Номер 1.223, страница 65 - гдз по алгебре 9 класс учебник Арефьева, Пирютко

Алгебра, 9 класс Учебник, авторы: Арефьева Ирина Глебовна, Пирютко Ольга Николаевна, издательство Народная асвета, Минск, 2019, голубого цвета

Авторы: Арефьева И. Г., Пирютко О. Н.

Тип: Учебник

Издательство: Народная асвета

Год издания: 2019 - 2025

Цвет обложки: голубой, синий с графиком

ISBN: 978-985-03-3077-2

Допущено Министерством образования Республики Беларусь

Популярные ГДЗ в 9 классе

Глава 1. Рациональные выражения. Параграф 5. Преобразования рациональных выражений - номер 1.223, страница 65.

№1.223 (с. 65)
Условие. №1.223 (с. 65)
скриншот условия
Алгебра, 9 класс Учебник, авторы: Арефьева Ирина Глебовна, Пирютко Ольга Николаевна, издательство Народная асвета, Минск, 2019, голубого цвета, страница 65, номер 1.223, Условие

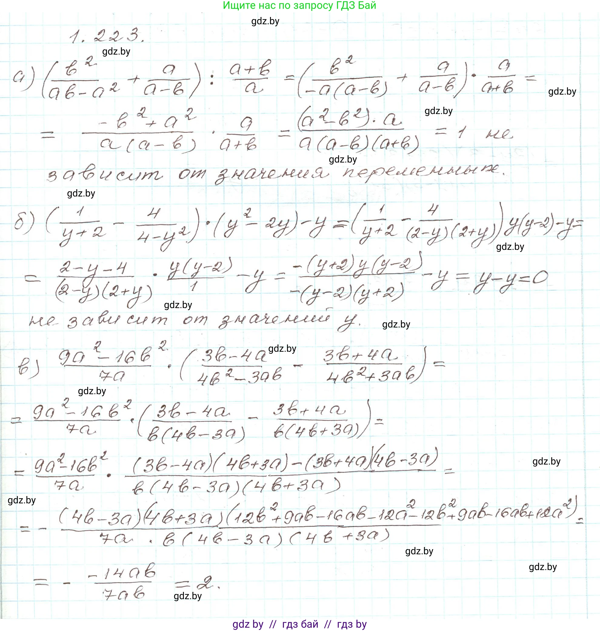
1.223. Докажите, что значение выражения не зависит от значений переменных:

а) $\left(\frac{b^2}{ab - a^2} + \frac{a}{a - b}\right) : \frac{a + b}{a}$;

б) $\left(\frac{1}{y + 2} - \frac{4}{4 - y^2}\right) \cdot (y^2 - 2y) - y$;

в) $\frac{9a^2 - 16b^2}{7a} \cdot \left(\frac{3b - 4a}{4b^2 - 3ab} - \frac{3b + 4a}{4b^2 + 3ab}\right)$;

г) $(m^2 - 2m + 1) \cdot \left(\frac{1}{(1 - m)^2} - \frac{1}{1 - m^2}\right) + \frac{m + 3}{m + 1}$.

Решение. №1.223 (с. 65)
Алгебра, 9 класс Учебник, авторы: Арефьева Ирина Глебовна, Пирютко Ольга Николаевна, издательство Народная асвета, Минск, 2019, голубого цвета, страница 65, номер 1.223, Решение Алгебра, 9 класс Учебник, авторы: Арефьева Ирина Глебовна, Пирютко Ольга Николаевна, издательство Народная асвета, Минск, 2019, голубого цвета, страница 65, номер 1.223, Решение (продолжение 2)
Решение 2. №1.223 (с. 65)

а) Для доказательства упростим выражение $(\frac{b^2}{ab - a^2} + \frac{a}{a - b}) : \frac{a+b}{a}$.

  1. Преобразуем выражение в скобках. Сначала разложим знаменатель первой дроби на множители: $ab - a^2 = a(b - a) = -a(a - b)$.

    $ \frac{b^2}{a(b - a)} + \frac{a}{a - b} = \frac{-b^2}{a(a - b)} + \frac{a}{a - b} $

  2. Приведем дроби к общему знаменателю $a(a - b)$:

    $ \frac{-b^2}{a(a - b)} + \frac{a \cdot a}{a(a - b)} = \frac{a^2 - b^2}{a(a - b)} $

  3. Применим формулу разности квадратов к числителю $a^2 - b^2 = (a - b)(a + b)$ и сократим дробь:

    $ \frac{(a - b)(a + b)}{a(a - b)} = \frac{a + b}{a} $

  4. Выполним деление, заменив его умножением на обратную дробь:

    $ (\frac{a + b}{a}) : \frac{a+b}{a} = \frac{a + b}{a} \cdot \frac{a}{a + b} = 1 $

Так как в результате упрощения получилось число 1, значение выражения не зависит от значений переменных $a$ и $b$.

Ответ: 1

б) Для доказательства упростим выражение $(\frac{1}{y+2} - \frac{4}{4-y^2}) \cdot (y^2 - 2y) - y$.

  1. Преобразуем выражение в скобках. Разложим знаменатель второй дроби по формуле разности квадратов: $4 - y^2 = (2 - y)(2 + y)$. Обратим внимание, что $2-y = -(y-2)$.

