Номер 1.226, страница 66 - гдз по алгебре 9 класс учебник Арефьева, Пирютко

Алгебра, 9 класс Учебник, авторы: Арефьева Ирина Глебовна, Пирютко Ольга Николаевна, издательство Народная асвета, Минск, 2019, голубого цвета

Авторы: Арефьева И. Г., Пирютко О. Н.

Тип: Учебник

Издательство: Народная асвета

Год издания: 2019 - 2025

Цвет обложки: голубой, синий с графиком

ISBN: 978-985-03-3077-2

Допущено Министерством образования Республики Беларусь

Популярные ГДЗ в 9 классе

Глава 1. Рациональные выражения. Параграф 5. Преобразования рациональных выражений - номер 1.226, страница 66.

№1.226 (с. 66)
Условие. №1.226 (с. 66)
скриншот условия
Алгебра, 9 класс Учебник, авторы: Арефьева Ирина Глебовна, Пирютко Ольга Николаевна, издательство Народная асвета, Минск, 2019, голубого цвета, страница 66, номер 1.226, Условие

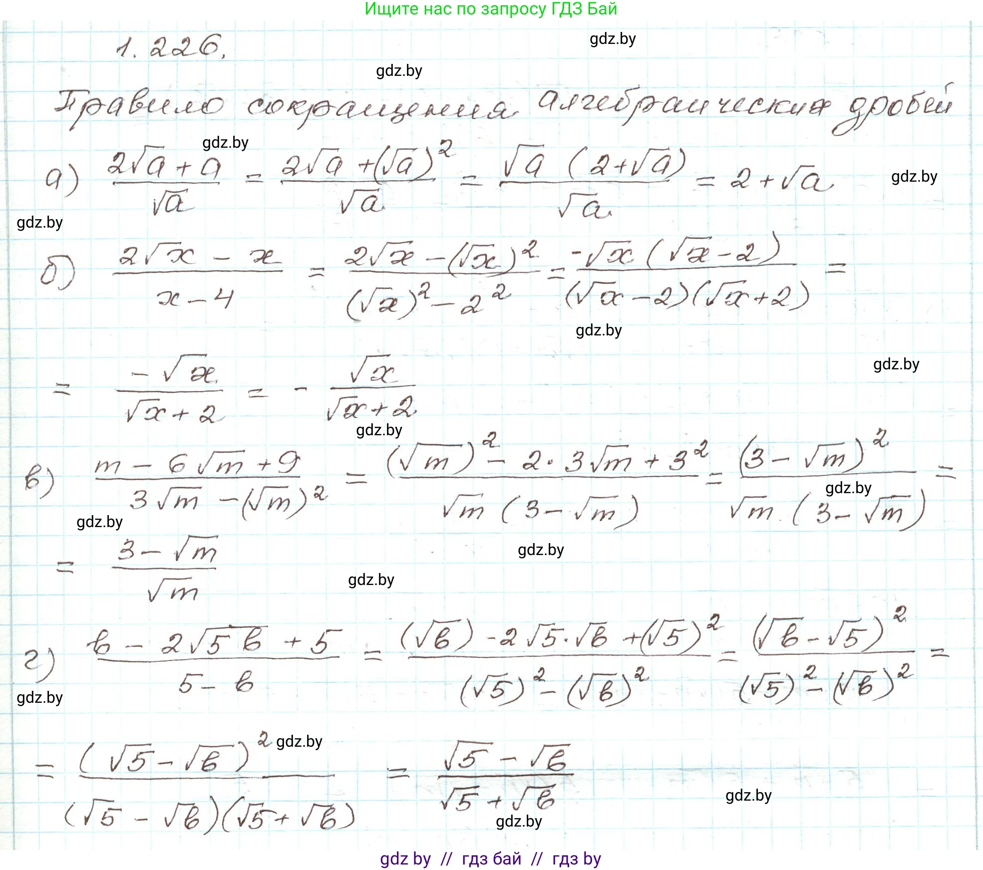
1.226. Какое правило можно применить для сокращения дроби:

а) $\frac{2\sqrt{a} + a}{\sqrt{a}};

б) $\frac{2\sqrt{x} - x}{x - 4};

в) $\frac{m - 6\sqrt{m} + 9}{3\sqrt{m} - m};

г) $\frac{b - 2\sqrt{5b} + 5}{5 - b}$?

Выполните сокращение в соответствии с правилом.

Решение. №1.226 (с. 66)
Алгебра, 9 класс Учебник, авторы: Арефьева Ирина Глебовна, Пирютко Ольга Николаевна, издательство Народная асвета, Минск, 2019, голубого цвета, страница 66, номер 1.226, Решение
Решение 2. №1.226 (с. 66)

Для сокращения дроби применяется основное свойство дроби: числитель и знаменатель дроби можно разделить на один и тот же ненулевой множитель. Для этого необходимо разложить числитель и знаменатель на множители. В данных примерах для разложения на множители используются следующие правила и формулы:

  • Вынесение общего множителя за скобки.
  • Формулы сокращённого умножения: разность квадратов ($a^2 - b^2 = (a-b)(a+b)$) и квадрат разности ($(a-b)^2 = a^2 - 2ab + b^2$).

После сокращения, если степень числителя полученной дроби больше или равна степени знаменателя, можно выделить целую часть.


а) Для сокращения дроби $\frac{2\sqrt{a} + a}{\sqrt{a}}$ необходимо в числителе вынести общий множитель за скобки. Для этого представим слагаемое $a$ в виде $(\sqrt{a})^2$.

$\frac{2\sqrt{a} + a}{\sqrt{a}} = \frac{2\sqrt{a} + (\sqrt{a})^2}{\sqrt{a}} = \frac{\sqrt{a}(2 + \sqrt{a})}{\sqrt{a}}$

Сокращаем общий множитель $\sqrt{a}$ (при условии $a > 0$):

$2 + \sqrt{a}$

Ответ: $2 + \sqrt{a}$.


