Номер 1.205, страница 57 - гдз по алгебре 8 класс учебник Арефьева, Пирютко

Алгебра, 8 класс Учебник, авторы: Арефьева Ирина Глебовна, Пирютко Ольга Николаевна, издательство Адукацыя i выхаванне, Минск, 2024, бирюзового цвета

Авторы: Арефьева И. Г., Пирютко О. Н.

Тип: Учебник

Издательство: Адукацыя i выхаванне

Год издания: 2024 - 2025

Цвет обложки: бирюзовый с графиком

ISBN: ISBN 978-985-03-4081-8

Допущено Министерством образования Республики Беларусь

Популярные ГДЗ в 8 классе

Глава 1. Квадратные корни и их свойства. Действительные числа. Параграф 4. Применение свойств квадратных корней - номер 1.205, страница 57.

№1.205 (с. 57)
Условие. №1.205 (с. 57)
скриншот условия
Алгебра, 8 класс Учебник, авторы: Арефьева Ирина Глебовна, Пирютко Ольга Николаевна, издательство Адукацыя i выхаванне, Минск, 2024, бирюзового цвета, страница 57, номер 1.205, Условие

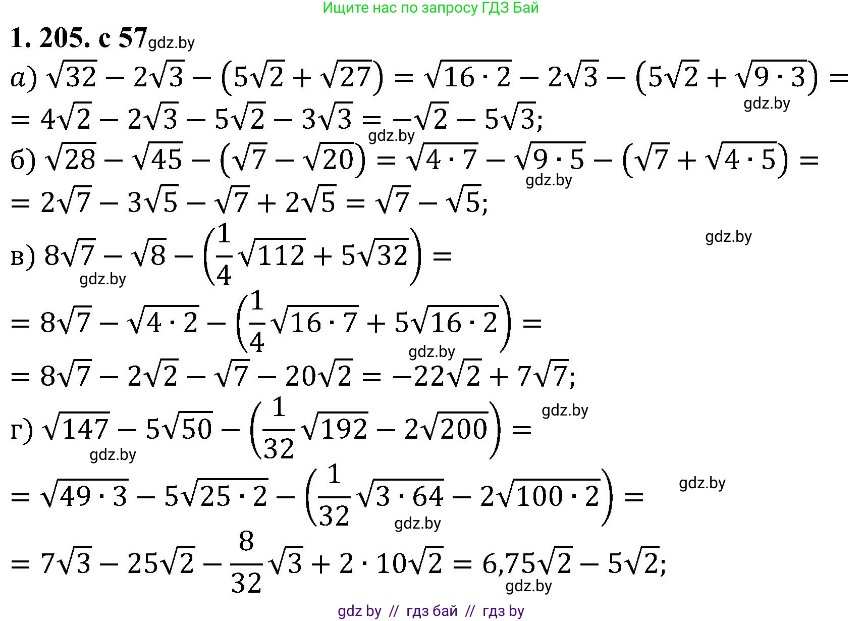
1.205. Выполните действия:

a) $\sqrt{32} - 2\sqrt{3} - (5\sqrt{2} + \sqrt{27});$

б) $\sqrt{28} - \sqrt{45} - (\sqrt{7} - \sqrt{20});$

в) $8\sqrt{7} - \sqrt{8} - (\frac{1}{4}\sqrt{112} + 5\sqrt{32});$

г) $\sqrt{147} - 5\sqrt{50} - (\frac{1}{32}\sqrt{192} - 2\sqrt{200}).$

Решение. №1.205 (с. 57)
Алгебра, 8 класс Учебник, авторы: Арефьева Ирина Глебовна, Пирютко Ольга Николаевна, издательство Адукацыя i выхаванне, Минск, 2024, бирюзового цвета, страница 57, номер 1.205, Решение
Решение 2. №1.205 (с. 57)

а) Для решения данного выражения необходимо упростить каждый член, вынеся множитель из-под знака корня, а затем сгруппировать и сложить/вычесть подобные слагаемые (слагаемые с одинаковыми подкоренными выражениями).

Исходное выражение:
$\sqrt{32} - 2\sqrt{3} - (5\sqrt{2} + \sqrt{27})$

1. Упростим корни, вынеся множители из-под знака корня:
$\sqrt{32} = \sqrt{16 \cdot 2} = \sqrt{4^2 \cdot 2} = 4\sqrt{2}$
$\sqrt{27} = \sqrt{9 \cdot 3} = \sqrt{3^2 \cdot 3} = 3\sqrt{3}$

2. Подставим упрощенные значения в исходное выражение:
$4\sqrt{2} - 2\sqrt{3} - (5\sqrt{2} + 3\sqrt{3})$

3. Раскроем скобки. Так как перед скобкой стоит знак минус, знаки слагаемых внутри скобок меняются на противоположные:
$4\sqrt{2} - 2\sqrt{3} - 5\sqrt{2} - 3\sqrt{3}$

4. Сгруппируем и приведем подобные слагаемые:
$(4\sqrt{2} - 5\sqrt{2}) + (-2\sqrt{3} - 3\sqrt{3}) = -\sqrt{2} - 5\sqrt{3}$

Ответ: а) $-\sqrt{2} - 5\sqrt{3}$


б) Упростим выражение, следуя тому же алгоритму: упрощение корней, раскрытие скобок и приведение подобных слагаемых.

