Номер 1.222, страница 65 - гдз по алгебре 9 класс учебник Арефьева, Пирютко

Алгебра, 9 класс Учебник, авторы: Арефьева Ирина Глебовна, Пирютко Ольга Николаевна, издательство Народная асвета, Минск, 2019, голубого цвета

Авторы: Арефьева И. Г., Пирютко О. Н.

Тип: Учебник

Издательство: Народная асвета

Год издания: 2019 - 2025

Цвет обложки: голубой, синий с графиком

ISBN: 978-985-03-3077-2

Допущено Министерством образования Республики Беларусь

Популярные ГДЗ в 9 классе

Глава 1. Рациональные выражения. Параграф 5. Преобразования рациональных выражений - номер 1.222, страница 65.

№1.222 (с. 65)
Условие. №1.222 (с. 65)
скриншот условия
Алгебра, 9 класс Учебник, авторы: Арефьева Ирина Глебовна, Пирютко Ольга Николаевна, издательство Народная асвета, Минск, 2019, голубого цвета, страница 65, номер 1.222, Условие

1.222. Преобразуйте рациональное выражение:

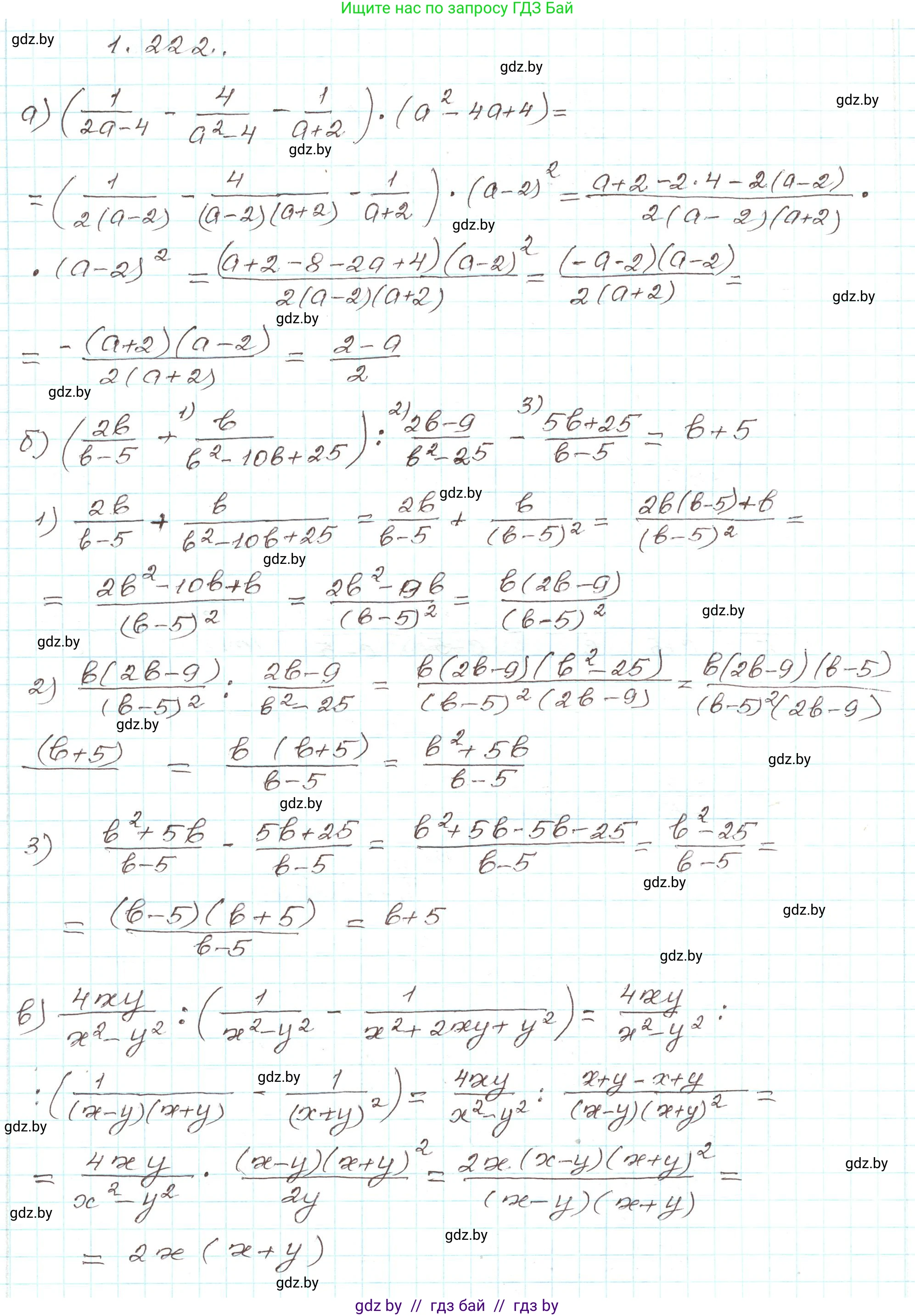
а) $(\frac{1}{2a-4} - \frac{4}{a^2-4} - \frac{1}{a+2}) \cdot (a^2-4a+4);$