б) Для сокращения дроби $\frac{2\sqrt{x} - x}{x - 4}$ необходимо разложить на множители числитель и знаменатель.

Числитель: вынесем общий множитель $\sqrt{x}$ за скобки, представив $x$ как $(\sqrt{x})^2$.
$2\sqrt{x} - x = \sqrt{x}(2 - \sqrt{x})$

Знаменатель: применим формулу разности квадратов.
$x - 4 = (\sqrt{x})^2 - 2^2 = (\sqrt{x} - 2)(\sqrt{x} + 2)$

Подставим разложения в дробь и выполним сокращение:
$\frac{\sqrt{x}(2 - \sqrt{x})}{(\sqrt{x} - 2)(\sqrt{x} + 2)} = \frac{-\sqrt{x}(\sqrt{x} - 2)}{(\sqrt{x} - 2)(\sqrt{x} + 2)} = \frac{-\sqrt{x}}{\sqrt{x} + 2}$

Полученная дробь является неправильной (степени переменной $\sqrt{x}$ в числителе и знаменателе равны). Выделим целую часть, представив числитель $-\sqrt{x}$ как $-(\sqrt{x} + 2) + 2$:
$\frac{-(\sqrt{x} + 2) + 2}{\sqrt{x} + 2} = \frac{-(\sqrt{x} + 2)}{\sqrt{x} + 2} + \frac{2}{\sqrt{x} + 2} = -1 + \frac{2}{\sqrt{x} + 2}$

Ответ: $\frac{2}{\sqrt{x} + 2} - 1$.


в) Для сокращения дроби $\frac{m - 6\sqrt{m} + 9}{3\sqrt{m} - m}$ необходимо разложить на множители числитель и знаменатель.

Числитель: применим формулу квадрата разности.
$m - 6\sqrt{m} + 9 = (\sqrt{m})^2 - 2 \cdot \sqrt{m} \cdot 3 + 3^2 = (\sqrt{m} - 3)^2$

Знаменатель: вынесем общий множитель $\sqrt{m}$.
$3\sqrt{m} - m = \sqrt{m}(3 - \sqrt{m})$

Подставим разложения в дробь и выполним сокращение:
$\frac{(\sqrt{m} - 3)^2}{\sqrt{m}(3 - \sqrt{m})} = \frac{(\sqrt{m} - 3)^2}{-\sqrt{m}(\sqrt{m} - 3)} = \frac{\sqrt{m} - 3}{-\sqrt{m}} = \frac{3 - \sqrt{m}}{\sqrt{m}}$

Выделим целую часть, разделив почленно числитель на знаменатель:
$\frac{3}{\sqrt{m}} - \frac{\sqrt{m}}{\sqrt{m}} = \frac{3}{\sqrt{m}} - 1$

Ответ: $\frac{3}{\sqrt{m}} - 1$.


г) Для сокращения дроби $\frac{b - 2\sqrt{5b} + 5}{5 - b}$ необходимо разложить на множители числитель и знаменатель.

Числитель: применим формулу квадрата разности.
$b - 2\sqrt{5b} + 5 = (\sqrt{b})^2 - 2\sqrt{b}\sqrt{5} + (\sqrt{5})^2 = (\sqrt{b} - \sqrt{5})^2$

Знаменатель: применим формулу разности квадратов.
$5 - b = (\sqrt{5})^2 - (\sqrt{b})^2 = (\sqrt{5} - \sqrt{b})(\sqrt{5} + \sqrt{b})$

Подставим разложения в дробь и выполним сокращение:
$\frac{(\sqrt{b} - \sqrt{5})^2}{(\sqrt{5} - \sqrt{b})(\sqrt{5} + \sqrt{b})} = \frac{(-(\sqrt{5} - \sqrt{b}))^2}{(\sqrt{5} - \sqrt{b})(\sqrt{5} + \sqrt{b})} = \frac{(\sqrt{5} - \sqrt{b})^2}{(\sqrt{5} - \sqrt{b})(\sqrt{5} + \sqrt{b})} = \frac{\sqrt{5} - \sqrt{b}}{\sqrt{5} + \sqrt{b}}$

Выделим целую часть. Для этого представим числитель $\sqrt{5} - \sqrt{b}$ как $-(\sqrt{5} + \sqrt{b}) + 2\sqrt{5}$:
$\frac{-(\sqrt{5} + \sqrt{b}) + 2\sqrt{5}}{\sqrt{5} + \sqrt{b}} = \frac{-(\sqrt{5} + \sqrt{b})}{\sqrt{5} + \sqrt{b}} + \frac{2\sqrt{5}}{\sqrt{5} + \sqrt{b}} = -1 + \frac{2\sqrt{5}}{\sqrt{5} + \sqrt{b}}$

Ответ: $\frac{2\sqrt{5}}{\sqrt{5} + \sqrt{b}} - 1$.

Помогло решение? Оставьте отзыв в комментариях ниже.

Присоединяйтесь к Телеграм-группе @gdz_by_belarus

Присоединиться

Мы подготовили для вас ответ c подробным объяснением домашего задания по алгебре за 9 класс, для упражнения номер 1.226 расположенного на странице 66 к учебнику 2019 года издания для учащихся школ и гимназий.

Теперь на нашем сайте ГДЗ.ТОП вы всегда легко и бесплатно найдёте условие с правильным ответом на вопрос «Как решить ДЗ» и «Как сделать» задание по алгебре к упражнению №1.226 (с. 66), авторов: Арефьева (Ирина Глебовна), Пирютко (Ольга Николаевна), учебного пособия издательства Народная асвета.