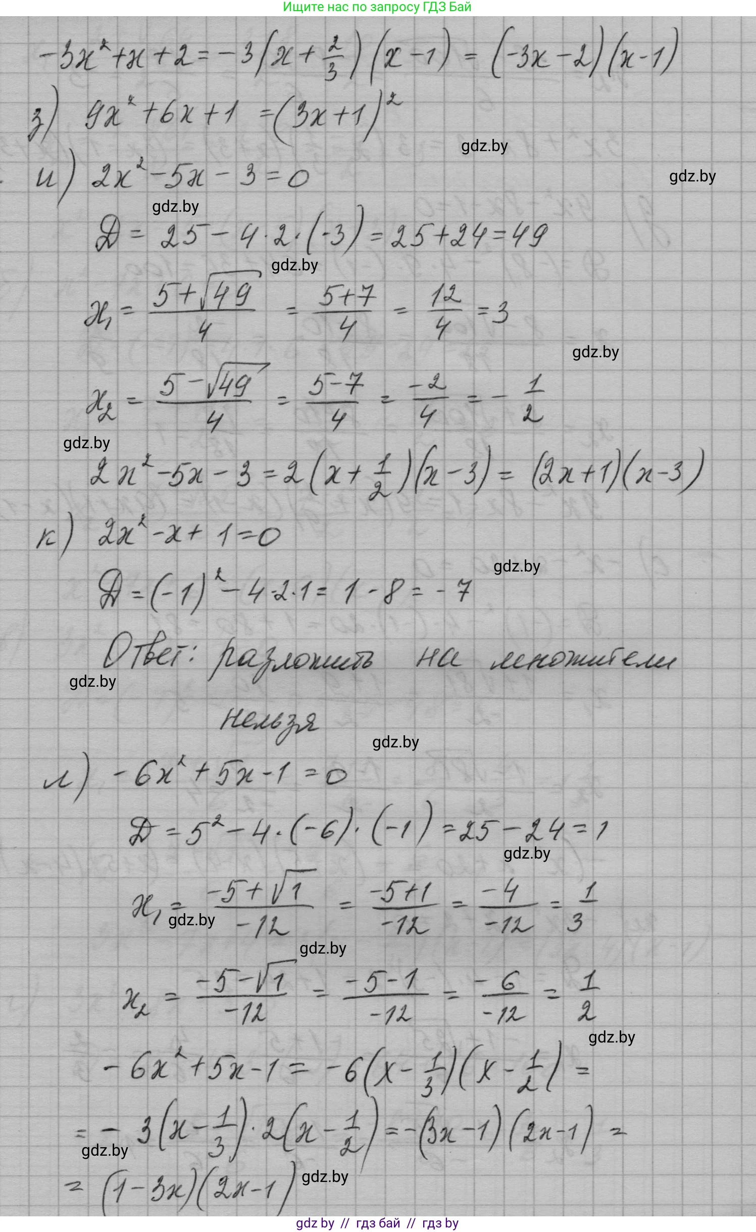
ж) $-3x^2 + x + 2$

Решим уравнение $-3x^2 + x + 2 = 0$.

Здесь $a=-3, b=1, c=2$.

Вычислим дискриминант: $D = 1^2 - 4 \cdot (-3) \cdot 2 = 1 + 24 = 25$.

Корни уравнения: $x_{1,2} = \frac{-1 \pm \sqrt{25}}{2 \cdot (-3)} = \frac{-1 \pm 5}{-6}$.

$x_1 = \frac{-1 + 5}{-6} = -\frac{4}{6} = -\frac{2}{3}$

$x_2 = \frac{-1 - 5}{-6} = 1$

Разложение на множители: $-3(x-(-\frac{2}{3}))(x-1) = -3(x+\frac{2}{3})(x-1) = -(3x+2)(x-1)$.

Ответ: $-(3x+2)(x-1)$.

з) $9x^2 + 6x + 1$

Данный трехчлен является полным квадратом: $9x^2 + 6x + 1 = (3x)^2 + 2 \cdot (3x) \cdot 1 + 1^2 = (3x+1)^2$.

Можно также решить через дискриминант. Решим уравнение $9x^2 + 6x + 1 = 0$.

$D = 6^2 - 4 \cdot 9 \cdot 1 = 36 - 36 = 0$.

