Номер 27.4, страница 128 - гдз по алгебре 7-9 класс сборник задач Арефьева, Пирютко

Алгебра, 7-9 класс Сборник задач, авторы: Арефьева Ирина Глебовна, Пирютко Ольга Николаевна, издательство Народная асвета, Минск, 2020

Авторы: Арефьева И. Г., Пирютко О. Н.

Тип: Сборник задач

Издательство: Народная асвета

Год издания: 2020 - 2025

Цвет обложки: синий с графиками

Допущено Министерством образования Республики Беларусь

Популярные ГДЗ в 7 классе

8 класс. Параграф 27. Квадратный трехчлен. Разложение квадратного трехчлена на множители - номер 27.4, страница 128.

№27.4 (с. 128)
Условие. №27.4 (с. 128)
скриншот условия
Алгебра, 7-9 класс Сборник задач, авторы: Арефьева Ирина Глебовна, Пирютко Ольга Николаевна, издательство Народная асвета, Минск, 2020, страница 128, номер 27.4, Условие

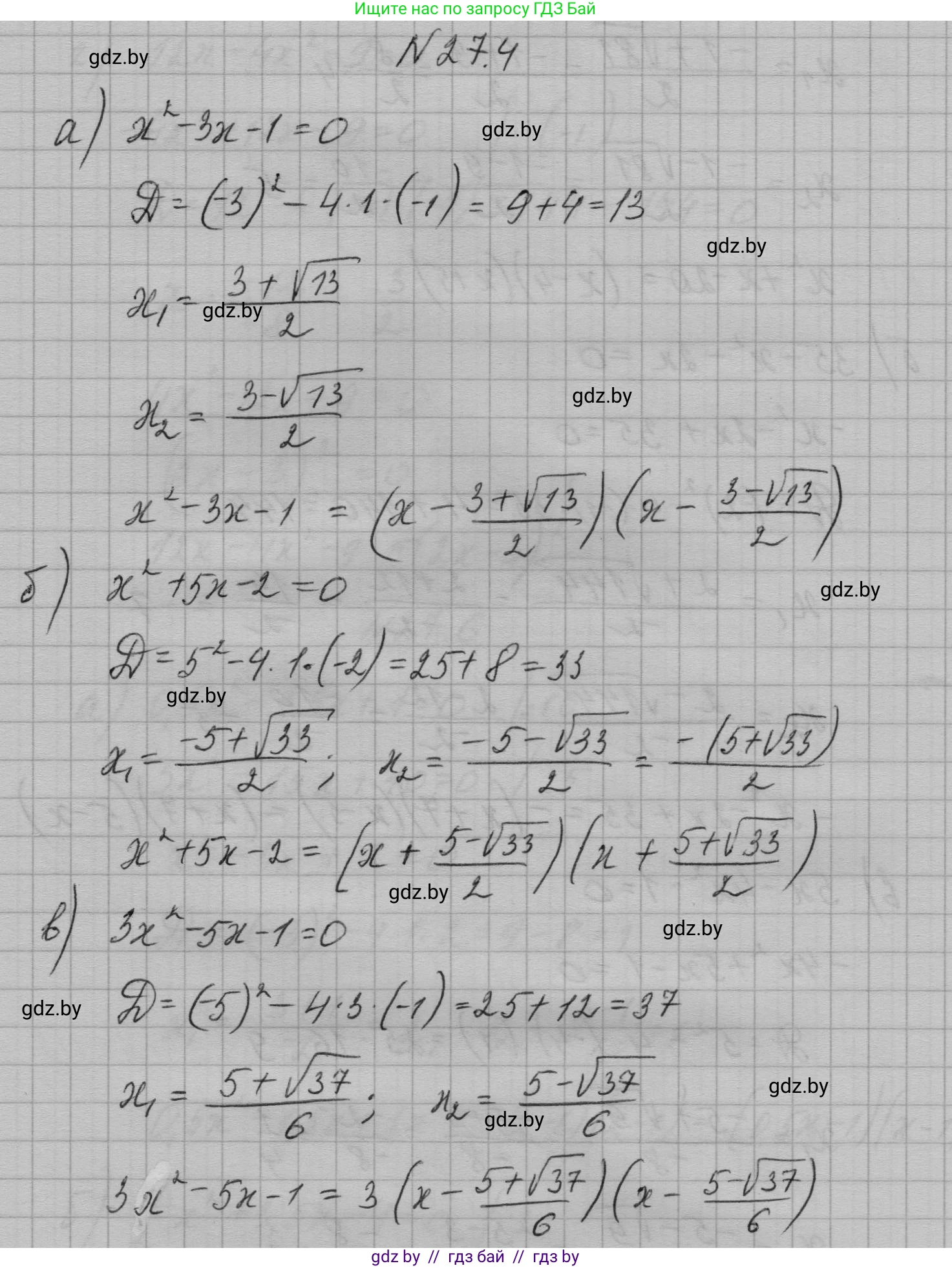
27.4. Разложите на множители квадратный трехчлен:

a) $x^2 - 3x - 1;$

б) $x^2 + 5x - 2;$

в) $3x^2 - 5x - 1.$

Решение. №27.4 (с. 128)
Алгебра, 7-9 класс Сборник задач, авторы: Арефьева Ирина Глебовна, Пирютко Ольга Николаевна, издательство Народная асвета, Минск, 2020, страница 128, номер 27.4, Решение
Решение 2. №27.4 (с. 128)

