Номер 27.6, страница 128 - гдз по алгебре 7-9 класс сборник задач Арефьева, Пирютко

Алгебра, 7-9 класс Сборник задач, авторы: Арефьева Ирина Глебовна, Пирютко Ольга Николаевна, издательство Народная асвета, Минск, 2020

Авторы: Арефьева И. Г., Пирютко О. Н.

Тип: Сборник задач

Издательство: Народная асвета

Год издания: 2020 - 2025

Цвет обложки: синий с графиками

Допущено Министерством образования Республики Беларусь

Популярные ГДЗ в 7 классе

8 класс. Параграф 27. Квадратный трехчлен. Разложение квадратного трехчлена на множители - номер 27.6, страница 128.

№27.6 (с. 128)
Условие. №27.6 (с. 128)
скриншот условия
Алгебра, 7-9 класс Сборник задач, авторы: Арефьева Ирина Глебовна, Пирютко Ольга Николаевна, издательство Народная асвета, Минск, 2020, страница 128, номер 27.6, Условие

27.6. Разложите на множители квадратный трехчлен:

a) $0.5x^2 - 1.5x + 1;$

б) $\frac{1}{2}x^2 + 3.5x - 4;$

в) $-\frac{1}{3}x^2 + \frac{7}{9}x + \frac{2}{3}.$

Решение. №27.6 (с. 128)
Алгебра, 7-9 класс Сборник задач, авторы: Арефьева Ирина Глебовна, Пирютко Ольга Николаевна, издательство Народная асвета, Минск, 2020, страница 128, номер 27.6, Решение Алгебра, 7-9 класс Сборник задач, авторы: Арефьева Ирина Глебовна, Пирютко Ольга Николаевна, издательство Народная асвета, Минск, 2020, страница 128, номер 27.6, Решение (продолжение 2)
Решение 2. №27.6 (с. 128)

Для разложения квадратного трехчлена вида $ax^2 + bx + c$ на множители используется формула $a(x-x_1)(x-x_2)$, где $x_1$ и $x_2$ — корни соответствующего квадратного уравнения $ax^2 + bx + c = 0$.

а) $0,5x^2 - 1,5x + 1$

1. Приравняем трехчлен к нулю, чтобы найти его корни: $0,5x^2 - 1,5x + 1 = 0$.
2. Найдем дискриминант: $D = b^2 - 4ac = (-1,5)^2 - 4 \cdot 0,5 \cdot 1 = 2,25 - 2 = 0,25$.
3. Найдем корни уравнения:
$x_1 = \frac{-b + \sqrt{D}}{2a} = \frac{1,5 + \sqrt{0,25}}{2 \cdot 0,5} = \frac{1,5 + 0,5}{1} = 2$.
$x_2 = \frac{-b - \sqrt{D}}{2a} = \frac{1,5 - \sqrt{0,25}}{2 \cdot 0,5} = \frac{1,5 - 0,5}{1} = 1$.
4. Подставим найденные корни и коэффициент $a = 0,5$ в формулу разложения: $0,5(x - 2)(x - 1)$.
Ответ: $0,5(x-1)(x-2)$.

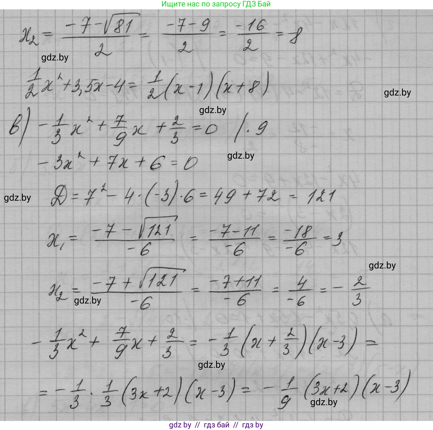
б) $\frac{1}{2}x^2 + 3,5x - 4$

1. Приравняем трехчлен к нулю: $\frac{1}{2}x^2 + 3,5x - 4 = 0$. Для удобства вычислений представим $3,5$ как $\frac{7}{2}$ и умножим все уравнение на 2, чтобы избавиться от дробей: $x^2 + 7x - 8 = 0$.
2. Найдем дискриминант для нового уравнения ($a=1, b=7, c=-8$): $D = b^2 - 4ac = 7^2 - 4 \cdot 1 \cdot (-8) = 49 + 32 = 81$.
3. Найдем корни уравнения:
$x_1 = \frac{-b + \sqrt{D}}{2a} = \frac{-7 + \sqrt{81}}{2} = \frac{2}{2} = 1$.
$x_2 = \frac{-b - \sqrt{D}}{2a} = \frac{-7 - \sqrt{81}}{2} = \frac{-16}{2} = -8$.
4. Подставим корни и исходный коэффициент $a = \frac{1}{2}$ в формулу разложения: $\frac{1}{2}(x-1)(x-(-8)) = \frac{1}{2}(x-1)(x+8)$.
Ответ: $\frac{1}{2}(x-1)(x+8)$.

в) $-\frac{1}{3}x^2 + \frac{7}{9}x + \frac{2}{3}$

1. Приравняем трехчлен к нулю: $-\frac{1}{3}x^2 + \frac{7}{9}x + \frac{2}{3} = 0$. Для удобства умножим уравнение на -9, чтобы избавиться от дробей и сделать старший коэффициент положительным: $3x^2 - 7x - 6 = 0$.
2. Найдем дискриминант для нового уравнения ($a=3, b=-7, c=-6$): $D = b^2 - 4ac = (-7)^2 - 4 \cdot 3 \cdot (-6) = 49 + 72 = 121$.
3. Найдем корни уравнения:
$x_1 = \frac{-b + \sqrt{D}}{2a} = \frac{7 + \sqrt{121}}{2 \cdot 3} = \frac{7+11}{6} = \frac{18}{6} = 3$.
$x_2 = \frac{-b - \sqrt{D}}{2a} = \frac{7 - \sqrt{121}}{2 \cdot 3} = \frac{7-11}{6} = \frac{-4}{6} = -\frac{2}{3}$.
4. Подставим корни и исходный коэффициент $a = -\frac{1}{3}$ в формулу разложения: $-\frac{1}{3}(x-3)(x-(-\frac{2}{3})) = -\frac{1}{3}(x-3)(x+\frac{2}{3})$.
Ответ: $-\frac{1}{3}(x-3)(x+\frac{2}{3})$.

Помогло решение? Оставьте отзыв в комментариях ниже.

Присоединяйтесь к Телеграм-группе @gdz_by_belarus

Присоединиться

Мы подготовили для вас ответ c подробным объяснением домашего задания по алгебре за 7-9 класс, для упражнения номер 27.6 расположенного на странице 128 к сборнику задач 2020 года издания для учащихся школ и гимназий.

Теперь на нашем сайте ГДЗ.ТОП вы всегда легко и бесплатно найдёте условие с правильным ответом на вопрос «Как решить ДЗ» и «Как сделать» задание по алгебре к упражнению №27.6 (с. 128), авторов: Арефьева (Ирина Глебовна), Пирютко (Ольга Николаевна), учебного пособия издательства Народная асвета.