Так как $D=0$, уравнение имеет один корень (или два совпадающих): $x = \frac{-b}{2a} = \frac{-6}{2 \cdot 9} = -\frac{1}{3}$.

Разложение на множители: $9(x-(-\frac{1}{3}))^2 = 9(x+\frac{1}{3})^2 = (3(x+\frac{1}{3}))^2 = (3x+1)^2$.

Ответ: $(3x+1)^2$.

и) $2x^2 - 5x - 3$

Решим уравнение $2x^2 - 5x - 3 = 0$.

Здесь $a=2, b=-5, c=-3$.

Вычислим дискриминант: $D = (-5)^2 - 4 \cdot 2 \cdot (-3) = 25 + 24 = 49$.

Корни уравнения: $x_{1,2} = \frac{5 \pm \sqrt{49}}{2 \cdot 2} = \frac{5 \pm 7}{4}$.

$x_1 = \frac{5 + 7}{4} = 3$

$x_2 = \frac{5 - 7}{4} = -\frac{2}{4} = -\frac{1}{2}$

Разложение на множители: $2(x-3)(x-(-\frac{1}{2})) = 2(x-3)(x+\frac{1}{2}) = (x-3)(2x+1)$.

Ответ: $(x-3)(2x+1)$.

к) $2x^2 - x + 1$

Решим уравнение $2x^2 - x + 1 = 0$.

Здесь $a=2, b=-1, c=1$.

Вычислим дискриминант: $D = (-1)^2 - 4 \cdot 2 \cdot 1 = 1 - 8 = -7$.

Так как $D < 0$, уравнение не имеет действительных корней. Следовательно, данный трехчлен нельзя разложить на множители с действительными коэффициентами.

Ответ: Разложить на множители невозможно.

л) $-6x^2 + 5x - 1$

Решим уравнение $-6x^2 + 5x - 1 = 0$.

Здесь $a=-6, b=5, c=-1$.

Вычислим дискриминант: $D = 5^2 - 4 \cdot (-6) \cdot (-1) = 25 - 24 = 1$.

Корни уравнения: $x_{1,2} = \frac{-5 \pm \sqrt{1}}{2 \cdot (-6)} = \frac{-5 \pm 1}{-12}$.

$x_1 = \frac{-5 + 1}{-12} = \frac{-4}{-12} = \frac{1}{3}$

$x_2 = \frac{-5 - 1}{-12} = \frac{-6}{-12} = \frac{1}{2}$

Разложение на множители: $-6(x-\frac{1}{3})(x-\frac{1}{2}) = -2 \cdot 3 (x-\frac{1}{3})(x-\frac{1}{2}) = (2x-1) \cdot (-3(x-\frac{1}{3})) = (2x-1)(-3x+1) = (2x-1)(1-3x)$.

Ответ: $(2x-1)(1-3x)$ или $-(3x-1)(2x-1)$.

