Номер 1.220, страница 65 - гдз по алгебре 9 класс учебник Арефьева, Пирютко

Алгебра, 9 класс Учебник, авторы: Арефьева Ирина Глебовна, Пирютко Ольга Николаевна, издательство Народная асвета, Минск, 2019, голубого цвета

Авторы: Арефьева И. Г., Пирютко О. Н.

Тип: Учебник

Издательство: Народная асвета

Год издания: 2019 - 2025

Цвет обложки: голубой, синий с графиком

ISBN: 978-985-03-3077-2

Допущено Министерством образования Республики Беларусь

Популярные ГДЗ в 9 классе

Глава 1. Рациональные выражения. Параграф 5. Преобразования рациональных выражений - номер 1.220, страница 65.

№1.220 (с. 65)
Условие. №1.220 (с. 65)
скриншот условия
Алгебра, 9 класс Учебник, авторы: Арефьева Ирина Глебовна, Пирютко Ольга Николаевна, издательство Народная асвета, Минск, 2019, голубого цвета, страница 65, номер 1.220, Условие

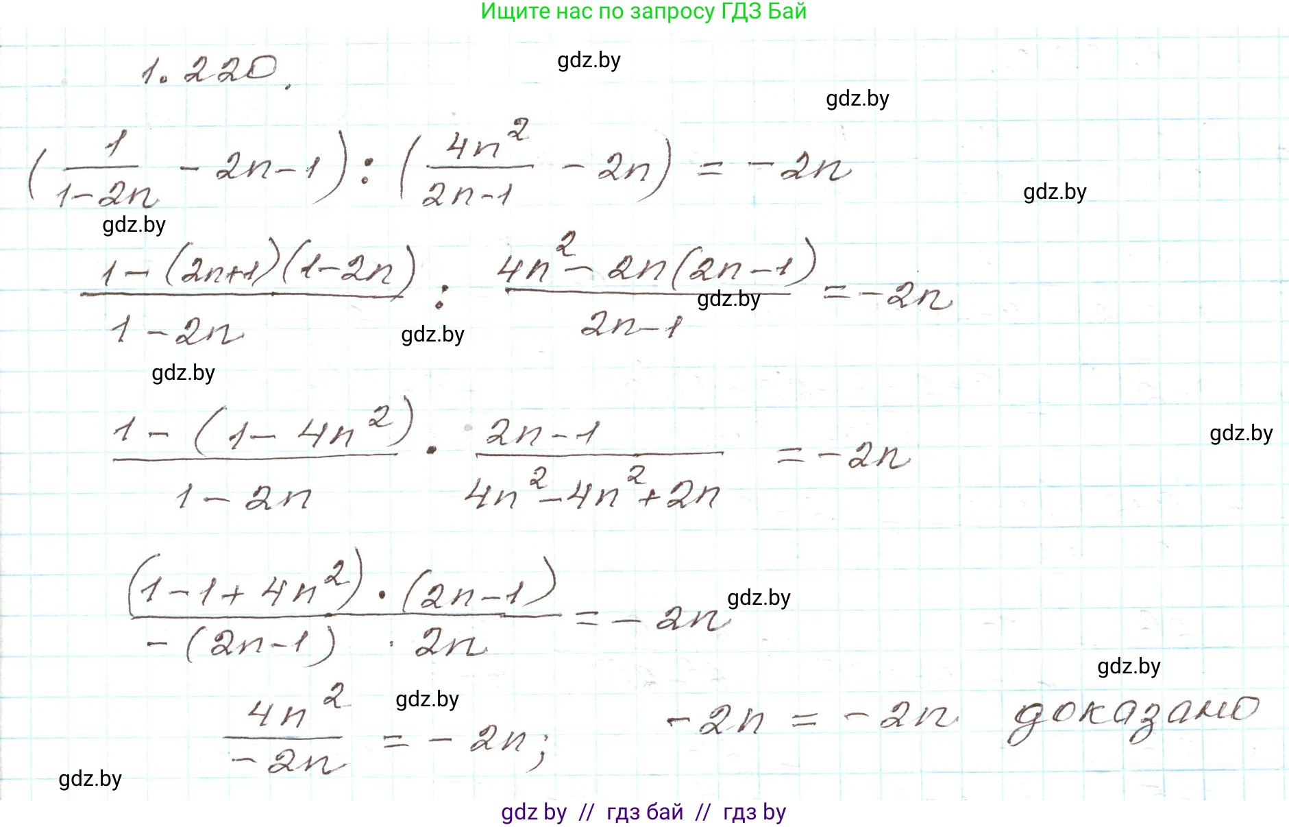
1.220. Докажите тождество $ \left(\frac{1}{1-2n} - 2n - 1\right) : \left(\frac{4n^2}{2n-1} - 2n\right) = 2n $.