    $ \frac{1}{y+2} - \frac{4}{(2-y)(2+y)} = \frac{1}{y+2} - \frac{4}{-(y-2)(y+2)} = \frac{1}{y+2} + \frac{4}{(y-2)(y+2)} $

  2. Приведем дроби к общему знаменателю $(y - 2)(y + 2)$:

    $ \frac{1 \cdot (y - 2)}{(y+2)(y - 2)} + \frac{4}{(y - 2)(y + 2)} = \frac{y - 2 + 4}{(y - 2)(y + 2)} = \frac{y + 2}{(y - 2)(y + 2)} $

  3. Сократим полученную дробь:

    $ \frac{y + 2}{(y - 2)(y + 2)} = \frac{1}{y - 2} $

  4. Выполним умножение. Разложим множитель $(y^2 - 2y)$ на множители: $y^2 - 2y = y(y - 2)$.

    $ \frac{1}{y - 2} \cdot y(y - 2) - y $

  5. Сократим дробь и выполним вычитание:

    $ y - y = 0 $

Так как в результате упрощения получилось число 0, значение выражения не зависит от значения переменной $y$.

Ответ: 0

в) Для доказательства упростим выражение $\frac{9a^2 - 16b^2}{7a} \cdot (\frac{3b-4a}{4b^2-3ab} - \frac{3b+4a}{4b^2+3ab})$.

  1. Преобразуем выражение в скобках. Разложим знаменатели на множители: $4b^2-3ab = b(4b-3a)$ и $4b^2+3ab = b(4b+3a)$.

    $ \frac{3b-4a}{b(4b-3a)} - \frac{3b+4a}{b(4b+3a)} $

  2. Приведем дроби к общему знаменателю $b(4b-3a)(4b+3a)$:

    $ \frac{(3b-4a)(4b+3a)}{b(4b-3a)(4b+3a)} - \frac{(3b+4a)(4b-3a)}{b(4b-3a)(4b+3a)} $

  3. Раскроем скобки в числителе: $(3b-4a)(4b+3a) = 12b^2 - 7ab - 12a^2$ и $(3b+4a)(4b-3a) = 12b^2 + 7ab - 12a^2$.

    Выполним вычитание в числителе:

    $ (12b^2 - 7ab - 12a^2) - (12b^2 + 7ab - 12a^2) = 12b^2 - 7ab - 12a^2 - 12b^2 - 7ab + 12a^2 = -14ab $

  4. Упростим выражение в скобках: $ \frac{-14ab}{b(4b-3a)(4b+3a)} = \frac{-14ab}{b(16b^2 - 9a^2)} = \frac{-14a}{16b^2 - 9a^2} = \frac{14a}{9a^2 - 16b^2} $

  5. Выполним умножение:

    $ \frac{9a^2 - 16b^2}{7a} \cdot \frac{14a}{9a^2 - 16b^2} = \frac{14a}{7a} = 2 $

Так как в результате упрощения получилось число 2, значение выражения не зависит от значений переменных $a$ и $b$.

Ответ: 2

г) Для доказательства упростим выражение $(m^2 - 2m + 1) \cdot (\frac{1}{(1-m)^2} - \frac{1}{1-m^2}) + \frac{m+3}{m+1}$.

  1. Заметим, что первый множитель является полным квадратом: $m^2 - 2m + 1 = (m-1)^2 = (1-m)^2$.

  2. Преобразуем выражение в скобках. Разложим знаменатель второй дроби: $1 - m^2 = (1 - m)(1 + m)$.

    $ \frac{1}{(1-m)^2} - \frac{1}{(1-m)(1+m)} $

  3. Приведем дроби к общему знаменателю $(1-m)^2(1+m)$:

    $ \frac{1 \cdot (1+m)}{(1-m)^2(1+m)} - \frac{1 \cdot (1-m)}{(1-m)^2(1+m)} = \frac{(1+m) - (1-m)}{(1-m)^2(1+m)} = \frac{2m}{(1-m)^2(1+m)} $

  4. Теперь выполним умножение:

    $ (1-m)^2 \cdot \frac{2m}{(1-m)^2(1+m)} = \frac{2m}{1+m} $

  5. Выполним сложение с последним слагаемым:

    $ \frac{2m}{1+m} + \frac{m+3}{m+1} = \frac{2m + m + 3}{m+1} = \frac{3m+3}{m+1} $

  6. Вынесем общий множитель в числителе и сократим дробь:

    $ \frac{3(m+1)}{m+1} = 3 $

Так как в результате упрощения получилось число 3, значение выражения не зависит от значения переменной $m$.

Ответ: 3

Помогло решение? Оставьте отзыв в комментариях ниже.

Присоединяйтесь к Телеграм-группе @gdz_by_belarus

Присоединиться

Мы подготовили для вас ответ c подробным объяснением домашего задания по алгебре за 9 класс, для упражнения номер 1.223 расположенного на странице 65 к учебнику 2019 года издания для учащихся школ и гимназий.

Теперь на нашем сайте ГДЗ.ТОП вы всегда легко и бесплатно найдёте условие с правильным ответом на вопрос «Как решить ДЗ» и «Как сделать» задание по алгебре к упражнению №1.223 (с. 65), авторов: Арефьева (Ирина Глебовна), Пирютко (Ольга Николаевна), учебного пособия издательства Народная асвета.