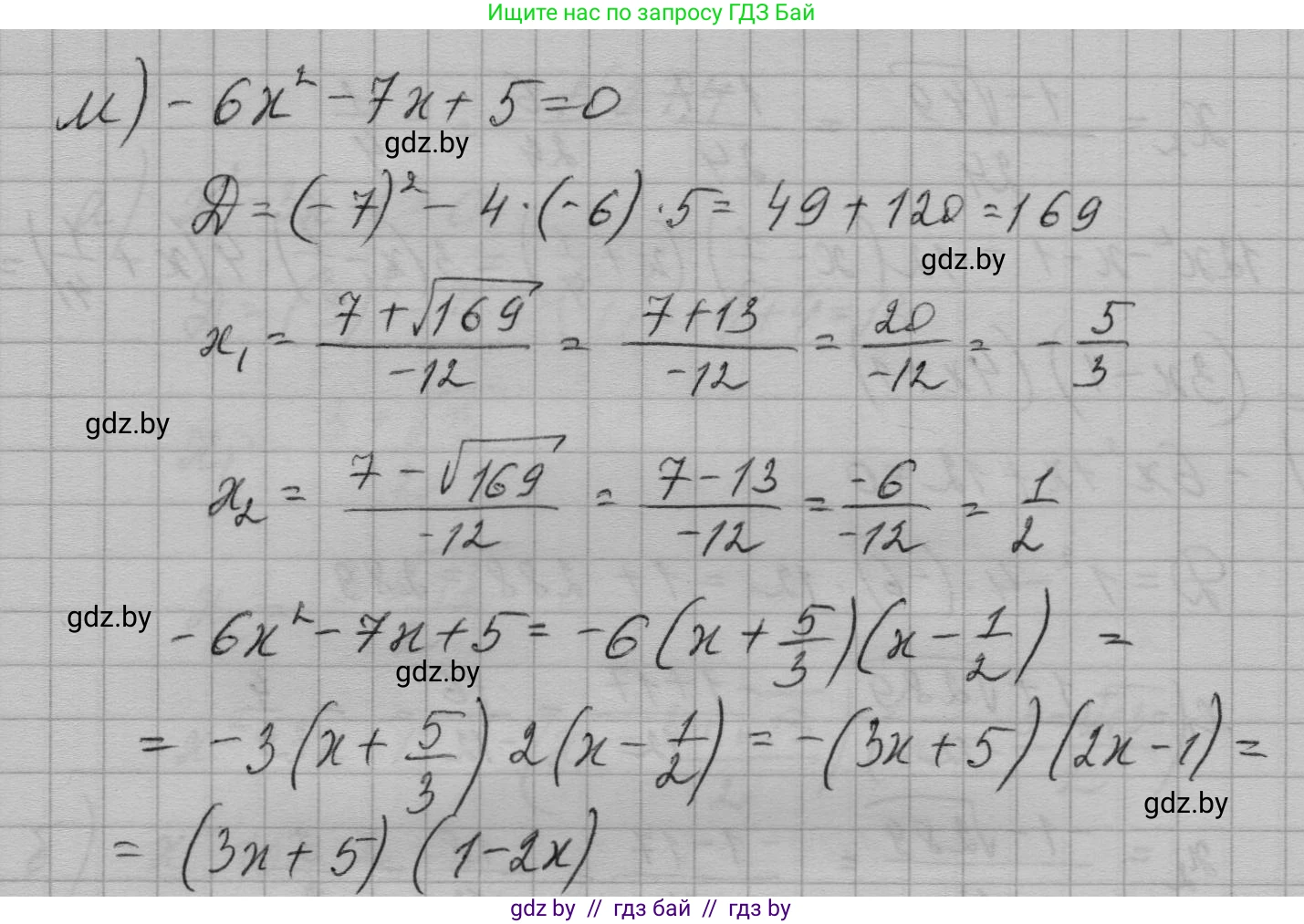
м) $-6x^2 - 7x + 5$

Решим уравнение $-6x^2 - 7x + 5 = 0$.

Здесь $a=-6, b=-7, c=5$.

Вычислим дискриминант: $D = (-7)^2 - 4 \cdot (-6) \cdot 5 = 49 + 120 = 169$.

Корни уравнения: $x_{1,2} = \frac{7 \pm \sqrt{169}}{2 \cdot (-6)} = \frac{7 \pm 13}{-12}$.

$x_1 = \frac{7 + 13}{-12} = -\frac{20}{12} = -\frac{5}{3}$

$x_2 = \frac{7 - 13}{-12} = \frac{-6}{-12} = \frac{1}{2}$

Разложение на множители: $-6(x-(-\frac{5}{3}))(x-\frac{1}{2}) = -3 \cdot 2 (x+\frac{5}{3})(x-\frac{1}{2}) = -(3(x+\frac{5}{3}))(2(x-\frac{1}{2})) = -(3x+5)(2x-1)$.

Ответ: $-(3x+5)(2x-1)$.

Помогло решение? Оставьте отзыв в комментариях ниже.

Присоединяйтесь к Телеграм-группе @gdz_by_belarus

Присоединиться

Мы подготовили для вас ответ c подробным объяснением домашего задания по алгебре за 7-9 класс, для упражнения номер 27.2 расположенного на странице 127 к сборнику задач 2020 года издания для учащихся школ и гимназий.

Теперь на нашем сайте ГДЗ.ТОП вы всегда легко и бесплатно найдёте условие с правильным ответом на вопрос «Как решить ДЗ» и «Как сделать» задание по алгебре к упражнению №27.2 (с. 127), авторов: Арефьева (Ирина Глебовна), Пирютко (Ольга Николаевна), учебного пособия издательства Народная асвета.