Номер 27.5, страница 128 - гдз по алгебре 7-9 класс сборник задач Арефьева, Пирютко

Алгебра, 7-9 класс Сборник задач, авторы: Арефьева Ирина Глебовна, Пирютко Ольга Николаевна, издательство Народная асвета, Минск, 2020

Авторы: Арефьева И. Г., Пирютко О. Н.

Тип: Сборник задач

Издательство: Народная асвета

Год издания: 2020 - 2025

Цвет обложки: синий с графиками

Допущено Министерством образования Республики Беларусь

Популярные ГДЗ в 7 классе

8 класс. Параграф 27. Квадратный трехчлен. Разложение квадратного трехчлена на множители - номер 27.5, страница 128.

№27.5 (с. 128)
Условие. №27.5 (с. 128)
скриншот условия
Алгебра, 7-9 класс Сборник задач, авторы: Арефьева Ирина Глебовна, Пирютко Ольга Николаевна, издательство Народная асвета, Минск, 2020, страница 128, номер 27.5, Условие

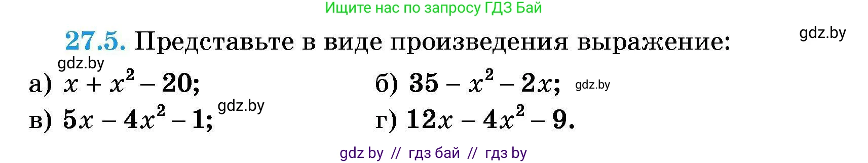
27.5. Представьте в виде произведения выражение:

а) $x + x^2 - 20;$

б) $35 - x^2 - 2x;$

В) $5x - 4x^2 - 1;$

Г) $12x - 4x^2 - 9.$

Решение. №27.5 (с. 128)
Алгебра, 7-9 класс Сборник задач, авторы: Арефьева Ирина Глебовна, Пирютко Ольга Николаевна, издательство Народная асвета, Минск, 2020, страница 128, номер 27.5, Решение Алгебра, 7-9 класс Сборник задач, авторы: Арефьева Ирина Глебовна, Пирютко Ольга Николаевна, издательство Народная асвета, Минск, 2020, страница 128, номер 27.5, Решение (продолжение 2)
Решение 2. №27.5 (с. 128)

