Номер 1.202, страница 57 - гдз по алгебре 8 класс учебник Арефьева, Пирютко

Алгебра, 8 класс Учебник, авторы: Арефьева Ирина Глебовна, Пирютко Ольга Николаевна, издательство Адукацыя i выхаванне, Минск, 2024, бирюзового цвета

Авторы: Арефьева И. Г., Пирютко О. Н.

Тип: Учебник

Издательство: Адукацыя i выхаванне

Год издания: 2024 - 2025

Цвет обложки: бирюзовый с графиком

ISBN: ISBN 978-985-03-4081-8

Допущено Министерством образования Республики Беларусь

Популярные ГДЗ в 8 классе

Глава 1. Квадратные корни и их свойства. Действительные числа. Параграф 4. Применение свойств квадратных корней - номер 1.202, страница 57.

№1.202 (с. 57)
Условие. №1.202 (с. 57)
скриншот условия
Алгебра, 8 класс Учебник, авторы: Арефьева Ирина Глебовна, Пирютко Ольга Николаевна, издательство Адукацыя i выхаванне, Минск, 2024, бирюзового цвета, страница 57, номер 1.202, Условие

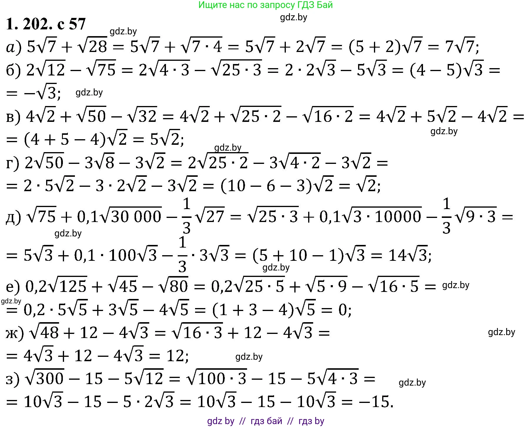
1.202. Упростите выражение, используя вынесение множителя за знак корня:

а) $5\sqrt{7} + \sqrt{28};$

б) $2\sqrt{12} - \sqrt{75};$

в) $4\sqrt{2} + \sqrt{50} - \sqrt{32};$

г) $2\sqrt{50} - 3\sqrt{8} - 3\sqrt{2};$

д) $\sqrt{75} + 0,1\sqrt{30000} - \frac{1}{3}\sqrt{27};$

е) $0,2\sqrt{125} + \sqrt{45} - \sqrt{80};$

ж) $\sqrt{48} + 12 - 4\sqrt{3};$

з) $\sqrt{300} - 15 - 5\sqrt{12}.$

Решение. №1.202 (с. 57)
Алгебра, 8 класс Учебник, авторы: Арефьева Ирина Глебовна, Пирютко Ольга Николаевна, издательство Адукацыя i выхаванне, Минск, 2024, бирюзового цвета, страница 57, номер 1.202, Решение
Решение 2. №1.202 (с. 57)

а) $5\sqrt{7} + \sqrt{28}$

Для упрощения выражения вынесем множитель из-под знака корня во втором слагаемом. Разложим число 28 на множители так, чтобы один из них был полным квадратом: $28 = 4 \cdot 7$.

$\sqrt{28} = \sqrt{4 \cdot 7} = \sqrt{4} \cdot \sqrt{7} = 2\sqrt{7}$

Теперь подставим упрощенное значение в исходное выражение и приведем подобные слагаемые:

$5\sqrt{7} + 2\sqrt{7} = (5+2)\sqrt{7} = 7\sqrt{7}$

Ответ: $7\sqrt{7}$.

б) $2\sqrt{12} - \sqrt{75}$

Упростим каждый член выражения, вынося множитель из-под знака корня. Разложим 12 и 75 на множители:

$12 = 4 \cdot 3$, поэтому $\sqrt{12} = \sqrt{4 \cdot 3} = 2\sqrt{3}$.

$75 = 25 \cdot 3$, поэтому $\sqrt{75} = \sqrt{25 \cdot 3} = 5\sqrt{3}$.

Подставим упрощенные значения в выражение:

$2\sqrt{12} - \sqrt{75} = 2 \cdot (2\sqrt{3}) - 5\sqrt{3} = 4\sqrt{3} - 5\sqrt{3} = (4-5)\sqrt{3} = -\sqrt{3}$

Ответ: $-\sqrt{3}$.

в) $4\sqrt{2} + \sqrt{50} - \sqrt{32}$

Упростим второе и третье слагаемые, вынося множитель из-под знака корня. Общий радикал будет $\sqrt{2}$.