б) $(\frac{2b}{b-5} + \frac{b}{b^2-10b+25}) : (\frac{2b-9}{b^2-25} - \frac{5b+25}{b-5});$

в) $\frac{4xy}{x^2-y^2} : (\frac{1}{x^2-y^2} - \frac{1}{x^2+2xy+y^2});$

г) $\frac{12}{m^2-9} + \frac{6m}{9-6m+m^2} \cdot (\frac{3}{m^2+3m} - \frac{m}{3m+9});$

Решение. №1.222 (с. 65)
Алгебра, 9 класс Учебник, авторы: Арефьева Ирина Глебовна, Пирютко Ольга Николаевна, издательство Народная асвета, Минск, 2019, голубого цвета, страница 65, номер 1.222, Решение Алгебра, 9 класс Учебник, авторы: Арефьева Ирина Глебовна, Пирютко Ольга Николаевна, издательство Народная асвета, Минск, 2019, голубого цвета, страница 65, номер 1.222, Решение (продолжение 2)
Решение 2. №1.222 (с. 65)

а) Исходное выражение: $(\frac{1}{2a - 4} - \frac{4}{a^2 - 4} - \frac{1}{a + 2}) \cdot (a^2 - 4a + 4)$

1. Упростим выражение в скобках. Для этого разложим знаменатели на множители:

  • $2a - 4 = 2(a - 2)$
  • $a^2 - 4 = (a - 2)(a + 2)$ (разность квадратов)

Общий знаменатель для дробей в скобках: $2(a - 2)(a + 2)$.

2. Приведем дроби к общему знаменателю и выполним вычитание:

$$ \frac{1}{2(a - 2)} - \frac{4}{(a - 2)(a + 2)} - \frac{1}{a + 2} = \frac{1 \cdot (a+2)}{2(a-2)(a+2)} - \frac{4 \cdot 2}{2(a-2)(a+2)} - \frac{1 \cdot 2(a-2)}{2(a-2)(a+2)} $$ $$ = \frac{(a+2) - 8 - 2(a-2)}{2(a-2)(a+2)} = \frac{a+2-8-2a+4}{2(a-2)(a+2)} = \frac{-a-2}{2(a-2)(a+2)} $$

3. Упростим полученное выражение, вынеся $-1$ в числителе:

$$ \frac{-(a+2)}{2(a-2)(a+2)} = \frac{-1}{2(a-2)} $$

4. Упростим второй множитель, используя формулу квадрата разности:

$$ a^2 - 4a + 4 = (a-2)^2 $$

5. Выполним умножение:

$$ \frac{-1}{2(a-2)} \cdot (a-2)^2 = \frac{-(a-2)}{2} = \frac{2-a}{2} $$

6. Данная дробь является неправильной (степень числителя равна степени знаменателя). Выделим целую часть:

$$ \frac{2-a}{2} = \frac{2}{2} - \frac{a}{2} = 1 - \frac{a}{2} $$

Ответ: $1 - \frac{a}{2}$

б) Исходное выражение: $(\frac{2b}{b-5} + \frac{b}{b^2 - 10b + 25}) : \frac{2b - 9}{b^2 - 25} - \frac{5b + 25}{b - 5}$

1. Выполним действия по порядку: сначала сложение в скобках, затем деление, затем вычитание.

Упростим выражение в скобках, заметив, что $b^2 - 10b + 25 = (b-5)^2$ (квадрат разности). Общий знаменатель $(b-5)^2$.

$$ \frac{2b}{b-5} + \frac{b}{(b-5)^2} = \frac{2b(b-5)}{(b-5)^2} + \frac{b}{(b-5)^2} = \frac{2b^2 - 10b + b}{(b-5)^2} = \frac{2b^2 - 9b}{(b-5)^2} = \frac{b(2b-9)}{(b-5)^2} $$

2. Выполним деление. Разложим знаменатель делителя: $b^2 - 25 = (b-5)(b+5)$.

$$ \frac{b(2b-9)}{(b-5)^2} : \frac{2b-9}{(b-5)(b+5)} = \frac{b(2b-9)}{(b-5)^2} \cdot \frac{(b-5)(b+5)}{2b-9} $$

Сокращаем общие множители $(2b-9)$ и $(b-5)$:

$$ = \frac{b(b+5)}{b-5} $$

3. Выполним вычитание. Обратим внимание, что $5b+25 = 5(b+5)$.

$$ \frac{b(b+5)}{b-5} - \frac{5b+25}{b-5} = \frac{b(b+5)}{b-5} - \frac{5(b+5)}{b-5} $$ $$ = \frac{b(b+5) - 5(b+5)}{b-5} = \frac{(b-5)(b+5)}{b-5} $$

Сокращаем $(b-5)$ и получаем конечный результат:

$$ = b+5 $$

Выражение $b+5$ является многочленом, его целая часть (константа) равна 5.