Для того чтобы разложить квадратный трехчлен вида $ax^2 + bx + c$ на множители, необходимо найти корни соответствующего квадратного уравнения $ax^2 + bx + c = 0$. После нахождения корней $x_1$ и $x_2$, трехчлен можно представить в виде $a(x - x_1)(x - x_2)$. Корни уравнения находятся с помощью дискриминанта $D = b^2 - 4ac$ по формуле $x_{1,2} = \frac{-b \pm \sqrt{D}}{2a}$.

а) $x^2 - 3x - 1$

1. Решим уравнение $x^2 - 3x - 1 = 0$. В данном случае коэффициенты: $a=1$, $b=-3$, $c=-1$.

2. Найдем дискриминант:

$D = b^2 - 4ac = (-3)^2 - 4 \cdot 1 \cdot (-1) = 9 + 4 = 13$.

3. Найдем корни уравнения:

$x_1 = \frac{-(-3) + \sqrt{13}}{2 \cdot 1} = \frac{3 + \sqrt{13}}{2}$

$x_2 = \frac{-(-3) - \sqrt{13}}{2 \cdot 1} = \frac{3 - \sqrt{13}}{2}$

4. Подставим корни в формулу разложения $a(x-x_1)(x-x_2)$:

$x^2 - 3x - 1 = 1 \cdot \left(x - \frac{3 + \sqrt{13}}{2}\right)\left(x - \frac{3 - \sqrt{13}}{2}\right)$.

Ответ: $\left(x - \frac{3 + \sqrt{13}}{2}\right)\left(x - \frac{3 - \sqrt{13}}{2}\right)$.

б) $x^2 + 5x - 2$

1. Решим уравнение $x^2 + 5x - 2 = 0$. Коэффициенты: $a=1$, $b=5$, $c=-2$.

2. Найдем дискриминант:

$D = b^2 - 4ac = 5^2 - 4 \cdot 1 \cdot (-2) = 25 + 8 = 33$.

3. Найдем корни уравнения:

$x_1 = \frac{-5 + \sqrt{33}}{2 \cdot 1} = \frac{-5 + \sqrt{33}}{2}$

$x_2 = \frac{-5 - \sqrt{33}}{2 \cdot 1} = \frac{-5 - \sqrt{33}}{2}$

4. Подставим корни в формулу разложения:

$x^2 + 5x - 2 = \left(x - \frac{-5 + \sqrt{33}}{2}\right)\left(x - \frac{-5 - \sqrt{33}}{2}\right)$.

Ответ: $\left(x - \frac{-5 + \sqrt{33}}{2}\right)\left(x - \frac{-5 - \sqrt{33}}{2}\right)$.

в) $3x^2 - 5x - 1$

1. Решим уравнение $3x^2 - 5x - 1 = 0$. Коэффициенты: $a=3$, $b=-5$, $c=-1$.

2. Найдем дискриминант:

$D = b^2 - 4ac = (-5)^2 - 4 \cdot 3 \cdot (-1) = 25 + 12 = 37$.

3. Найдем корни уравнения:

$x_1 = \frac{-(-5) + \sqrt{37}}{2 \cdot 3} = \frac{5 + \sqrt{37}}{6}$

$x_2 = \frac{-(-5) - \sqrt{37}}{2 \cdot 3} = \frac{5 - \sqrt{37}}{6}$

4. Подставим корни в формулу разложения, не забывая про коэффициент $a=3$:

$3x^2 - 5x - 1 = 3\left(x - \frac{5 + \sqrt{37}}{6}\right)\left(x - \frac{5 - \sqrt{37}}{6}\right)$.

Ответ: $3\left(x - \frac{5 + \sqrt{37}}{6}\right)\left(x - \frac{5 - \sqrt{37}}{6}\right)$.

Помогло решение? Оставьте отзыв в комментариях ниже.

Присоединяйтесь к Телеграм-группе @gdz_by_belarus

Присоединиться

Мы подготовили для вас ответ c подробным объяснением домашего задания по алгебре за 7-9 класс, для упражнения номер 27.4 расположенного на странице 128 к сборнику задач 2020 года издания для учащихся школ и гимназий.

Теперь на нашем сайте ГДЗ.ТОП вы всегда легко и бесплатно найдёте условие с правильным ответом на вопрос «Как решить ДЗ» и «Как сделать» задание по алгебре к упражнению №27.4 (с. 128), авторов: Арефьева (Ирина Глебовна), Пирютко (Ольга Николаевна), учебного пособия издательства Народная асвета.