Исходное выражение:
$\sqrt{28} - \sqrt{45} - (\sqrt{7} - \sqrt{20})$

1. Упростим корни:
$\sqrt{28} = \sqrt{4 \cdot 7} = 2\sqrt{7}$
$\sqrt{45} = \sqrt{9 \cdot 5} = 3\sqrt{5}$
$\sqrt{20} = \sqrt{4 \cdot 5} = 2\sqrt{5}$

2. Подставим упрощенные значения:
$2\sqrt{7} - 3\sqrt{5} - (\sqrt{7} - 2\sqrt{5})$

3. Раскроем скобки:
$2\sqrt{7} - 3\sqrt{5} - \sqrt{7} + 2\sqrt{5}$

4. Сгруппируем и приведем подобные слагаемые:
$(2\sqrt{7} - \sqrt{7}) + (-3\sqrt{5} + 2\sqrt{5}) = \sqrt{7} - \sqrt{5}$

Ответ: б) $\sqrt{7} - \sqrt{5}$


в) Упростим выражение, содержащее дроби и корни.

Исходное выражение:
$8\sqrt{7} - \sqrt{8} - (\frac{1}{4}\sqrt{112} + 5\sqrt{32})$

1. Упростим корни:
$\sqrt{8} = \sqrt{4 \cdot 2} = 2\sqrt{2}$
$\sqrt{112} = \sqrt{16 \cdot 7} = 4\sqrt{7}$
$\sqrt{32} = \sqrt{16 \cdot 2} = 4\sqrt{2}$

2. Подставим упрощенные значения в выражение и выполним умножение внутри скобок:
$8\sqrt{7} - 2\sqrt{2} - (\frac{1}{4} \cdot 4\sqrt{7} + 5 \cdot 4\sqrt{2}) = 8\sqrt{7} - 2\sqrt{2} - (\sqrt{7} + 20\sqrt{2})$

3. Раскроем скобки:
$8\sqrt{7} - 2\sqrt{2} - \sqrt{7} - 20\sqrt{2}$

4. Сгруппируем и приведем подобные слагаемые:
$(8\sqrt{7} - \sqrt{7}) + (-2\sqrt{2} - 20\sqrt{2}) = 7\sqrt{7} - 22\sqrt{2}$

Ответ: в) $7\sqrt{7} - 22\sqrt{2}$


г) Решим последнее выражение, обращая внимание на коэффициенты перед корнями.

Исходное выражение:
$\sqrt{147} - 5\sqrt{50} - (\frac{1}{32}\sqrt{192} - 2\sqrt{200})$

1. Упростим корни:
$\sqrt{147} = \sqrt{49 \cdot 3} = 7\sqrt{3}$
$\sqrt{50} = \sqrt{25 \cdot 2} = 5\sqrt{2}$
$\sqrt{192} = \sqrt{64 \cdot 3} = 8\sqrt{3}$
$\sqrt{200} = \sqrt{100 \cdot 2} = 10\sqrt{2}$

2. Подставим упрощенные значения и выполним умножения:
$7\sqrt{3} - 5 \cdot 5\sqrt{2} - (\frac{1}{32} \cdot 8\sqrt{3} - 2 \cdot 10\sqrt{2})$
$7\sqrt{3} - 25\sqrt{2} - (\frac{8}{32}\sqrt{3} - 20\sqrt{2})$
$7\sqrt{3} - 25\sqrt{2} - (\frac{1}{4}\sqrt{3} - 20\sqrt{2})$

3. Раскроем скобки:
$7\sqrt{3} - 25\sqrt{2} - \frac{1}{4}\sqrt{3} + 20\sqrt{2}$

4. Сгруппируем и приведем подобные слагаемые:
$(7\sqrt{3} - \frac{1}{4}\sqrt{3}) + (-25\sqrt{2} + 20\sqrt{2})$
$(\frac{28}{4}\sqrt{3} - \frac{1}{4}\sqrt{3}) - 5\sqrt{2} = \frac{27}{4}\sqrt{3} - 5\sqrt{2}$

5. Преобразуем неправильную дробь $\frac{27}{4}$ в смешанное число: $\frac{27}{4} = 6\frac{3}{4}$.

Ответ: г) $\mathbf{6}\frac{3}{4}\sqrt{3} - 5\sqrt{2}$

Помогло решение? Оставьте отзыв в комментариях ниже.

Присоединяйтесь к Телеграм-группе @gdz_by_belarus

Присоединиться

Мы подготовили для вас ответ c подробным объяснением домашего задания по алгебре за 8 класс, для упражнения номер 1.205 расположенного на странице 57 к учебнику 2024 года издания для учащихся школ и гимназий.

Теперь на нашем сайте ГДЗ.ТОП вы всегда легко и бесплатно найдёте условие с правильным ответом на вопрос «Как решить ДЗ» и «Как сделать» задание по алгебре к упражнению №1.205 (с. 57), авторов: Арефьева (Ирина Глебовна), Пирютко (Ольга Николаевна), учебного пособия издательства Адукацыя i выхаванне.