Номер 1.219, страница 65 - гдз по алгебре 9 класс учебник Арефьева, Пирютко

Алгебра, 9 класс Учебник, авторы: Арефьева Ирина Глебовна, Пирютко Ольга Николаевна, издательство Народная асвета, Минск, 2019, голубого цвета

Авторы: Арефьева И. Г., Пирютко О. Н.

Тип: Учебник

Издательство: Народная асвета

Год издания: 2019 - 2025

Цвет обложки: голубой, синий с графиком

ISBN: 978-985-03-3077-2

Допущено Министерством образования Республики Беларусь

Популярные ГДЗ в 9 классе

Глава 1. Рациональные выражения. Параграф 5. Преобразования рациональных выражений - номер 1.219, страница 65.

№1.219 (с. 65)
Условие. №1.219 (с. 65)
скриншот условия
Алгебра, 9 класс Учебник, авторы: Арефьева Ирина Глебовна, Пирютко Ольга Николаевна, издательство Народная асвета, Минск, 2019, голубого цвета, страница 65, номер 1.219, Условие

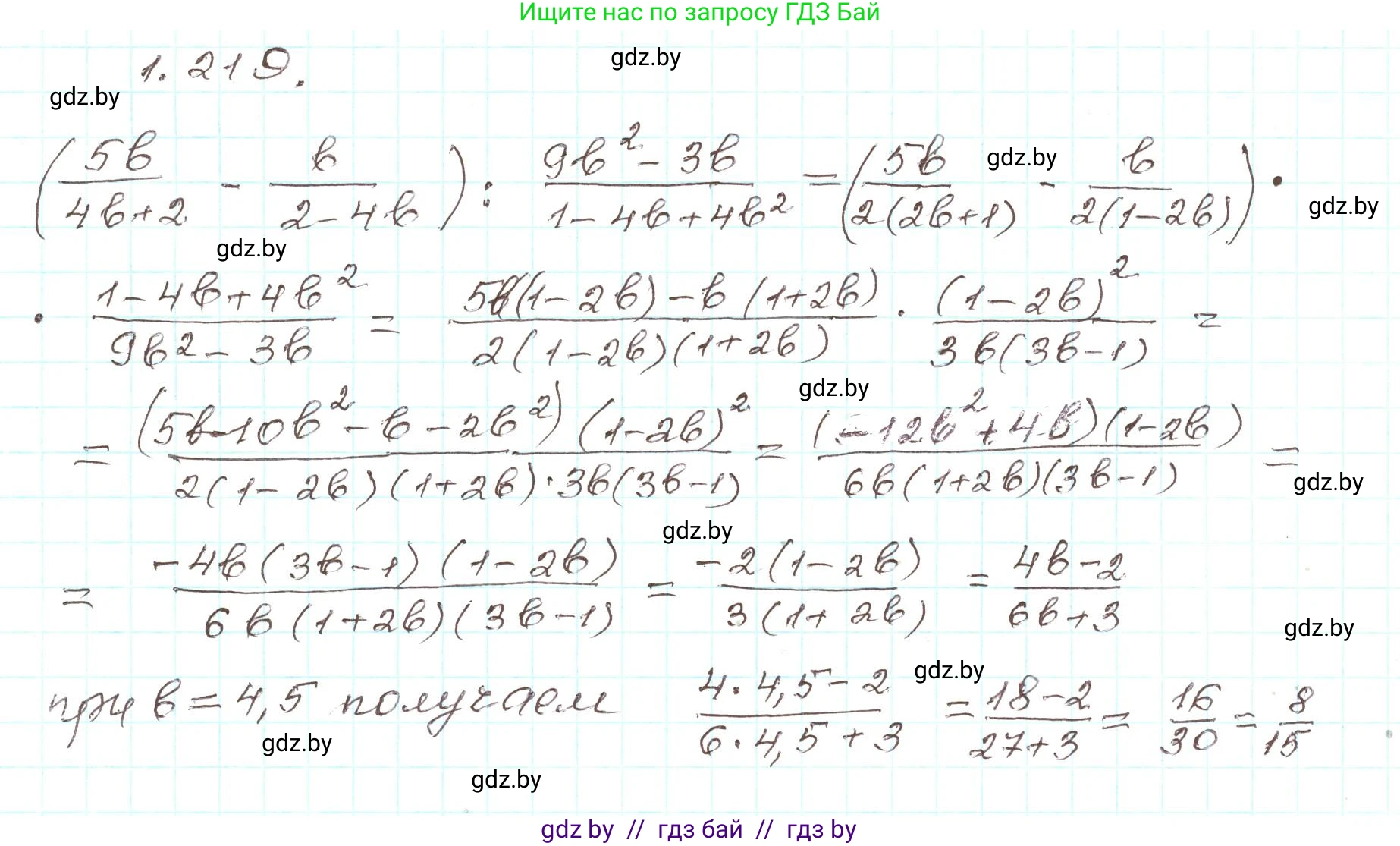
1.219. Найдите значение выражения $ \left(\frac{5b}{4b+2} - \frac{b}{2-4b}\right) : \frac{9b^2-3b}{1-4b+4b^2} $ при $b=4,5$.