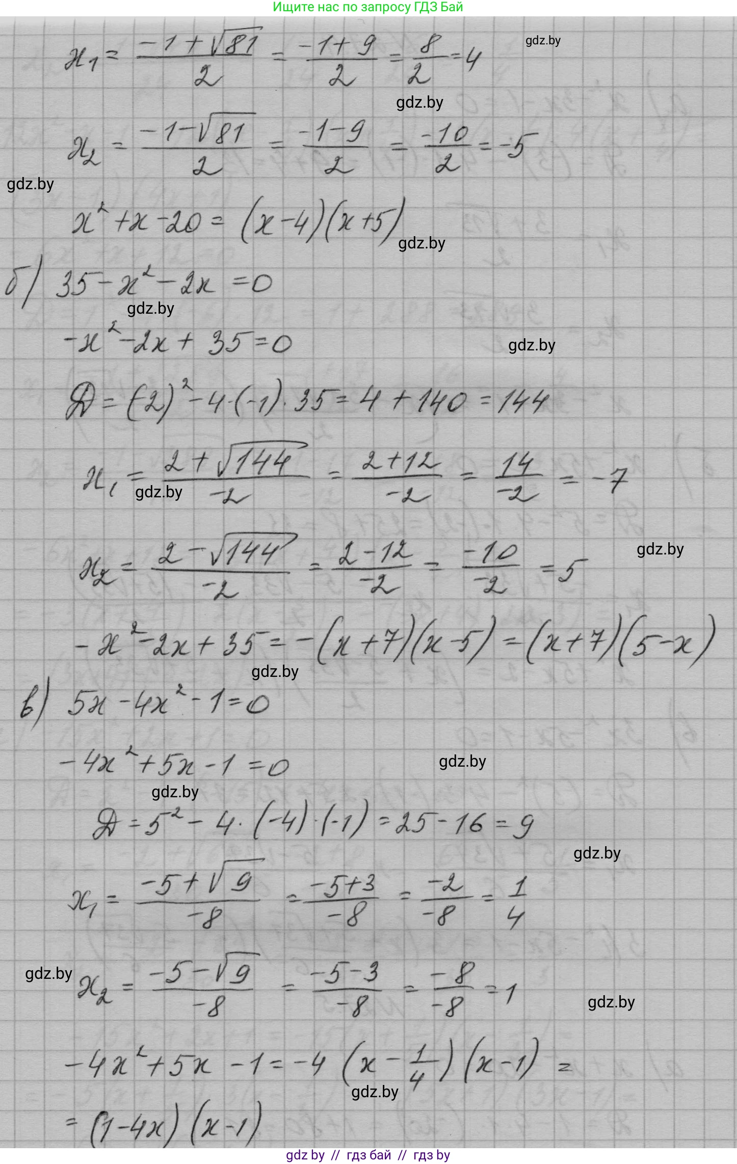
а) Чтобы представить выражение $x + x^2 - 20$ в виде произведения, сначала запишем его в стандартном виде квадратного трехчлена $ax^2 + bx + c$:
$x^2 + x - 20$.
Теперь найдем корни соответствующего квадратного уравнения $x^2 + x - 20 = 0$. Для этого воспользуемся формулой корней квадратного уравнения $x_{1,2} = \frac{-b \pm \sqrt{D}}{2a}$, где дискриминант $D = b^2 - 4ac$.
В нашем уравнении коэффициенты: $a=1$, $b=1$, $c=-20$.
Вычислим дискриминант:
$D = 1^2 - 4 \cdot 1 \cdot (-20) = 1 + 80 = 81$.
Найдем корни:
$x_1 = \frac{-1 + \sqrt{81}}{2 \cdot 1} = \frac{-1 + 9}{2} = \frac{8}{2} = 4$.
$x_2 = \frac{-1 - \sqrt{81}}{2 \cdot 1} = \frac{-1 - 9}{2} = \frac{-10}{2} = -5$.
Разложение квадратного трехчлена на множители имеет вид $a(x - x_1)(x - x_2)$.
Подставим наши значения:
$x^2 + x - 20 = 1 \cdot (x - 4)(x - (-5)) = (x - 4)(x + 5)$.
Ответ: $(x - 4)(x + 5)$.

б) Представим выражение $35 - x^2 - 2x$ в стандартном виде:
$-x^2 - 2x + 35$.
Найдем корни уравнения $-x^2 - 2x + 35 = 0$. Умножим уравнение на $-1$ для удобства: $x^2 + 2x - 35 = 0$.
Здесь коэффициенты: $a=1$, $b=2$, $c=-35$.
Вычислим дискриминант:
$D = 2^2 - 4 \cdot 1 \cdot (-35) = 4 + 140 = 144$.
Найдем корни:
$x_1 = \frac{-2 + \sqrt{144}}{2 \cdot 1} = \frac{-2 + 12}{2} = \frac{10}{2} = 5$.
$x_2 = \frac{-2 - \sqrt{144}}{2 \cdot 1} = \frac{-2 - 12}{2} = \frac{-14}{2} = -7$.
Для разложения исходного выражения $-x^2 - 2x + 35$ используем формулу $a(x - x_1)(x - x_2)$, где $a=-1$.
$-x^2 - 2x + 35 = -1 \cdot (x - 5)(x - (-7)) = -(x - 5)(x + 7)$.
Можно внести минус в первую скобку: $(5 - x)(x + 7)$.
Ответ: $-(x - 5)(x + 7)$ или $(5 - x)(x + 7)$.