$\sqrt{50} = \sqrt{25 \cdot 2} = 5\sqrt{2}$

$\sqrt{32} = \sqrt{16 \cdot 2} = 4\sqrt{2}$

Подставим упрощенные значения и выполним действия:

$4\sqrt{2} + 5\sqrt{2} - 4\sqrt{2} = (4+5-4)\sqrt{2} = 5\sqrt{2}$

Ответ: $5\sqrt{2}$.

г) $2\sqrt{50} - 3\sqrt{8} - 3\sqrt{2}$

Упростим первое и второе слагаемые, вынося множитель из-под знака корня.

$2\sqrt{50} = 2\sqrt{25 \cdot 2} = 2 \cdot 5\sqrt{2} = 10\sqrt{2}$

$3\sqrt{8} = 3\sqrt{4 \cdot 2} = 3 \cdot 2\sqrt{2} = 6\sqrt{2}$

Подставим упрощенные значения в выражение:

$10\sqrt{2} - 6\sqrt{2} - 3\sqrt{2} = (10-6-3)\sqrt{2} = 1\sqrt{2} = \sqrt{2}$

Ответ: $\sqrt{2}$.

д) $\sqrt{75} + 0,1\sqrt{30000} - \frac{1}{3}\sqrt{27}$

Упростим каждый член выражения. Общий радикал будет $\sqrt{3}$.

$\sqrt{75} = \sqrt{25 \cdot 3} = 5\sqrt{3}$

$0,1\sqrt{30000} = 0,1\sqrt{10000 \cdot 3} = 0,1 \cdot 100\sqrt{3} = 10\sqrt{3}$

$\frac{1}{3}\sqrt{27} = \frac{1}{3}\sqrt{9 \cdot 3} = \frac{1}{3} \cdot 3\sqrt{3} = \sqrt{3}$

Подставим и сложим:

$5\sqrt{3} + 10\sqrt{3} - \sqrt{3} = (5+10-1)\sqrt{3} = 14\sqrt{3}$

Ответ: $14\sqrt{3}$.

е) $0,2\sqrt{125} + \sqrt{45} - \sqrt{80}$

Упростим каждый член выражения. Общий радикал будет $\sqrt{5}$.

$0,2\sqrt{125} = 0,2\sqrt{25 \cdot 5} = 0,2 \cdot 5\sqrt{5} = \sqrt{5}$

$\sqrt{45} = \sqrt{9 \cdot 5} = 3\sqrt{5}$

$\sqrt{80} = \sqrt{16 \cdot 5} = 4\sqrt{5}$

Подставим упрощенные значения в выражение:

$\sqrt{5} + 3\sqrt{5} - 4\sqrt{5} = (1+3-4)\sqrt{5} = 0\sqrt{5} = 0$

Ответ: $0$.

ж) $\sqrt{48} + 12 - 4\sqrt{3}$

Упростим первый член выражения, вынеся множитель из-под знака корня.

$\sqrt{48} = \sqrt{16 \cdot 3} = 4\sqrt{3}$

Подставим упрощенное значение в выражение:

$4\sqrt{3} + 12 - 4\sqrt{3} = (4\sqrt{3} - 4\sqrt{3}) + 12 = 0 + 12 = 12$

Ответ: $12$.

з) $\sqrt{300} - 15 - 5\sqrt{12}$

Упростим первый и третий члены выражения.

$\sqrt{300} = \sqrt{100 \cdot 3} = 10\sqrt{3}$

$5\sqrt{12} = 5\sqrt{4 \cdot 3} = 5 \cdot 2\sqrt{3} = 10\sqrt{3}$

Подставим упрощенные значения в выражение:

$10\sqrt{3} - 15 - 10\sqrt{3} = (10\sqrt{3} - 10\sqrt{3}) - 15 = 0 - 15 = -15$

Ответ: $-15$.

Помогло решение? Оставьте отзыв в комментариях ниже.

Присоединяйтесь к Телеграм-группе @gdz_by_belarus

Присоединиться

Мы подготовили для вас ответ c подробным объяснением домашего задания по алгебре за 8 класс, для упражнения номер 1.202 расположенного на странице 57 к учебнику 2024 года издания для учащихся школ и гимназий.

Теперь на нашем сайте ГДЗ.ТОП вы всегда легко и бесплатно найдёте условие с правильным ответом на вопрос «Как решить ДЗ» и «Как сделать» задание по алгебре к упражнению №1.202 (с. 57), авторов: Арефьева (Ирина Глебовна), Пирютко (Ольга Николаевна), учебного пособия издательства Адукацыя i выхаванне.