Решение. №1.219 (с. 65)
Алгебра, 9 класс Учебник, авторы: Арефьева Ирина Глебовна, Пирютко Ольга Николаевна, издательство Народная асвета, Минск, 2019, голубого цвета, страница 65, номер 1.219, Решение
Решение 2. №1.219 (с. 65)

Для того чтобы найти значение выражения, сначала упростим его, выполнив алгебраические преобразования по действиям.

1. Выполним действие в скобках: $\left( \frac{5b}{4b + 2} - \frac{b}{2 - 4b} \right)$. Ответ:

Сначала разложим знаменатели на множители, чтобы найти общий знаменатель.
$4b + 2 = 2(2b + 1)$
$2 - 4b = 2(1 - 2b) = -2(2b - 1)$
Подставим разложенные знаменатели в выражение. Знак "минус" из знаменателя второй дроби можно вынести перед дробью, изменив знак действия на "плюс":
$\frac{5b}{2(2b + 1)} - \frac{b}{-2(2b - 1)} = \frac{5b}{2(2b + 1)} + \frac{b}{2(2b - 1)}$
Теперь приведем дроби к общему знаменателю $2(2b + 1)(2b - 1)$, который по формуле разности квадратов равен $2(4b^2 - 1)$:
$\frac{5b(2b - 1) + b(2b + 1)}{2(2b + 1)(2b - 1)} = \frac{10b^2 - 5b + 2b^2 + b}{2(4b^2 - 1)} = \frac{12b^2 - 4b}{2(4b^2 - 1)}$
Вынесем общий множитель $4b$ в числителе и сократим полученную дробь:
$\frac{4b(3b - 1)}{2(4b^2 - 1)} = \frac{2b(3b - 1)}{4b^2 - 1}$

2. Выполним деление. Ответ:

Теперь разделим результат первого действия на вторую дробь:
$\frac{2b(3b - 1)}{4b^2 - 1} : \frac{9b^2 - 3b}{1 - 4b + 4b^2}$
Упростим делитель, разложив его числитель и знаменатель на множители. Знаменатель является полным квадратом разности.
$9b^2 - 3b = 3b(3b - 1)$
$1 - 4b + 4b^2 = (1 - 2b)^2$
Заменим деление на умножение на обратную дробь. Также разложим знаменатель первой дроби $4b^2 - 1 = (2b - 1)(2b + 1)$ и учтем, что $(1 - 2b)^2 = (2b - 1)^2$.
$\frac{2b(3b - 1)}{(2b - 1)(2b + 1)} \cdot \frac{(1 - 2b)^2}{3b(3b - 1)} = \frac{2b(3b - 1)}{(2b - 1)(2b + 1)} \cdot \frac{(2b - 1)^2}{3b(3b - 1)}$
Сократим одинаковые множители в числителях и знаменателях ($b$, $(3b-1)$ и $(2b-1)$):
$\frac{2\cancel{b}\cancel{(3b - 1)}}{\cancel{(2b - 1)}(2b + 1)} \cdot \frac{(2b - 1)^{\cancel{2}}}{3\cancel{b}\cancel{(3b - 1)}} = \frac{2(2b - 1)}{3(2b + 1)}$

3. Найдем значение выражения при $b = 4,5$. Ответ:

Подставим значение $b = 4,5$ в упрощенное выражение $\frac{2(2b - 1)}{3(2b + 1)}$:
$\frac{2(2 \cdot 4,5 - 1)}{3(2 \cdot 4,5 + 1)} = \frac{2(9 - 1)}{3(9 + 1)} = \frac{2 \cdot 8}{3 \cdot 10} = \frac{16}{30}$
Сократим полученную дробь на 2:
$\frac{16}{30} = \frac{8}{15}$
Дробь $\frac{8}{15}$ является правильной, поэтому ее целая часть равна 0.

Помогло решение? Оставьте отзыв в комментариях ниже.

Присоединяйтесь к Телеграм-группе @gdz_by_belarus

Присоединиться

Мы подготовили для вас ответ c подробным объяснением домашего задания по алгебре за 9 класс, для упражнения номер 1.219 расположенного на странице 65 к учебнику 2019 года издания для учащихся школ и гимназий.

Теперь на нашем сайте ГДЗ.ТОП вы всегда легко и бесплатно найдёте условие с правильным ответом на вопрос «Как решить ДЗ» и «Как сделать» задание по алгебре к упражнению №1.219 (с. 65), авторов: Арефьева (Ирина Глебовна), Пирютко (Ольга Николаевна), учебного пособия издательства Народная асвета.