Решение. №1.220 (с. 65)
Алгебра, 9 класс Учебник, авторы: Арефьева Ирина Глебовна, Пирютко Ольга Николаевна, издательство Народная асвета, Минск, 2019, голубого цвета, страница 65, номер 1.220, Решение
Решение 2. №1.220 (с. 65)

Для доказательства тождества необходимо упростить его левую часть и сравнить с правой. Выполним преобразования по действиям.

1) Упрощение выражения в первой скобке.
Преобразуем выражение $ \left(\frac{1}{1-2n} - 2n - 1\right) $, приведя его к общему знаменателю $ (1-2n) $:

$$ \frac{1}{1-2n} - 2n - 1 = \frac{1}{1-2n} - \frac{(2n+1)(1-2n)}{1-2n} $$

Раскроем скобки в числителе, используя формулу разности квадратов $(a-b)(a+b) = a^2 - b^2$ для выражения $(1-2n)(1+2n)$:

$$ \frac{1 - (1^2 - (2n)^2)}{1-2n} = \frac{1 - (1 - 4n^2)}{1-2n} = \frac{1 - 1 + 4n^2}{1-2n} = \frac{4n^2}{1-2n} $$

Ответ: $ \frac{4n^2}{1-2n} $.

2) Упрощение выражения во второй скобке.
Преобразуем выражение $ \left(\frac{4n^2}{2n-1} - 2n\right) $, приведя его к общему знаменателю $ (2n-1) $:

$$ \frac{4n^2}{2n-1} - \frac{2n(2n-1)}{2n-1} = \frac{4n^2 - (4n^2 - 2n)}{2n-1} = \frac{4n^2 - 4n^2 + 2n}{2n-1} = \frac{2n}{2n-1} $$

Ответ: $ \frac{2n}{2n-1} $.

3) Выполнение деления.
Разделим результат первого действия на результат второго:

$$ \left(\frac{4n^2}{1-2n}\right) : \left(\frac{2n}{2n-1}\right) $$

Заменим деление умножением на обратную дробь. Также учтем, что $1-2n = -(2n-1)$:

$$ \frac{4n^2}{1-2n} \cdot \frac{2n-1}{2n} = \frac{4n^2}{-(2n-1)} \cdot \frac{2n-1}{2n} $$

Сократим общие множители $(2n-1)$ и $2n$ (при области допустимых значений $n \neq 0.5$ и $n \neq 0$):

$$ -\frac{4n^2}{2n} = -2n $$

Ответ: $-2n$.

Вывод.
В результате преобразования левая часть тождества оказалась равна $-2n$. Правая часть тождества по условию равна $2n$. Сравним полученные результаты:

$$ -2n = 2n $$

Данное равенство справедливо только при $n=0$. Однако, значение $n=0$ не входит в область допустимых значений (ОДЗ) исходного выражения, так как при $n=0$ делитель $\left(\frac{4n^2}{2n-1} - 2n\right)$ обращается в ноль.

Следовательно, данное равенство не является тождеством, так как оно не выполняется ни для одного значения $n$ из ОДЗ. Вероятнее всего, в условии задачи допущена опечатка. Правильное тождество должно иметь вид:

$$ \left(\frac{1}{1-2n} - 2n - 1\right) : \left(\frac{4n^2}{2n-1} - 2n\right) = -2n $$

Помогло решение? Оставьте отзыв в комментариях ниже.

Присоединяйтесь к Телеграм-группе @gdz_by_belarus

Присоединиться

Мы подготовили для вас ответ c подробным объяснением домашего задания по алгебре за 9 класс, для упражнения номер 1.220 расположенного на странице 65 к учебнику 2019 года издания для учащихся школ и гимназий.

Теперь на нашем сайте ГДЗ.ТОП вы всегда легко и бесплатно найдёте условие с правильным ответом на вопрос «Как решить ДЗ» и «Как сделать» задание по алгебре к упражнению №1.220 (с. 65), авторов: Арефьева (Ирина Глебовна), Пирютко (Ольга Николаевна), учебного пособия издательства Народная асвета.