Номер 27.3, страница 128 - гдз по алгебре 7-9 класс сборник задач Арефьева, Пирютко

Алгебра, 7-9 класс Сборник задач, авторы: Арефьева Ирина Глебовна, Пирютко Ольга Николаевна, издательство Народная асвета, Минск, 2020

Авторы: Арефьева И. Г., Пирютко О. Н.

Тип: Сборник задач

Издательство: Народная асвета

Год издания: 2020 - 2025

Цвет обложки: синий с графиками

Допущено Министерством образования Республики Беларусь

Популярные ГДЗ в 7 классе

8 класс. Параграф 27. Квадратный трехчлен. Разложение квадратного трехчлена на множители - номер 27.3, страница 128.

№27.3 (с. 128)
Условие. №27.3 (с. 128)
скриншот условия
Алгебра, 7-9 класс Сборник задач, авторы: Арефьева Ирина Глебовна, Пирютко Ольга Николаевна, издательство Народная асвета, Минск, 2020, страница 128, номер 27.3, Условие

27.3. Представьте квадратный трехчлен в виде произведения двух двучленов:

а) $8x^2 - 2x - 1;$

б) $12x^2 - x - 1;$

в) $-6x^2 + x + 12;$

г) $-15x^2 + 2x + 1.$

Решение. №27.3 (с. 128)
Алгебра, 7-9 класс Сборник задач, авторы: Арефьева Ирина Глебовна, Пирютко Ольга Николаевна, издательство Народная асвета, Минск, 2020, страница 128, номер 27.3, Решение Алгебра, 7-9 класс Сборник задач, авторы: Арефьева Ирина Глебовна, Пирютко Ольга Николаевна, издательство Народная асвета, Минск, 2020, страница 128, номер 27.3, Решение (продолжение 2)
Решение 2. №27.3 (с. 128)

Чтобы представить квадратный трехчлен $ax^2 + bx + c$ в виде произведения двух двучленов, нужно найти корни соответствующего квадратного уравнения $ax^2 + bx + c = 0$. Если $x_1$ и $x_2$ — это корни, то трехчлен можно разложить по формуле $a(x - x_1)(x - x_2)$.