в) Запишем выражение $5x - 4x^2 - 1$ в стандартном виде:
$-4x^2 + 5x - 1$.
Найдем корни уравнения $-4x^2 + 5x - 1 = 0$. Умножим на $-1$: $4x^2 - 5x + 1 = 0$.
Здесь коэффициенты: $a=4$, $b=-5$, $c=1$.
Вычислим дискриминант:
$D = (-5)^2 - 4 \cdot 4 \cdot 1 = 25 - 16 = 9$.
Найдем корни:
$x_1 = \frac{-(-5) + \sqrt{9}}{2 \cdot 4} = \frac{5 + 3}{8} = \frac{8}{8} = 1$.
$x_2 = \frac{-(-5) - \sqrt{9}}{2 \cdot 4} = \frac{5 - 3}{8} = \frac{2}{8} = \frac{1}{4}$.
Для разложения исходного выражения $-4x^2 + 5x - 1$ используем формулу $a(x - x_1)(x - x_2)$, где $a=-4$.
$-4x^2 + 5x - 1 = -4(x - 1)(x - \frac{1}{4})$.
Чтобы избавиться от дроби, умножим множитель $4$ на вторую скобку:
$-(x - 1) \cdot 4(x - \frac{1}{4}) = -(x - 1)(4x - 1)$.
Также можно внести минус в первую скобку: $(1 - x)(4x - 1)$.
Ответ: $(1 - x)(4x - 1)$.

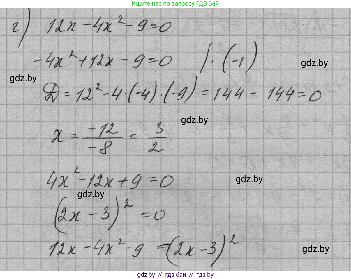
г) Запишем выражение $12x - 4x^2 - 9$ в стандартном виде:
$-4x^2 + 12x - 9$.
Вынесем $-1$ за скобки:
$-(4x^2 - 12x + 9)$.
Выражение в скобках является полным квадратом разности $(a-b)^2 = a^2 - 2ab + b^2$.
$4x^2 - 12x + 9 = (2x)^2 - 2 \cdot (2x) \cdot 3 + 3^2 = (2x - 3)^2$.
Следовательно, исходное выражение равно:
$-(2x - 3)^2$.
Альтернативный способ через дискриминант:
Решим уравнение $-4x^2 + 12x - 9 = 0$.
Коэффициенты: $a=-4$, $b=12$, $c=-9$.
$D = 12^2 - 4 \cdot (-4) \cdot (-9) = 144 - 144 = 0$.
Так как $D=0$, уравнение имеет один корень:
$x = \frac{-b}{2a} = \frac{-12}{2 \cdot (-4)} = \frac{-12}{-8} = \frac{3}{2}$.
Разложение в этом случае имеет вид $a(x - x_1)^2$.
$-4(x - \frac{3}{2})^2 = -2^2(x - \frac{3}{2})^2 = -(2(x - \frac{3}{2}))^2 = -(2x - 3)^2$.
Ответ: $-(2x - 3)^2$.

Помогло решение? Оставьте отзыв в комментариях ниже.

Присоединяйтесь к Телеграм-группе @gdz_by_belarus

Присоединиться

Мы подготовили для вас ответ c подробным объяснением домашего задания по алгебре за 7-9 класс, для упражнения номер 27.5 расположенного на странице 128 к сборнику задач 2020 года издания для учащихся школ и гимназий.

Теперь на нашем сайте ГДЗ.ТОП вы всегда легко и бесплатно найдёте условие с правильным ответом на вопрос «Как решить ДЗ» и «Как сделать» задание по алгебре к упражнению №27.5 (с. 128), авторов: Арефьева (Ирина Глебовна), Пирютко (Ольга Николаевна), учебного пособия издательства Народная асвета.