Номер 1.204, страница 57 - гдз по алгебре 8 класс учебник Арефьева, Пирютко

Алгебра, 8 класс Учебник, авторы: Арефьева Ирина Глебовна, Пирютко Ольга Николаевна, издательство Адукацыя i выхаванне, Минск, 2024, бирюзового цвета

Авторы: Арефьева И. Г., Пирютко О. Н.

Тип: Учебник

Издательство: Адукацыя i выхаванне

Год издания: 2024 - 2025

Цвет обложки: бирюзовый с графиком

ISBN: ISBN 978-985-03-4081-8

Допущено Министерством образования Республики Беларусь

Популярные ГДЗ в 8 классе

Глава 1. Квадратные корни и их свойства. Действительные числа. Параграф 4. Применение свойств квадратных корней - номер 1.204, страница 57.

№1.204 (с. 57)
Условие. №1.204 (с. 57)
скриншот условия
Алгебра, 8 класс Учебник, авторы: Арефьева Ирина Глебовна, Пирютко Ольга Николаевна, издательство Адукацыя i выхаванне, Минск, 2024, бирюзового цвета, страница 57, номер 1.204, Условие

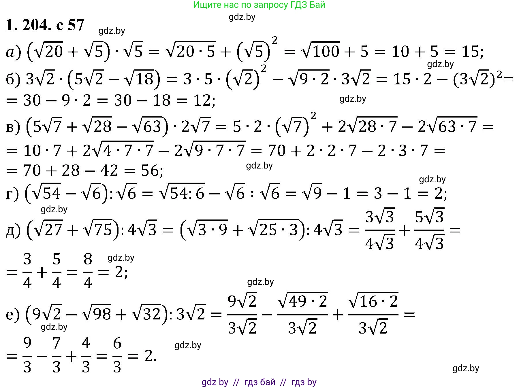
1.204. Докажите, что значение выражения является рациональным числом:

а) $(\sqrt{20} + \sqrt{5}) \cdot \sqrt{5};$

б) $3\sqrt{2} \cdot (5\sqrt{2} - \sqrt{18});$

в) $(5\sqrt{7} + \sqrt{28} - \sqrt{63}) \cdot (2\sqrt{7});$

г) $(\sqrt{54} - \sqrt{6}) : \sqrt{6};$

д) $(\sqrt{27} + \sqrt{75}) : (4\sqrt{3});$

е) $(9\sqrt{2} - \sqrt{98} + \sqrt{32}) : (3\sqrt{2}).$

Решение. №1.204 (с. 57)
Алгебра, 8 класс Учебник, авторы: Арефьева Ирина Глебовна, Пирютко Ольга Николаевна, издательство Адукацыя i выхаванне, Минск, 2024, бирюзового цвета, страница 57, номер 1.204, Решение
Решение 2. №1.204 (с. 57)

а) Для доказательства того, что значение выражения $(\sqrt{20} + \sqrt{5}) \cdot \sqrt{5}$ является рациональным числом, необходимо его упростить.
1. Упростим $\sqrt{20}$, вынеся множитель из-под знака корня:
$\sqrt{20} = \sqrt{4 \cdot 5} = \sqrt{4} \cdot \sqrt{5} = 2\sqrt{5}$
2. Подставим полученное значение обратно в выражение:
$(2\sqrt{5} + \sqrt{5}) \cdot \sqrt{5}$
3. Сложим подобные слагаемые в скобках:
$(2+1)\sqrt{5} \cdot \sqrt{5} = 3\sqrt{5} \cdot \sqrt{5}$
4. Выполним умножение, используя свойство $\sqrt{a} \cdot \sqrt{a} = a$:
$3 \cdot 5 = 15$
Результат, 15, является целым числом, а все целые числа являются рациональными.
Ответ: 15

б) Упростим выражение $3\sqrt{2} \cdot (5\sqrt{2} - \sqrt{18})$, чтобы доказать, что его значение рационально.
1. Упростим $\sqrt{18}$:
$\sqrt{18} = \sqrt{9 \cdot 2} = \sqrt{9} \cdot \sqrt{2} = 3\sqrt{2}$
2. Подставим значение в исходное выражение:
$3\sqrt{2} \cdot (5\sqrt{2} - 3\sqrt{2})$
3. Выполним вычитание в скобках:
$3\sqrt{2} \cdot ( (5-3)\sqrt{2} ) = 3\sqrt{2} \cdot 2\sqrt{2}$
4. Перемножим коэффициенты и корни:
$(3 \cdot 2) \cdot (\sqrt{2} \cdot \sqrt{2}) = 6 \cdot 2 = 12$
Результат, 12, — целое число, следовательно, оно рациональное.
Ответ: 12