Ответ: $b+5$

в) Исходное выражение: $\frac{4xy}{x^2 - y^2} : (\frac{1}{x^2 - y^2} - \frac{1}{x^2 + 2xy + y^2})$

1. Упростим выражение в скобках. Разложим знаменатели на множители:

  • $x^2 - y^2 = (x-y)(x+y)$ (разность квадратов)
  • $x^2 + 2xy + y^2 = (x+y)^2$ (квадрат суммы)

Общий знаменатель: $(x-y)(x+y)^2$.

2. Приведем дроби к общему знаменателю и вычтем:

$$ \frac{1}{(x-y)(x+y)} - \frac{1}{(x+y)^2} = \frac{1 \cdot (x+y)}{(x-y)(x+y)^2} - \frac{1 \cdot (x-y)}{(x-y)(x+y)^2} $$ $$ = \frac{(x+y) - (x-y)}{(x-y)(x+y)^2} = \frac{x+y-x+y}{(x-y)(x+y)^2} = \frac{2y}{(x-y)(x+y)^2} $$

3. Выполним деление:

$$ \frac{4xy}{x^2 - y^2} : \frac{2y}{(x-y)(x+y)^2} = \frac{4xy}{(x-y)(x+y)} \cdot \frac{(x-y)(x+y)^2}{2y} $$

4. Сократим общие множители: $2y$, $(x-y)$ и $(x+y)$.

$$ = 2x(x+y) $$

Результат можно оставить в таком виде или раскрыть скобки: $2x^2 + 2xy$. Это многочлен, его целая часть (константа) равна 0.

Ответ: $2x(x+y)$

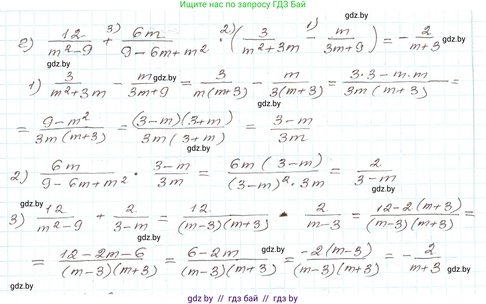
г) Исходное выражение: $\frac{12}{m^2 - 9} + \frac{6m}{9 - 6m + m^2} \cdot (\frac{3}{m^2 + 3m} - \frac{m}{3m + 9})$

1. Выполним действия по порядку: сначала в скобках, затем умножение, затем сложение.

Упростим выражение в скобках. Разложим знаменатели на множители:

  • $m^2 + 3m = m(m+3)$
  • $3m + 9 = 3(m+3)$

Общий знаменатель $3m(m+3)$.

$$ \frac{3}{m(m+3)} - \frac{m}{3(m+3)} = \frac{3 \cdot 3}{3m(m+3)} - \frac{m \cdot m}{3m(m+3)} = \frac{9-m^2}{3m(m+3)} $$

Разложим числитель $9-m^2 = (3-m)(3+m)$ и сократим дробь:

$$ \frac{(3-m)(3+m)}{3m(m+3)} = \frac{3-m}{3m} $$

2. Выполним умножение. Упростим знаменатель второго множителя: $9 - 6m + m^2 = m^2 - 6m + 9 = (m-3)^2$.

$$ \frac{6m}{ (m-3)^2 } \cdot \frac{3-m}{3m} $$

Заметим, что $3-m = -(m-3)$, и сократим общие множители:

$$ \frac{6m}{(m-3)^2} \cdot \frac{-(m-3)}{3m} = \frac{2 \cdot (-1)}{m-3} = \frac{-2}{m-3} $$

3. Выполним сложение. Разложим знаменатель первой дроби: $m^2 - 9 = (m-3)(m+3)$.

$$ \frac{12}{(m-3)(m+3)} + \frac{-2}{m-3} $$

Приведем к общему знаменателю $(m-3)(m+3)$:

$$ \frac{12}{(m-3)(m+3)} - \frac{2(m+3)}{(m-3)(m+3)} = \frac{12 - 2(m+3)}{(m-3)(m+3)} $$ $$ = \frac{12 - 2m - 6}{(m-3)(m+3)} = \frac{6-2m}{(m-3)(m+3)} $$

Вынесем общий множитель в числителе и сократим дробь:

$$ \frac{2(3-m)}{(m-3)(m+3)} = \frac{-2(m-3)}{(m-3)(m+3)} = \frac{-2}{m+3} $$

Полученная дробь является правильной (степень числителя 0, знаменателя 1), ее целая часть равна 0.

Ответ: $\frac{-2}{m+3}$

Помогло решение? Оставьте отзыв в комментариях ниже.

Присоединяйтесь к Телеграм-группе @gdz_by_belarus

Присоединиться

Мы подготовили для вас ответ c подробным объяснением домашего задания по алгебре за 9 класс, для упражнения номер 1.222 расположенного на странице 65 к учебнику 2019 года издания для учащихся школ и гимназий.

Теперь на нашем сайте ГДЗ.ТОП вы всегда легко и бесплатно найдёте условие с правильным ответом на вопрос «Как решить ДЗ» и «Как сделать» задание по алгебре к упражнению №1.222 (с. 65), авторов: Арефьева (Ирина Глебовна), Пирютко (Ольга Николаевна), учебного пособия издательства Народная асвета.