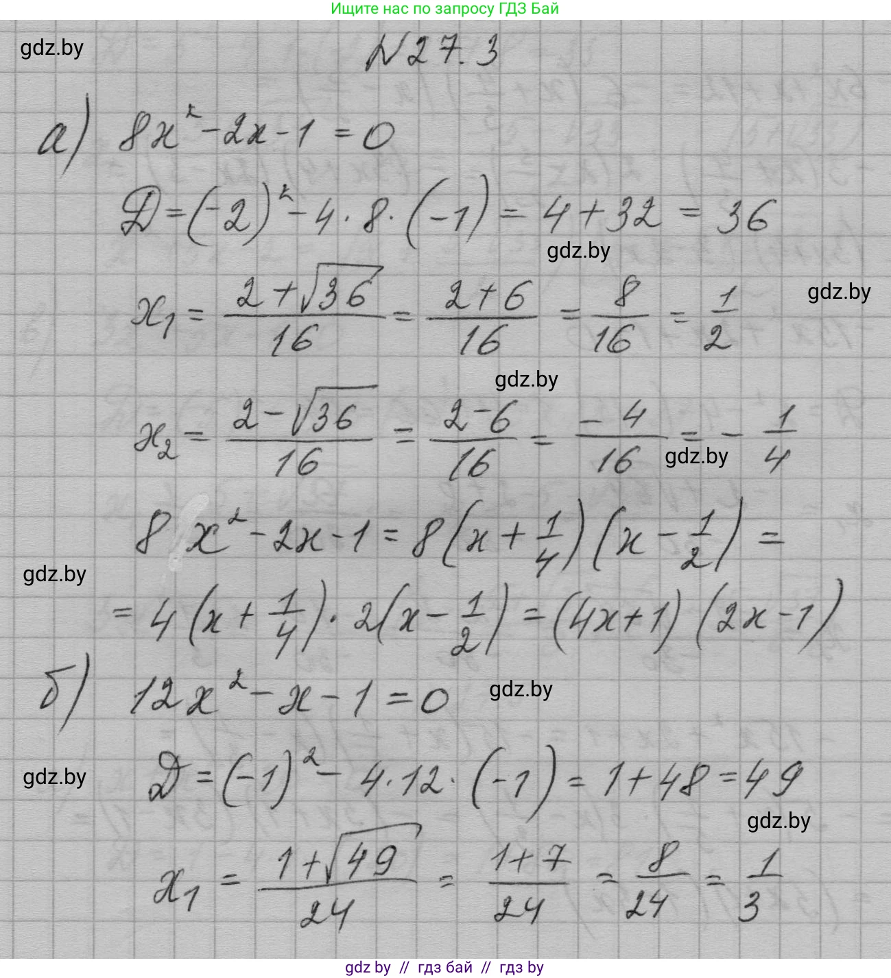
а) $8x^2 - 2x - 1$

Найдем корни уравнения $8x^2 - 2x - 1 = 0$.
Коэффициенты: $a = 8$, $b = -2$, $c = -1$.
Вычислим дискриминант: $D = b^2 - 4ac = (-2)^2 - 4 \cdot 8 \cdot (-1) = 4 + 32 = 36$.
Так как $D > 0$, уравнение имеет два корня:
$x_1 = \frac{-b + \sqrt{D}}{2a} = \frac{-(-2) + \sqrt{36}}{2 \cdot 8} = \frac{2 + 6}{16} = \frac{8}{16} = \frac{1}{2}$.
$x_2 = \frac{-b - \sqrt{D}}{2a} = \frac{-(-2) - \sqrt{36}}{2 \cdot 8} = \frac{2 - 6}{16} = \frac{-4}{16} = -\frac{1}{4}$.
Теперь применим формулу разложения: $8x^2 - 2x - 1 = 8(x - x_1)(x - x_2) = 8(x - \frac{1}{2})(x - (-\frac{1}{4})) = 8(x - \frac{1}{2})(x + \frac{1}{4})$.
Чтобы избавиться от дробей в скобках, внесем множитель 8, представив его как $2 \cdot 4$:
$8(x - \frac{1}{2})(x + \frac{1}{4}) = (2(x - \frac{1}{2}))(4(x + \frac{1}{4})) = (2x - 1)(4x + 1)$.
Ответ: $(2x - 1)(4x + 1)$.

б) $12x^2 - x - 1$

Найдем корни уравнения $12x^2 - x - 1 = 0$.
Коэффициенты: $a = 12$, $b = -1$, $c = -1$.
Дискриминант: $D = b^2 - 4ac = (-1)^2 - 4 \cdot 12 \cdot (-1) = 1 + 48 = 49$.
Корни уравнения:
$x_1 = \frac{-b + \sqrt{D}}{2a} = \frac{-(-1) + \sqrt{49}}{2 \cdot 12} = \frac{1 + 7}{24} = \frac{8}{24} = \frac{1}{3}$.
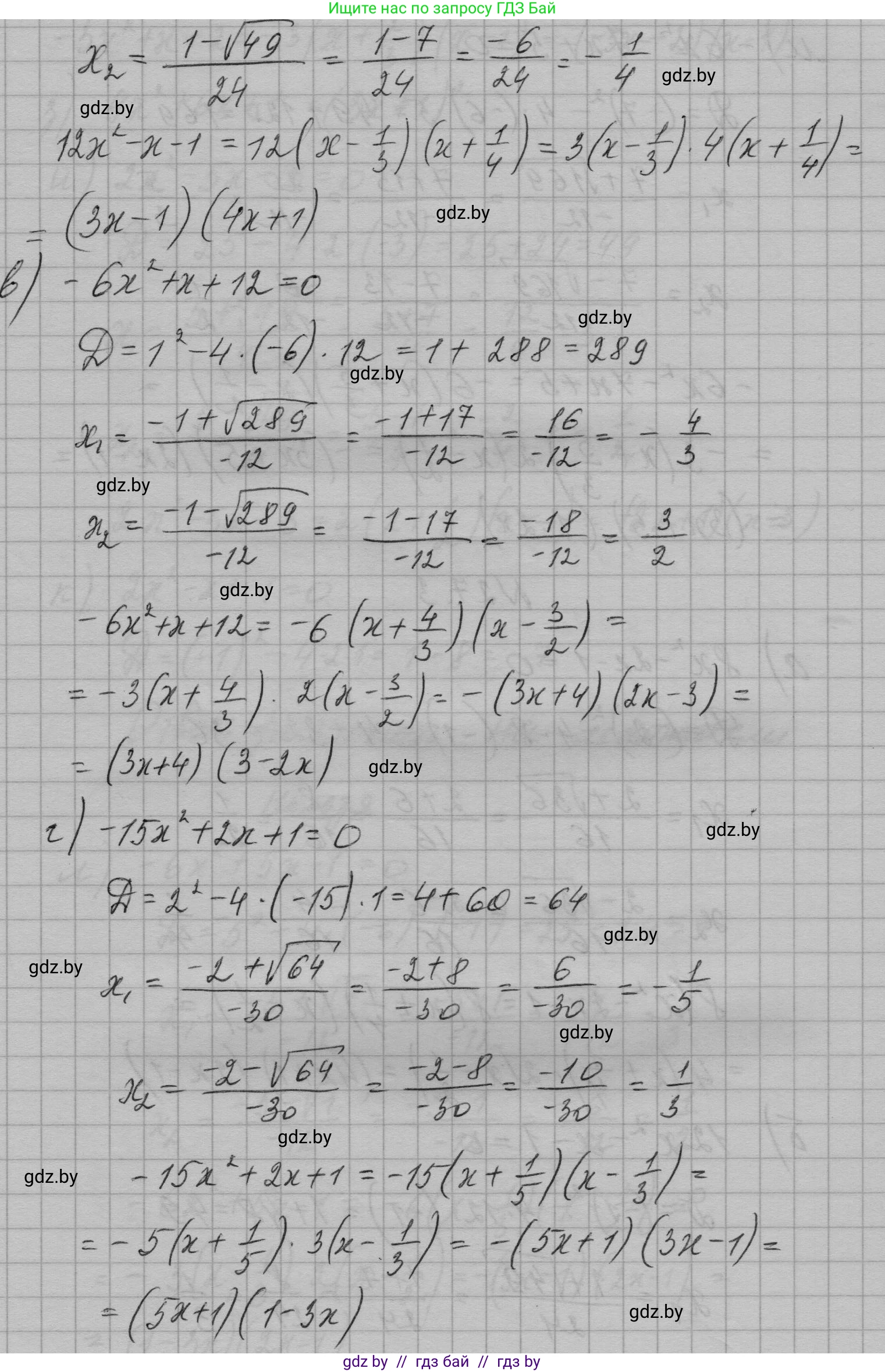
$x_2 = \frac{-b - \sqrt{D}}{2a} = \frac{-(-1) - \sqrt{49}}{2 \cdot 12} = \frac{1 - 7}{24} = \frac{-6}{24} = -\frac{1}{4}$.
Подставляем корни в формулу разложения:
$12x^2 - x - 1 = 12(x - \frac{1}{3})(x + \frac{1}{4})$.
Внесем множитель 12 в скобки, разложив его на $3 \cdot 4$:
$12(x - \frac{1}{3})(x + \frac{1}{4}) = (3(x - \frac{1}{3}))(4(x + \frac{1}{4})) = (3x - 1)(4x + 1)$.
Ответ: $(3x - 1)(4x + 1)$.