в) Докажем, что значение выражения $(5\sqrt{7} + \sqrt{28} - \sqrt{63}) \cdot (2\sqrt{7})$ является рациональным.
1. Упростим корни в первой скобке:
$\sqrt{28} = \sqrt{4 \cdot 7} = 2\sqrt{7}$
$\sqrt{63} = \sqrt{9 \cdot 7} = 3\sqrt{7}$
2. Подставим упрощенные значения:
$(5\sqrt{7} + 2\sqrt{7} - 3\sqrt{7}) \cdot (2\sqrt{7})$
3. Приведем подобные слагаемые в первой скобке:
$(5 + 2 - 3)\sqrt{7} \cdot (2\sqrt{7}) = 4\sqrt{7} \cdot 2\sqrt{7}$
4. Выполним умножение:
$(4 \cdot 2) \cdot (\sqrt{7} \cdot \sqrt{7}) = 8 \cdot 7 = 56$
Полученное число 56 является целым, а значит, и рациональным.
Ответ: 56

г) Упростим выражение $(\sqrt{54} - \sqrt{6}) : \sqrt{6}$.
1. Упростим $\sqrt{54}$:
$\sqrt{54} = \sqrt{9 \cdot 6} = 3\sqrt{6}$
2. Подставим значение в выражение:
$(3\sqrt{6} - \sqrt{6}) : \sqrt{6}$
3. Выполним вычитание в скобках:
$2\sqrt{6} : \sqrt{6}$
4. Выполним деление:
$\frac{2\sqrt{6}}{\sqrt{6}} = 2$
Результат, 2, является целым и, следовательно, рациональным числом.
Ответ: 2

д) Докажем, что значение $(\sqrt{27} + \sqrt{75}) : (4\sqrt{3})$ рационально, упростив его.
1. Упростим корни в первой скобке:
$\sqrt{27} = \sqrt{9 \cdot 3} = 3\sqrt{3}$
$\sqrt{75} = \sqrt{25 \cdot 3} = 5\sqrt{3}$
2. Подставим упрощенные значения:
$(3\sqrt{3} + 5\sqrt{3}) : (4\sqrt{3})$
3. Сложим подобные слагаемые в скобках:
$8\sqrt{3} : (4\sqrt{3})$
4. Выполним деление:
$\frac{8\sqrt{3}}{4\sqrt{3}} = \frac{8}{4} = 2$
Результат, 2, является целым и рациональным числом.
Ответ: 2

е) Упростим выражение $(9\sqrt{2} - \sqrt{98} + \sqrt{32}) : (3\sqrt{2})$.
1. Упростим корни в скобках:
$\sqrt{98} = \sqrt{49 \cdot 2} = 7\sqrt{2}$
$\sqrt{32} = \sqrt{16 \cdot 2} = 4\sqrt{2}$
2. Подставим упрощенные значения в выражение:
$(9\sqrt{2} - 7\sqrt{2} + 4\sqrt{2}) : (3\sqrt{2})$
3. Приведем подобные слагаемые в скобках:
$(9 - 7 + 4)\sqrt{2} : (3\sqrt{2}) = 6\sqrt{2} : (3\sqrt{2})$
4. Выполним деление:
$\frac{6\sqrt{2}}{3\sqrt{2}} = \frac{6}{3} = 2$
Полученное число 2 является целым, а значит, и рациональным.
Ответ: 2

Помогло решение? Оставьте отзыв в комментариях ниже.

Присоединяйтесь к Телеграм-группе @gdz_by_belarus

Присоединиться

Мы подготовили для вас ответ c подробным объяснением домашего задания по алгебре за 8 класс, для упражнения номер 1.204 расположенного на странице 57 к учебнику 2024 года издания для учащихся школ и гимназий.

Теперь на нашем сайте ГДЗ.ТОП вы всегда легко и бесплатно найдёте условие с правильным ответом на вопрос «Как решить ДЗ» и «Как сделать» задание по алгебре к упражнению №1.204 (с. 57), авторов: Арефьева (Ирина Глебовна), Пирютко (Ольга Николаевна), учебного пособия издательства Адукацыя i выхаванне.