в) $-6x^2 + x + 12$

Найдем корни уравнения $-6x^2 + x + 12 = 0$.
Коэффициенты: $a = -6$, $b = 1$, $c = 12$.
Дискриминант: $D = b^2 - 4ac = 1^2 - 4 \cdot (-6) \cdot 12 = 1 + 288 = 289$.
Корни уравнения:
$x_1 = \frac{-b + \sqrt{D}}{2a} = \frac{-1 + \sqrt{289}}{2 \cdot (-6)} = \frac{-1 + 17}{-12} = \frac{16}{-12} = -\frac{4}{3}$.
$x_2 = \frac{-b - \sqrt{D}}{2a} = \frac{-1 - \sqrt{289}}{2 \cdot (-6)} = \frac{-1 - 17}{-12} = \frac{-18}{-12} = \frac{3}{2}$.
Подставляем корни в формулу разложения:
$-6x^2 + x + 12 = -6(x - (-\frac{4}{3}))(x - \frac{3}{2}) = -6(x + \frac{4}{3})(x - \frac{3}{2})$.
Внесем множитель -6 в скобки, представив его как $3 \cdot (-2)$:
$-6(x + \frac{4}{3})(x - \frac{3}{2}) = (3(x + \frac{4}{3}))(-2(x - \frac{3}{2})) = (3x + 4)(-2x + 3) = (3x + 4)(3 - 2x)$.
Ответ: $(3x + 4)(3 - 2x)$.

г) $-15x^2 + 2x + 1$

Найдем корни уравнения $-15x^2 + 2x + 1 = 0$.
Коэффициенты: $a = -15$, $b = 2$, $c = 1$.
Дискриминант: $D = b^2 - 4ac = 2^2 - 4 \cdot (-15) \cdot 1 = 4 + 60 = 64$.
Корни уравнения:
$x_1 = \frac{-b + \sqrt{D}}{2a} = \frac{-2 + \sqrt{64}}{2 \cdot (-15)} = \frac{-2 + 8}{-30} = \frac{6}{-30} = -\frac{1}{5}$.
$x_2 = \frac{-b - \sqrt{D}}{2a} = \frac{-2 - \sqrt{64}}{2 \cdot (-15)} = \frac{-2 - 8}{-30} = \frac{-10}{-30} = \frac{1}{3}$.
Подставляем корни в формулу разложения:
$-15x^2 + 2x + 1 = -15(x - (-\frac{1}{5}))(x - \frac{1}{3}) = -15(x + \frac{1}{5})(x - \frac{1}{3})$.
Внесем множитель -15 в скобки, представив его как $5 \cdot (-3)$:
$-15(x + \frac{1}{5})(x - \frac{1}{3}) = (5(x + \frac{1}{5}))(-3(x - \frac{1}{3})) = (5x + 1)(-3x + 1) = (5x + 1)(1 - 3x)$.
Ответ: $(5x + 1)(1 - 3x)$.

Помогло решение? Оставьте отзыв в комментариях ниже.

Присоединяйтесь к Телеграм-группе @gdz_by_belarus

Присоединиться

Мы подготовили для вас ответ c подробным объяснением домашего задания по алгебре за 7-9 класс, для упражнения номер 27.3 расположенного на странице 128 к сборнику задач 2020 года издания для учащихся школ и гимназий.

Теперь на нашем сайте ГДЗ.ТОП вы всегда легко и бесплатно найдёте условие с правильным ответом на вопрос «Как решить ДЗ» и «Как сделать» задание по алгебре к упражнению №27.3 (с. 128), авторов: Арефьева (Ирина Глебовна), Пирютко (Ольга Николаевна), учебного пособия издательства Народная асвета.